Fórum témák
» Több friss téma |
Fórum » ATX-táp problémák, meghibásodás
Kérdésem lehet-e 20pin-es atx tápot kötni 24 pin-es új tipusú alaplapra? Mert van egy Foxcoon lapom, és csak elindul, de utánna nem indul el a bios tovább, csak a kezdőlap, és a billentyűzet nem kap tápot, és így nem működik. Lehet-e, hogy a maradék 4 pin hiányzik?
Sürgős lenne!
Vannak rövid (<10cm) átalakító kábelek, legegyszerűbb annak a használata. Egy próbát biztos megér.>
Nem valószínű. Az átalakító használatát mellőzd nyugodtan, csak hátránya van: Behoz egy plusz kontaktust, ráadásul szintén 20 tüskén (pont, mintha az alaplapra dugnád rögtön a 20-ast), tehát nem lesz jobban elosztva a terhelőáram. A plusz szálakon 3,3, 5, 12V és GND jön. Az USB/PS2 tápellátása 5V, vagy 5Vstby vonalról történik, ha itt nincs táp, annak oka egy hiányzó jumper, kiégett biztosító, vagy elégett fólia lesz, komolyabb esetben a KBC vagy a déli híd érintett.
Helló.
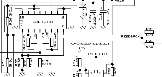
Kaptam egy hiányos ATX tápot. Pótoltam a 2 nagy elkót, és az 1 µF/250V-t ami a virtuális középpontban van, és megy a nagy trafóra. TL 494 és LM 339 van benne. Be is indult, feszültségek kissé alacsonyabbak voltak, de beterhelve 15 ohm-mal az 5V-t, pontos lett. De a 12V-t terhelve 15 ohm-mal, leesik 10,7V-ra. Ami fura, hogy a TL 494-es 4 lábán mindig 0.01V van, és tényleg 50% körüli (szemre) a kitöltés. Tehát nem is tudna utána szabályozni, mert nincs miből.(szerintem). Ha rövidre zárom a +5V-t, akkor a 4 lábon felmegy 3,8V-ra, és letiltja a tápot. Tehát a TL 494 jó. De miért kell neki már üresjáratban is 50% körüli kitöltés? Köszönettel
Lehet, hogy az ellenütemű végfok egyik fele szakadt, nem működik. Ez lehet még a TL494 kimenetein lévő tranzisztoroknál, vagy már a 300V-os oldalon. A "sánta" vezérléssel is képes elindulni a táp, és az okozhat ilyen nagy kitöltési tényezőt már üresjárásban. Szkóppal végig kellene nézni a vezérlést a végtranzisztorokig, de ezt csak hálózati elválasztó trafó mellett szabad!
Helló Szilva.
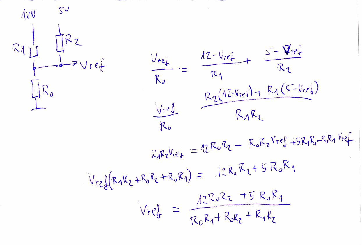
Igen erre én is gondoltam. Itt egy kép a 300V-s tekercse lévő feszültségről. Én ravaszul, a tápot járatom 220/220V leválasztó trafóról. Szerintem megy mind a két oldala. Közben rájöttem, hogy a hibaerősítőn keresztül is módosulhat a kitöltési tényező, nem csak a 4 lábon keresztül. A figyelő osztó tagjai: 5V felső 4.7K, 12V felső 22K, alsó tag 3 db.-ból áll. 330k, 18K, 150K paralel. Ezek a pontos beállítás miatt vannak 3 db-ból? A referencia 5V felső 47K alsó 270K. (ez kb 5x arány, tehát a 2 lábon 4V körül kell lennie) Véleményed?
Az elválasztónál természetesen arra gondoltam én is, hogy a vizsgálandó készüléket (itt a tápegységet) kell a hálózattól elválasztani a méréshez.
