Fórum témák

» Több friss téma
Fórum » Energia takarékosság
 
Témaindító: wg_kezdo, idő: Jan 15, 2009
Lapozás: OK   4 / 14
(#) lapose válasza Feri007 hozzászólására (») Jan 16, 2009 /
 
Szia!

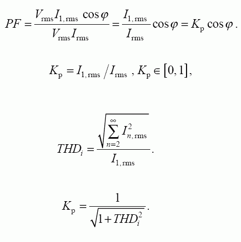
Csak azt kell tudni, hogy kapcsoló üzemű tápoknál a cosfi és a PF nem egyezik meg! Az általam felhozott példában szerintem a PF 0.5 alatti.
A belinkelt dokumentum azért jó, mert leírja, hogy hogy lehet a felharmonikusokból levezetni a PF-et.
Találtam képletet hozzá a neten hozzá(sajnos a weblapot nem jegyeztem meg), ami a nemszinuszos áramra mutatja a PF kiszámolását!

PF.gif
    
(#) Norberto válasza Feri007 hozzászólására (») Jan 16, 2009 /
 
Idézet:
„A hivatkozott doksiban egy szó sem esik a teljesitménytényezőről.”


De nem is arról kérdeztél "először", hanem, idézném:

Idézet:
„Kérdés: milyan "alakú" áramot vesz fel egy PC táp, ami egy Graetz-cel és és egy pufferelkóval kezdődik?”


A kép erről ott van kerek-perec a doskiban.
(#) fege hozzászólása Jan 17, 2009 /
 
Szevasztok , ahogy olvasgatom a hozzászólásokat azt érzem , hogy elég sokmindenre van ötlet vagy elképzelés . Ha volna valakinek arra ötlete hogy lehet olcsón és hatékonyan egy akváriumot megvilágítani azt megköszönném : nem is egy akváriumról lenne szó teháta fogyasztás itt is fontos szempont . Válaszokat előre is köszönöm.....
(#) szamóca válasza fege hozzászólására (») Jan 17, 2009 /
 
Pl. nagy fény erejű fehér LED-ekkel?
(#) fege válasza szamóca hozzászólására (») Jan 17, 2009 /
 
Köszönöm az ötletet elöször nekem is ez ugrott be csak a megtérülési idő......... elég drágák ezek a ketyerék nem ?
(#) deguss válasza fege hozzászólására (») Jan 17, 2009 /
 
Olyanból állítsd össze a megvilágítást, amit olcsón lehet kapni. Nem kell nagy teljesítményű LED, azok még drágák, normál 5mm-es ultrafényes fehér LED, aminek nagyon szép spektruma van, szinte csak a 450-700nm-ig látható tartományban sugároz, szóval még "barátibb" is, mint egy fénycső, aminek jelentős UV sugárzása is van.
Én egy hálóban rendezném el a LED-eket, legalább úgy 10×10cm-enként illene egy darabot tenni. Nem tudom, mekkora az akvárium, de ha egy 40W-os fénycső helyére odaraksz 15 LED-et, egy megfelelő táppal, akkor a 40W-ból máris csak 2.2W lett (3.6V@40mA), illetve a táp hatásfokát még bele kell számolni. De ha egy ócska kis transzformátort egyenirányítassz, az se vesz fel leterhelve 3-4W-nál többet, szóval a fogyasztáscsökkentés 90%!!!
(#) fege válasza deguss hozzászólására (») Jan 17, 2009 /
 
Ez egy 2-méter hosszú akvárium amit most 4db 36 w-os cső világít meg ( 9000 kelvines 2db ,narancssárga növényes 2db ) a szép növényzethez kell a fény ! Most már csak aztkell kitalálni , hogy kb mennyi leddel lehetne ezt helyettesíteni ,hogy a fényerő ne változzon ( ne csökkenjen )
(#) Action2K válasza deguss hozzászólására (») Jan 17, 2009 /
 
Idézet:
„a fogyasztáscsökkentés 90%!!!”

Gondolom ez fényerő csökkenéssel is jár, illetve a fény semlesz egyenletes, hanem sugarak keletkeznek. Ennek ellenére szerintem ez még hangulatosabb is. Ha a ledek fényerejét össze vissza, fél-egy Hz-es véletlenszerű összevisszaságban picit csökentgeted, olyan pulzáló villódzó hatást érhetsz el, minta a napfény a tóparti fák, szellőkkel ringatott levelein keresztül sütne át a tó vizére.
Hát nem gyönyörű látvány!
(#) fege válasza Action2K hozzászólására (») Jan 17, 2009 /
 
A fényerő ill. annak minősége hosszútávon lényeges mivel nemkivánatos algák megjelenését vonja maga után . Mindenesetre ez a ledes dolog kimondottan felkeltette az érdelődésemet....ha van még valami jó ötletetek szivesen fogadom .
(#) poros válasza Action2K hozzászólására (») Jan 17, 2009 /
 
Ez igazán eredeti ötlet.Felveszem a megépitendök listámra.
(#) Action2K válasza fege hozzászólására (») Jan 17, 2009 /
 
Sok leddel biztos teljesíthető a fényigény, csak mennyi az a sok? Pláne pénzben.

