Fórum témák
» Több friss téma |
Beszkenneltem.
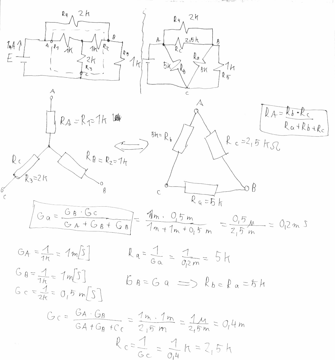
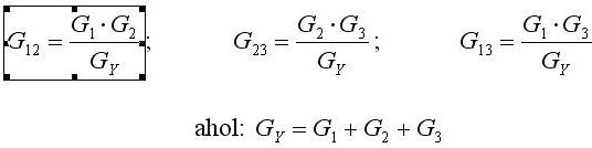
A csillag delta átalakítás nem olyan nehéz, a rajzon látszik. Matematikailag felírod melyik melyik ellenállás, a A pontba menő RA csillag esetében, meg delta esetében az Ra az A pontal szemközti (mert matekba úgye az az a oldala a háromszögnek). Utánna a keresett egyenlő a másik kettő szorzata per a mindhárom összege. Most még csak azt kell megjegyezni, hogy delta=> csillag akkor Rekkel (ellenállásokkal), még ha csillag => deltába akkor Gkel (vezetőképességekkel) kell számolni. Ha elektrosok vagytok, mivel nincs a tananyagban ajánlom a számológép tetejére felírni, valamelyik képletet, és mikor R, mikor G. Ez nekem is sokáig a számológépen volt, mellette a réz és az aluminium fajlagos ellenállásával. mindig jól jön ha kéznél van. Sajnos levettem Igen kiszámolható, Thevenin módszerrel is, de akkor feltételezned kell egy feszültségforrást, ami elégé kisérletezés alapon működik. Mivel csak az eredő áram ismert, ezért kellene először az eredő ellenállást kiszámolni, abból a feszültségforrást már egyszerű. Végeredménben mindegy, hogy hogyan számolsz; csak mint a matekban nem szabad elírni, elszámolni. Üdv. Tóbi Idézet: „Thevenin módszerrel is, de akkor feltételezned kell egy feszültségforrást, ami elégé kisérletezés alapon működik.” Nem kell konkrét érték! Egyszerűen azt írod, hogy U, és a végén kijön, hogy az mennyi.
Megfordíthatod azt amit írtam, használod az 1mA áramgenerátort, annak segítségével meghatározod az említett pontokban a Thevenin generátor feszültségét, és onnan már ugyanaz érvényes, mint amit írtam.
Az nem kisérletezés, hogy fogok egy tesztgenerátort, annak segítségével levezetem az egészet, és a végén a generátor kiesik a számításból. Ez is egy alapvető módszer az áramkörök számítására, mint a Kirchhoff és ohm törvények, Thevenin és Norton helyettesítés, stb.
Potyo!
Áramgenerátorral nem jó, mert nem tudod előre, hogy az ágak között hogy oszlik meg az áram!
Kihagyod a középső 1k-t, akkor már tudod az ágankénti áramot, és onnan ugyanaz a Thevenin helyettesítés megy, mint amit első alkalommal leírtam.
Ez már nem ekvivalens átalakítás! A középső 1k kihagyásával megváltoztatod az ágankénti áramot, ami nem megengedett, mert pont annak az értékét akarod kiszámolni részeredményként. Csak olyan átalakítás megengedett, ami nem (vagy ismert mértékben) befolyásolja a keresett értéket!
Én az ilyen összetett síkhálózatokra háromféle módszert tanultam:
1.: Hurokáramok módszere (feszültséggenerátorok esetén) Kirchhoff huroktörvényét alkalmazva. 2.: Csomóponti potenciálok módszerével (áramgenerátorok esetén) Kirchhoff csomóponti törvényét alkalmazva. 3.: Faágfeszültségek módszerével. (ha megtanultam volna) Jelen esetben talán a 2. módszer a célravezető.. a négy csomópontra fel kell írni az egyenleteket, majd egy kis mátrixszámolás.. Anno amikor tanultam ezt, hát már akkor sem volt a kedvencem.. főleg hogy ennél bonyolultabbak voltak a házifeladatban, általában több független generátorral, és akkoriban a számológépekben sem volt még mátrix-számoló funkció, így igen időigényes volt..