A fotózott jelalak eléggé aszimmetrikus, valami mégsincs teljesen rendben ott. Én úgy látom, a nyugalmi helyzet a vízszintes tengelytől kb. fél osztással lejjebb van, ettől az értéktől a pozitív csúcs durván 2.5, a negatív kb. 2 teljes osztásnyira van. A kapcsolóelemek kikapcsolása után kialakuló feszültségalak is eléggé eltérő a pozitív és a negatív félperiódusban. Ha nem a kapcsolóelemek vezérlésénél van az aszimmetria oka (ezért írtam, hogy én végignézném a TL494 ellenütemű kimenetétől kezdve a kis tranzisztorokon és a kapcsolójelet átvívő trafón keresztül a végtranyók bázisáig a jelalakokat), akkor még lehet a szekunder oldalon pl. a kétutas egyenirányítás egyik diódájának szakadásából adódó aszimmetrikus terhelés miatt is. Valószínűleg valami banális hiba lesz a megoldás, mert alapvetően működik a tápegység. Nálam egy hasonló hiba javításakor kiderült, hogy a TL494 kimeneteit a vezérlő trafóra kapcsoló tranzisztorok közül az egyik zárlatos volt, emiatt lett "féllábas" a működés. Terhelés nélkül és kis terheléssel nézve a kimeneti feszültségek teljesen jók voltak, nagyobb terhelésnél már esett a feszültség és elkezdett "ciripelni" valamelyik trafó.
Helló Szilva.
Az asszimmetria lehet a két nagyfesz kondi kapacitás különbségétől is. Végigmértem a TL 494 kimenetétől, minden rendben volt. Leválasztottam a +5V visszacsatolását, és akkor a 12V helyett 13,8V-ra állt be és 12A-nél még 12V-t tartotta. De ha bent van mindkét visszacsatolás azt nem szereti. Végigmértem a szűrő kondikat, az 5V kondenzátorai 1/10 kapacitásúak voltak. Kicseréltem, de minden maradt a régiben. Egyenlőre ennyi, köszönöm.
Ha a visszacsatolásra ennyire érzékeny akkor feltétlen mérd végig a diódákat, mert én ebből szekunder oldali asszimetriára következtetnék.
Helló.
Köszönöm az ötletet, de természetesen már megtettem. Köszönettel.
Való igaz, hogy ha csak az egyik kimeneti ágat terheled, akkor csúszkál a feszültség, bár a korábban írt értékek kicsit soknak tűntek. A tápegységek teszteléséhez nekem egy olyan panelkém van itthon, amiben 3.3 ohm-os ellenállásokból vannak összerakva terhelések a kimenetekre: a +3.3V-ra és a +5V-ra egy-egy ellenállás (3.3 és 7.5W), a +12V-ra 3db sorbakötve (14.5W). Ez összesen 25W terhelés és ezekkel valóságos, jó értékek szoktak lenni a kimeneteken.
Egyébként ha nincs szükség a +5V-os kimenetre, akkor azt teljesen kiiktathatod a visszacsatolásból, sőt, ki is szedheted annak az ágnak az alkatrészeit, ekkor - ahogy tapasztaltad is - a +12V "atomstabillá" válik. Ilyenkor a +5V feszültségfigyelését is át kell vágni, én oda is a +12V-ból szoktam ellenállásosztóval 5V-ot hazudni, így nem kell az egész feszültségfigyelő áramkört megérteni és átalakítani. Nekem 24V-os pákákhoz lett pár ATX tápegység átalakítva így, a páka a +12V és a -12V közé kerül, de ehhez a -12V-ot is nagyáramú diódákkal kell felszerelni.
Helló.
Köszönöm az ötleteket. Én is azért csináltam meg, hogy majd átalakítsam. De előtte mindent végig mértem, hogy minden részét ismerjem, és jól működjön. Köszönettel.
Helló.
A visszacsatolással kapcsolatban (5V és 12V) van kérdésem. A hiba erősítő egyik bemenete az osztott Uref. (a mellékletben ez 2.5V). A kimeneti feszültségekkel felépített osztó feszültsége kerül a hibaerősítő másik bemenetére. De ezeknek az osztóknak a kimenő feszültsége közel sem 2,5V. (5V-ra számolva 1,7V, míg 12V-ra számolva 1,2V.) Miért nem? És miért nem kell azonosnak lenniük? És akkor miért kell az osztó alsó tagjának (R20, R21) finoman beállíthatónak lennie. Köszönettel.
Hello!
- Mert rosszul számolsz. - Mert a referencia feszültségnek és az ellenállásoknak is van tűrése, tehát korrekcióra lehet szükség. üdv! proli007
Nem jól számolsz, szerintem a mellékletben szereplő szerint kellene. Ezzel a módszerrel nálam 2.436V-ra jött ki az osztópont feszültsége (R0=3k -val számoltam).
Szia Szilva.
Igazad van, hiszen az áramok összeadódnak. De akkor mi határozza meg az R25 és R26 arányát? Mert az nem egyezik meg a 12 és az 5 arányával. Szia Proli7. Az melyik szimulátor? Köszönettel.
