Fórum témák
» Több friss téma |
- Ez a felület kizárólag, az elektronikában kezdők kérdéseinek van fenntartva és nem elfelejtve, hogy hobbielektronika a fórumunk!
- Ami tehát azt jelenti, hogy a nagymama bevásárlását nem itt beszéljük meg, ill. ez nem üzenőfal! - Kerülendő az olyan kérdés, amit egy másik meglévő (több mint 17000 van), témában kellene kitárgyalni! - És végül büntetés terhe mellett kerülendő az MSN és egyéb szleng, a magyar helyesírás mellőzése, beleértve a mondateleji nagybetűket is!
Szia! Ha jól látom Bővebben: Link ez a vezérlő áramkör van benne (az oldal közepe S576). Adatlapja szerint a 8 láb a kimenet ami általában egy ellenáláson vagy diódán keresztűl vezérli a triakot . Ez megy a triak G re.
A hozzászólás módosítva: Dec 5, 2012
Idézet: nem feltétlen ,sőt(t), a biztit általában még a vezérlő chip(p) előtt alkalmazzák, ami meg a triak előtt van.„A biztosítékra kötött csatlakozás a kimenet” Egy is elég. A hozzászólás módosítva: Dec 5, 2012
De én meg tudom, hogy a kimeneten van a bizti. Az IC egy 720kohm-os ellenálláson keresztül csatlakozik a nulla felé ezért nem szükséges az IC zárlata ellen védeni a hálózatot.
Lehetséges hogy a fotón így van, nem tudom mert nem igazán látni bele. Azt tudom hogy amikkel én találkoztam azokban a bizti mind az IC előtt volt, hogy hány fordult meg nálam? kb. egy tucat.
A hozzászólás módosítva: Dec 5, 2012
Szerintem pedig kadarist-al ne vitatkozz, mert ő érti a dolgát. Kevés ilyen szakember van itt.
Sziasztok!
Egy ideje már filózgatok, nem tudom egyáltalán el tudom-e magyarázni mi az amit nem értek. Szóval hogy is van ez című rész következik: látjuk a rajzokat sémákat az egyenirányításról.Bővebben: Link Mindenhol ezt az ábrát lehet látni. Rendben is van. De engem az érdekelne, hogy a két vezetőn mi történik egy időben? Tehát ha a pozitív hullámot átengedő diódákon megjelenik a pozitív félhullám, akkor ezzel egy időben mi történik a tekercs másik végén és a hozzá kötött negatív hullámot átengedő diódákkal? Kicsit bonyolult vagyok, magam sem értem pontosan mi a hiba a képletben ![]() köszi előre is!
Szia!
Nézd, ez itt elég látványos. Szóval az áram pillanatnyi irányának megfelelően mindig két dióda van bekapcsolva, a másik kettő mintha ott sem lenne.
Köszönöm, ez nagyon jó.
Ez most így oké. Viszont a problémák nekem a "szimpla tekercsből hogyan csináljunk szimmetrikus tápot" résznél vesződött össze odabent minden. Van amikor a tekercs egyik ágából leveszem a negatív és pozitív félhullámot is, a "közepe" (föld) pedig a másik tekercskivezetés.Bővebben: Link Ebből lehetetlen kétutas egyenirányítást csinálni. De miért? A másik eset, amikor két ellenállással vagy kondival feszültségosztót hozok létre Bővebben: Link. A közepük lesz a virtuális föld. Itt már eleve kétutas egyenirányítással is működhet a dolog. Ezeknek a kapcsolásoknak mik a hátrányai? Mikor kell az első vagy a második esetet használni? Pl egy ICL7660 hogyan képes fizikailag eltolni a tápfeszt negatív irányba? Alapvető gondok vannak itt vagy csak kevés volt a suli ehhez már? A hozzászólás módosítva: Dec 5, 2012
Amit linkeltél az pár 10mA terhelésre jó, akkor ha nem nagyok az igények a szűrésre. Persze nagyobb áramokra is meg lehet csinálni, de mivel ritkák a "púpok" óriási puffer kondi kellene, egyszerűen nem éri meg.
Az ellenállás osztóval pedig az a gond, hogy a terhelésnek, ami a virtuális földpontra csatlakozik legalább egy nagyságrenddel nagyobbnak kell leni és szimmetrikusnak is, különben elmászik a feszültség. Ha megfordítod akkor az osztó ellenállásainak kell kicsinek lenni. Egy táp belső ellenállásánál ugye mili Ohmokról van szó. Ha ezt osztóval akarod elérni, nagy teljesítményű ellenállások kellenek, a veszteséged is hatalmas lesz.
Hello!