OKTV-n? Kicsit csodálkoznának a javítók, de szerintem nem jó értelemben, hanem inkább a rejtett telefont keresnék. Verébre ágyúval. Az eredeti feladat egyszerű módszerrel fejben számolható. Még számomra is, pedig én egyszerre 4 adatnál többet nem tudok fejben tartani.
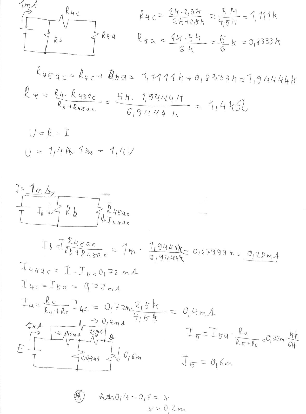
Mellékletben küldöm a Kirchhoff törvények alapján leírt megoldást.
Köszönöm mindenkinek, hogy segítettetek megoldani a feladatot. Mivel Tóbi volt a leggyorsabb, ezért neki jár a pont, de szivem szerint a többieknek is adnék!
Köszönöm mégegyzser, és főleg, hogy magyarázatokat is írtatok, nem csak egy-egy eredményt!! Köszönöm mindenkinek! üdv: uli
Hello!
Most értem haza fizika osztv versenyről az egyik feladat nagyon megtornáztatott és ennek megoldásában szeretném a segítségeteket kérni. A feladat a következő: Viszonylag jelentős fajlagos ellenállású huzalból állítsunk össze egy kockát úgy, hogy a kocka minden egyes oldaléle 1ohm ellenállású legyen és az éleket alkotó huzalokat a kocka csúcspontjaiban forrasszuk össze. Mekkora ellenállás mérhető a kocka egyik testátlójának két végpontján? Én felrajzoltam amellékelt ábrán látható módon az ellenállásokat a con2csatlakozón mérném az ellenállást a rajz jó szerintetek? Ha igen akkor hogyan lehet az eredőt számolni?(gondoltam csillag delta delta csillag átalakítóra is de nem tudom)
Végülis lehet csillag-háromszög átalakításokkal is számolni, csak sokáig tart. A gyors megoldás az, hogy felismered, hogy a rendszer szimmetrikus, és így a sarokponttoktól egy élnyi távolságra levő csúcsok között nincs feszültségkülönbség. Ekkor azokat rövidre zárhatod, és máris egyszerűbb lesz a helyzeted, mert csak néhány soros és párhuzamos kapcsolást kell számolni.
Ha jól számoltam, az eredő ellenállást sorban 3,6,6,3 ellenállás párhuzamos, majd az így kapott eredők soros kapcsolásával kapjuk meg. Vagyis az eredő ellenállás 1ohm.
Hello kösz a gyors segítséget de nem teljesen értem tudnál egy rajzot kcsinálni hozzá?kösz
Szerény számitásaim szerint eredö ellenállásnak 5/6-od ohm jött ki. Az általad leirt számitásokkal.
Fogsz egy kockát, alsó oldalán legyenek a csúcsok A, B, C és D. Felettük A1, B1, C1 és D1. A és C1 pontok között keressük az eredő ellenállást. B, D és A1 pontok azonos távolságra vannak az A ponttól, vagyis rövidrezárhatók. Ugyanígy B1, D1 és C pontok azonos távolságra vannak a C1 ponttól, tehát azok is rövidrezárhatók. Így kapunk három párhuzamos ellenállást A és az első rövidzár között. A két rövidzár között hat darab ellenállás van párhuzamosan. A második rövidzár és C1 pont között megint három ellenállás van párhuzamosan. Vagyis az előbb rosszul számoltam, az eredő ellenállás 1/3+1/6+1/3=5/6 ohm.
Ha még mindig nem érted, fogj egy négyzetet, aminek ugyanígy A és C pontjai között keresed az eredő ellenállást. Ezesetben a B és D pontok között nincs feszültség, emiatt ha azokat rövidre zárjuk, ott áram sem folyik, vagyis nem befolyásol semmit a rendszerben. Na ezt a modell azután képzeld el három dimenzióban.