Én úgy tudom, hogy az 5 volt a merevebb szabályozású és a 12 voltnál nagyobb lengést enged. Ezért kissebb ellenállású az 5 voltos szabályzó kör. Az a meghatározó és a 12 voltos csak kissé befolyásolja a feszültséget.
Már sok éve nem, csak a jellemzően bontásra kerülő kínai tömeghulladékok még mindig ezt az ósdi megoldást preferrálják. A mai gépek terhelése 90%-ban a 12V felől mutatkozik, így nyilván a szabályzásnak erre kell figyelnie legnagyobb súlyozással.
Ebben is van igazság, de szerintem kicsit mások a szempontok.
Az 5V-ról a(z 5V-os) digitális áramkörök külön tápegység nélkül működnek a PC-ben, a klasszikus digitális áramköröknek elég szűk a tápfeszültségtartomány-tűrésük (+/-5%). A 12V-ról működtetett dolgok (a fejmozgatókat, ventilátorokat és hasonló mechanikus részeket leszámítva) tápellátásában mindig van saját tápegység/stabilizátor, ezért azon az ágon magasabb ingadozás is elfogadható. Egy szabályozott processzortápnak, ami előállít 1.5V-ot a 12-ből, szinte mindegy, hogy 10 vagy 14 volt van a 12 helyett, feltéve, hogy nem azért van ott 10, mert kiszáradtak a pufferek és szkóppal nézve mondjuk 5 és 15V közötti fűrészt látnál a 12V helyén. A később (ATX) a tápegységekbe bekerült 3.3V pedig eleve külön szabályozott szokott lenni. Valószínűleg a visszacsatolás arányainak kiszámolásakor az adott vonalon megengedett tűrést veszik figyelembe. Hiába alakítanád át úgy, hogy a 12V-ot tartsa stabilan, a konstrukcióból kifolyólag az 5V szépen felkúszna, ha csak a 12V-ot terheled, és ha nem elég szoros a visszacsatolás az 5V felől, akkor szépen kimászna a megengedett tartományból. Ezzel sajnos nincs mit tenni, illetve lehet olyan tápegységeket csinálni, amikben mindegyik kimenet külön szabályozott, de az minimum dupla (a kötött méretben történő megvalósítás miatt inkább többszörös) ár. Nem tudom, létezik-e mezei felhasználó számára elérhetően ilyen konstrukció, de gondolom, hogy ha nagyon kell, akkor be lehet szerezni.
Helló.
Köszönöm a válaszaitokat. Szégyellem hogy rosszul számoltam. De van még itt valami. Szerintem a 12V az R25 és a z R26 keresztül "tölti" az 5V táprész. Ami azt jelenti, hogy a 12V (R25) folyó áram egy rész visszafolyik az R26 keresztül. Így csökkenti az R26-n átfolyó áramot. Az R25 áramának egy része pedig nem megy be az osztó alsó tagjába. Végeredményben az osztó kimeneti feszültsége alacsonyabb a számítottnál. Ha ez alacsonyabb akkor a szabályozás kompenzál, és emelkednek a táp kimeneti feszültségei. De ez csak akkor tud bekövetkezni, ha a "kiegyenlítő" áram el tud folyni. Mivel a szekunder oldal diódákkal van egyenirányítva, így a "visszatáplálás" nem lehetséges. (az osztó kimenete a számított érték), ha a táp 5V-s részét terheljük, akkor a "töltő" áram a terhelésen keresztül eltud folyni, és most fog leesni az osztó kimeneti feszültsége, és a tápegység kimeneti feszültsége pedig emelkedni. Nem lehet, hogy ez az oka, hogy csak az 5V rész terhelésekor jelennek meg a helyes kimeneti feszültségek. Ez az ingadozás kivédhető lenne az 5V visszacsatolásban elhelyezett diódával (töltő áram lezárása) és a kimeneti feszültségek finomhangolása után, a terheletlen és terhelt kimeneti feszültségek egyformák lennének. Elnézést a hosszú szövegért. Köszönettel.
Az áram "elfolyása" a lenti kalkulációnál számításba lett véve. A két kimenetet gyakorlatilag feszültséggenerátornak kell tekinteni. Diódát a visszacsatoló ágba szerintem életveszélyes tenni, a szabályozásnak mindkét "irányra" (csökkenés, növekedés) is figyelnie kell.