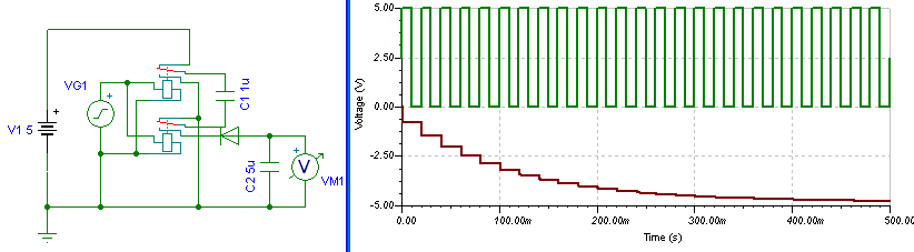
Amíg egyszerű alapműködéseket nem ismered, nem biztos, hogy az ICL7660-al kell foglalkoznod. De készítettem egy szimulációt, hogy lásd és megértsd kb. hogyan működik. - Az átalakítandó tápfeszt a V1 szolgáltatja. - A működés alapja, hogy egy kondenzátorban tárolt töltést kapcsolgatunk. - A kondit a két relé kapcsolgatja. (azért kettő, mert a szimulátorban nincs két váltókontaktusos. - A reléket a VG1 ütemadó kattogtatja. - Ahogy a képen látható, a relé nyugalmi helyzetben van. A C1 kondit a tápfeszültség feltölti 5V-ra. - Ha a relé átvált, a kondi pozitív töltésű elektródája a GND-re, a negatív a diódára kapcsolódik. - Ha a feltöltött kondi pozitív elektródája a GND-n van, akkor a negatív elektródája a GND-hez képest negatívabb feszültségű. Így a C1-ben tárolt töltés áttöltődik a C2-be. - A következő ütemben a C1 újra feltöltődik. Ez alatt, a C2 szolgáltatja a negatív tápot. Természetesen az IC-ben a relét és diódát, Fet tranzisztoros kapcsolók helyettesítik. De mielőtt megkérdeznéd, komoly teljesítményeket nem szoktak ezen a módon előállítani. üdv! proli007 A hozzászólás módosítva: Dec 5, 2012
Szia!
Volt 3db 2700mA -es feltöltött elemem,ezt raktam bele így már valóban nem pislákol a "csúcs Led" hanem folyamatosan világít, de 19-órakór raktam oda még most is úgy villog mintha most raktam volna oda. Úgy látom reggelig kibírja,na de majd kiderül. Majd holnap megírom. Üdv. és köszöntem az eddigi hozzászólásokat is.
Köszönöm a számomra kimerítő választ, elég jól érthető ez.
Annyi kérdésem lenne csupán, hogy a megfelelő pillanatban C2 a föld felől töltődik, ugye? Az alapműködéseket úgymond ismertem, csak rettentő sokat felejtettem és gyakran hajlamos vagyok bekavarni...sajnos.
Helló!
Frekvenciaváltó bekötéssel, programozással kit lehetne megkeresni? 1F-ról üzemeltetnék egy 3F motort (0.25kW mindösszesen). LENZE frekvenciaváltó: ESMD251X2SFA
Sziasztok.
A segítségeteket szeretném kérni abban, hogy, régebben az oldalon található kapcsolási rajz alapján csináltam egy 2 ledes villogót. Ez 4.5 V ra volt tervezve. A gondom az lenne, hogy nekem egy 19 és 24 V közötti trafóra kellene rákötnöm. Gondoltam hogy teszek rá egy 5V stab IC de azzal sem működik megfelelően, mert az 5V is sok neki. Hogyan kellene módosítanom a dolgot, hogy működjön?
Hello!
Kb. növelni kellene az ellenállások értékét, a feszültség arányában. A kondikét, meg csökkenteni. De ha 24V-os trafót egyenirányítod, akkor ott kb. 32V egyen feszültség lesz, ami nem biztos, hogy jó a tranyóknak már. Vagy is lehet célszerűbb lenne az egyenfeszültséget egy ellenállással és egy zénerrel, kb. 12V-ra csökkenteni. (De ahogy a kezdők gondolkodását ismerem, mindjárt kiderül, hogy nagyteljesítményű Led-ekről van szó. Bocs ha prejudikálnék..) üdv! proli007
ugyan dehogy is. Egy terepasztalról lenne szó és a soromó villogását akarom megoldani.
Már be van kötve elég sok led és nem nagyteljesítményűről van szó. csak gondoltam hogy az 5V stab ic után esetleg egy ellenállás megoldaná a dolgot, vagy esetleg a kondik növelése. mert ahogy kivettem villogna az csak rettentő gyorsan. Ami a trafót illeti, nem tudom pontosan milyen feszültséget ad ki. Ezt még régebben szerváltam és már évek óra müxik. 1 egy kilós ellenállás tökéletes a lednek. Tovább nem foglalkoztam vele, mert minden elbír szóval nem is volt rá okom, hogy nagyon utánanézzek. Csak most, hogy a villogót nem tudom megoldani. A hozzászólás módosítva: Dec 6, 2012
Hello!