Sziasztok
Abban szeretnék segítséget kérni, hogy hogyan lehet levezetni vezetékként csillagból deltába. Látható a fájl mellékletében.
Helló!
Azt szeretném megtudni, hogy a lejtőn lévő test(nem csúszik mert tartja a tapadási súrlódás) az a lejtőt mekkora erővel nyomja? Szóval hogy kell kiszámolni a nyomóerőt(Fny)? Üdv.: mate_x
A lejtőnek feltehetőleg van bizonyos dőlésszöge. Emiatt viszont a függőleges irányú gravitációs erőt 2 komponensre kell bontani. Lesz egy lejtővel párhuzamos komponense (ha nem lenne tapadás, gondolj bele, igyekezne minél inkább a gravitációs erőt kifejtő jelenség képzeletbeli középpontja felé haladni, azaz csúszna le a lejtőn, hogy minél jobban a Föld középpontja felé mozoghasson), illetve lesz egy lejtőre merőleges komponense, ezzel fogja nyomni konkrétan a lejtőt. Innentől kezdve már csak egyszerű trigonometria az egész, ahogyan azt mate_x is leírta.
Üdv
Van egy feladat, amit sehogy nem tudok megoldani: lejtőn van egy test: a=1.2 m/s2 m=10k Meg kéne adni Fv erőt (vízszintes erő) Ha valakinek van ötlete, segítsen Köszi előre is
Az erőirányt jól rajzoltad? Ez egy önjáró hasáb vagy mi?
Vagy ez pont a trükk hogy az erő iránya nagatív? Na mindegy...A lejtőirányú, azaz gondolom eredő erőhöz képest, a vízszintes annak a szinuszos összetevője és a függőleges, ha kéne az a cosinusos... meg persze a szög amit a lejtő a vízszintessel bezár az a szög kell ide... vízszintes erő=eredő*sin(eredő és vízszint közti szög)
Az az erő van a rajzon, ami gyorsítja a lejtőn a testet!
Csak érdekes, ha a lejtőn felfelé gyorsul egy test
bár ez csak a természet modellezése, lehet hogy az igazából egy JEEP csak itt kicsit kocka lett...
A kérdés gondolom az, hogy a megadott gyorsuláshoz mekkora erő kell.
Biztos hogy minden szükséges adat megvan?
Az emelkedési szög például nagyon nem mindegy!
bocsi, egy adat még van:
u=0,18 addig eljutottam, hogy u=tg "a" de abból hogy is kell "a" szöget meghatározni
Ez érdekes így mert mintha "túl határozott" lenne ez a feladat, bár nem tudom, hogy jó pontosan helyen használom e ezt a kifejezést, de a lényeg, hogy így nincs is ismeretlen az egyenletben, mit keresnél akkor benne? Vagy a az alfa szög akarna lenni nem a gyorsulás?
De mi a gond, van számológéped nem? inverztangens u és megkapod az "a" szöget Elég félrevezető így amikor az "a", mint gyorsulásk már feltüntetésre került a feladat kiírásában
Fizika - alapsulis, középsulis ebookra lenne szükségem behoznia fizikában való hiányoságokat?
elektrotechnikai egyetemre járok és az első szemeszterben közepsulis fizika van. MIvel ekonomiai kozepbe jartam nem tudok szinte semmit ... Fizikai szoveges peldakat szeretnem megtanulni megoldani... Ha tudnatok segiten
Üdv! Indulok a Bay Zoltán fizikaverseny C kategóriájában. Szükségem lenne egy kis segítségre. A kérdés: Egy deutérium ion és egy α részecske repül be az indukcióvonalakra merőlegesen, azonos sebességgel mágneses térbe. Melyik pályasugara lesz kisebb?
Előre is köszönöm a segítséget és egy kis magyarázatot is elfogadnék. |
Bejelentkezés
Hirdetés |










Vagy ez pont a trükk hogy az erő iránya nagatív? Na mindegy...