A két tápfeszültséget nagyon eltérő módon terhelve kisebb-nagyobb eltérések fognak kialakulni a névlegestől. Sajnos ezzel együtt kell élni, mivel a visszacsatolástól teljesen függetlenül az 5 és 12V-os tápágak hatnak egymásra, ugyanis a szabályozás csak a közös trafóra kerülő jel kitöltési tényezőjét tudja befolyásolni. Az egymásra hatás mértékét a trafó induktív csatolásai és a tekercselési ellenállások határozzák meg, ezzel nincs mit tenni. Az egyetlen, amit a szabályozás képes megvalósítani, hogy pl. nem hagyja megengedhetetlen mértékben elszállni a 12V-os ág feszültségét, ha csak az 5V-os ág van terhelve: ilyenkor inkább hagyja az 5V-os ágon esni a feszültséget annak érdekében, hogy a 12V-os ág se menjen tiltottan magas tartományba. Az arányokkal lehet játszani az ellenállások változtatásával, de véleményem szerint nincsenek rosszul kiszámolva azok eredetileg sem.
Szia.
A diódás válasszal nem teljesen értek egyet. A csökkenés, növekedés, az a 5V képest értendő. Tehát lehet 4 volt vagy 6 volt, de az osztó kimenő feszültsége mindig kisebb mint az "osztatlan". Tehát az áram iránya mindig a kimenettől, az osztó felé folyik. Fordítva soha. (szerintem) Valóban két feszültség generátorról van szó, de ha a kisebb feszültségű diódával egyenirányított, akkor nem folyhat kiegyenlítő áram. (az elméleti feszültség generátoron az áram oda-vissza folyhat, a diódásnál meg nem. Itt a különbség) Csak ha terheled a diódás kisebb feszültségűt, akkor folyik kiegyenlítő áram a terhelésen keresztül.
Szép levezetés, de egy pont borítja: Az ATX jelenlegi szabványában a 12V-os ágra a tűrés ugyanúgy 5%, mint a többire. vagyis, extrém keresztterhelés során sem futhat kívül ezen az értéken egyik ág sem. A százalékos eltérés így abszolút, a szabályozás során a legjobban változó terhelést produkáló ágnak szükséges beleszólnia leginkább a dologba, és ez a 12V lesz.
Az alaplapon meg az 5V használata helyett inkább a 3,3V a terhelt, legalábbis áramerősség tekintetében, erre a vonara több minden van felfűzve (lapkakészlet), a RAM-ok újabban 12V-ról esznek. Amúgy ezért egy marhaság ez az ATX táp, egy tápfesz bőven elég volna végre a lokális stabilizátorokkal, hiszen a nyers 5 és 3,3V sem használt már a lapokon túl sok eszközhöz, lehetne lokális stabilizátor ezekhez is, egyszerűbb lenne a táp, jobb hatásfokkal.
Hali!
Segítséget szeretnék kérni, hogy az ATX tápoknál a +5VSB mekkora terhelés bír el? Sajna nem találok róla infót!
Hello, fajtája válogatja, 1 vagy 2A-t. (A táp oldalán sincs infó??)
Hali!
Akkor a tápban a 7805 erre van kötve? Jó lenne tudni mit bír, mert ennek kéne működtetni egy hőfokszabályzó elektronikát! Ezen csak a fő feszek vannak megadva!
Amiben 7805-öt találsz, azt hajítsd messzire. Skyhawk és társai voltak ilyenek, a 7805 kb. 30V-ot kap, ami elmászik felfelé a kondik fáradásával, amit meg a 7805 nem fog bírni, az eredmény többnyire piros hetes, vagyis mindent visz.
Hali!
Ez nekem egy régi kb 7-8 éves tápban volt! A mostaniakban nemtudom hogy működik! Te tudsz valamit arról, hogy a +5VSB menyit bír el?
Ilyet én még nem láttam, csak olyat, hogy egy külön imp.táp fokozat biztosítja az 5VSB-t, nyilván, mert ennek működnie kell akkor is, amikor a nagy táp nem működik. Felismerhető a harmadik transzformátoráról. A terhelésből ne csinálj gondot, terheld le 2A-rel, (ráraksz egy autós izzót pl )és mérd meg, hogy van-e 5V, avagy nincs. Ha mégis 7805 lenne benne, az kb 0,5A-t tudhat csak. Ám egy hőfokszabályzónak szerintem ez is elég....
7 éves tápnál én az 1A-es terhelhetőségre szavazok. |
Bejelentkezés
Hirdetés |