Én a mellékelt dolgot alakítanám ki. Persze az egyenirányító/trafó nincs a rajzon. a 470µF-os kondi, minimum 35V-os legyen. üdv! proli007
És egy ha a 5V os ic használom akkor mennyiben módosul? Márcsak mert nem biztos hogy 24V ot ad le, de stab IC vel biztos hogy 5V lesz
Hello!
Ha 4,5V-ról működik, akkor 5V-ról is mennie kellene, mert az még nem nagy különbség. Ha mégsem, növeld a bázis ellenállásokat cseppet. üdv! proli007
Szia!
Köszi a reakciót. Olympus E520-hoz kéne. A infra távirányítót már vettem hozzá, azt kéne ki-be kapcsolgatnia a leendő áramkörnek. Utána nézek ennek az IC nek. Köszi
Helló!
Frekvenciaváltó bekötéssel, programozással kit lehetne megkeresni? 1F-ról üzemeltetnék egy 3F motort (0.25kW mindösszesen). LENZE frekvenciaváltó: ESMD251X2SFA
Hello!
1. Ne légy türelmetlen! 2. Használd a keresőt: Bővebben: Link; Bővebben: Link; Bővebben: Link
Akkor most nagy hülyeséget kérdeztem?
És még valami: ha jól értem és az alvás megfelelően segített a történet emésztésében, akkor ha vizsgálunk egy váltakozó áramú és feszültségű generátort, a kapcsaira a szkóp mérőzsinórokat téve látjuk a ~szinuszt, és a nullátmenetnél elég gyorsan meg tudnánk cserélni a mérőkábeleket, akkor ugyanazt a félhullámot látnánk a kijelzőn a következő félperiódusban?
Sziasztok.
Kerestem az egész hobbielektroonika honlapon,de sehol nem találom azt a fórumot,ahol a meddő teljesítmény generátorról van szó. Viszont vagy két hónappal ezelőtt megtaláltam. Ha tudtok akkor segítsetek nekem,hogy milyen nevet adtak neki,mert arra sem emlékszem. lőre is köszönöm.
Köszönöm szépen a gyors és segítőkész válaszod.
Örök hálám!
Szia! képzeld reggel még tök ugyan olyan jól bírta., nem merült le. Építenék még egy ilyet,kérdésem annyi lenne hogy ez a kapcsolást 9V elemről lehet működtetni? vagyis az nem sok neki? Mert ugye a rajzon csak annyit ír hogy 2 db 1,5V. Köszi a választ. Üdv!
Idézet: „a nullátmenetnél elég gyorsan meg tudnánk cserélni a mérőkábeleket, akkor ugyanazt a félhullámot látnánk a kijelzőn a következő félperiódusban?” Ugyanazt nem láthatod, mert ahhoz vagy vissza kéne menni az időben, vagy tárolós szkópon aktivált "Hold after trigger" funkció mellet lehetséges, de akkor el is rakhatod a mérőfejet, a félhullám ott marad Viccet félretéve, ideális szinusz generátort feltételezve ugyanolyan alakú és polaritású félhullámot látnál Még egy szemléltetési példa: tegyük fel, hogy egy papíron van egy teljes periódusnyi, tökéletes szinusz hullámod, azt a félperiódusnál (nullátmenetnél) elvágod, akkor a két félhullám tökéletesen fedésbe hozható egymással, forgatással.
Ha a 9V-os elemmel az üzemidő meghosszabítása lenne a célod, akkor felesleges fáradozni. A 2db ceruza akkuban is több tültés van mint egy 9V-os elemben. Pont a napokban számoltam ki: 1.-es pont a hsz. közepén.
Sziasztok!
25V váltófeszültségből 4 volt egyenfeszültséget hogy lehet előállítani?
Helo!
Egyenirányító, puffer, LM317. Először potmétert teszel bele, beállítod 4 V-ra, majd kiveszed a potmétert megnézed hány Ohm és beleteszel egy olyan ellenállást, vagy ha nem zavar akkor maradhat a potméter. Persze ez csak 1.5 A bír. |
Bejelentkezés
Hirdetés |







Viccet félretéve, ideális szinusz generátort feltételezve ugyanolyan alakú és polaritású félhullámot látnál
Még egy szemléltetési példa: tegyük fel, hogy egy papíron van egy teljes periódusnyi, tökéletes szinusz hullámod, azt a félperiódusnál (nullátmenetnél) elvágod, akkor a két félhullám tökéletesen fedésbe hozható egymással, forgatással. 