Ötlet: A ledessel, a lenyugvó-felkelő Nap is utánozható.
(#) huhuu hozzászólása Jan 17, 2009 /
 
Sziasztok!


Nagyon örülök ennek a témának!

Leírok egy pár dolgot amikkel a természetet próbálom védeni.

Otthon átalakítottam picit a nyomtató kábelét.
A dugvillát levágtam és a helyére egy régi csavaros trafó dobozt tettem amibe be van építve a dugvilla.
Ebbe tettem egy 6 voltos relét.
Az USB kábelt megcsapoltam és az 5 voltot rákötöttem a relére. A relé jól működik szerencsére ezzel a feszültséggel is. Van kapcsolós elosztónk, de sokat van a számgép bekapcsolva, így viszont a nyomtató tényleg csak akkor megy, amikor nyomtatni kell. Most csak bedugom az USB-t a laptopba és már lehet is nyomtatni. Szerencsére a nyomtatón, miután bemelegedett nem kell semmilyen bekapcsoló gombot megnyomni, rögtön nyomtatásra készen áll. Most így energiatakarékos és kényelmes is.
Majd valamikor teszek még egy pici kapcsolót a dobozra, hogy USB nélkül is be lehessen kapcsolni, mivel fénymásolni is lehet vele és olyankor jobban kézre esne az a kapcsoló, mint az usb-s csati.

Zenét több "erősítővel" hallgatok, a teljesítmény igény szerint.
A legkisebb amikor, az mp3-at egyenesen rákötöm a
hangfalra. Halk háttérzenét szoktam így hallgatni.
A következő fokozat az USB-s hangkártya(semmi extra, a legolcsóbb kivitelű). Jobban meghajtja a hangfalakat, általában teljesen meg is felel ez a teljesítmény. Szinte mindent ezzel hallgatok, netes rádiók, filmek, zenék....
A következő fokozat a régi pici ic-s erőlködő(+12v, 2x22watt vagy 4x11watt), nem ugrik
be most a neve, de mondjuk jó ideje már nem is használom, ritkán kell a szobába ekkora teljesítmény.
A legutolsó amit végül is mostanában szintén nagyon ritkán használok a yamaha rádió erősítő.
Ha nem szól semmi vagy csak halkan szól, de be van kapcsolva, 25 wattot fogyaszt. Kicsit pazarlásnak tartom, halk háttérzenéhez ezt...
Ezektől persze van nagyobb is, de azokat ritkán
és nem otthon hallgatom, illetve csak rövid ideig pusztítom a fülem...
Nyaranta szoktam kis elemes rádiót hallgatni napelemről, illetve otthon ugyanezt a kis rádiót szoktam a hangfalakra kötni. Hatalmas minőségbeli javulás, a beépített kis hangszóró után az otthoni hangfal.

Mostanában szinte csak energia takarékos égőt használunk. Mondjuk gondolkodom, hogy a nappaliba beszerzek valami pici fém halogén izzót, igaz az fogyaszt, de sokkal jobb mint a sima halogén vagy a normál izzó és csodásan lehet vele látni!
Egyszer szemre próbáltam össze hasonlítani a fényét, egy 70 wattos fém halogén izzónak annyi fénye volt majdnem mint egy 300wattos normál halogénnek.

Energia takarékos izzókból van egy régi típus, ami szerintem nagyon jó és hosszú életű, sajnos nem tudom milyen márkájú és hogy lehet e még venni, illetve nem tudom, mennyivel fogyaszt kevesebbet.
Elég nagy, és nem elektronikus előtét van benne, hanem egy nagy trafó. A fénycsövet pedig lehet benne cserélni. Nagyon hosszú élettartamú a trafó, nálunk már rengeteg éve megy és nem vettük, hanem egy rokonunktól kaptuk, az is lehet, hogy már akkor is használt volt. A csövek végkimerülésig működnek vele, nem úgy mint a gagyi izzókban, amiben az elektronika mond csődöt, pedig a cső még működne sokáig.
Gyűjtöm is ezeket az izzókat, mert pont ezekből a tönkrement energiatakarékos izzók fénycsöveiből tervezek építeni lámpákat. 12 voltról nagyon könnyen
meghajthatóak. Udvarvilágítást szeretnék készíteni, minden izzó kap majd egy pici elektronikát. Ha kész lesz akkor már nem kell használni a nagy halogén reflektorokat.
A gagyi illetve olcsóbb energia takarékos izzók szerintem tovább működnek hűvös helyen mint melegben!

Elemet nem vettem már évek óta. Csakis tölthető akkumulátort használok, illetve egy jó minőségű processzoros töltőt is vettem, hogy hosszú élettartamúak legyenek az akkuk.



(#) burgdavid hozzászólása Jan 17, 2009 /
 
A régi Tungsram kompaktfénycsövek valóban nagyon jók voltak! Nekünk több mint 10 évig! működtek kifogástalanul. Most az én szobámba van még egy példány, aminek annyi baja van összesen, hogy félóránként 1mp-re elalszik, majd utána ismét világít. Sajnos a másik eltörött. A színhőmérséklete nagyon kellemes a többihez képest. Kár, hogy már nem gyártják.
(#) dbase hozzászólása Jan 17, 2009 /
 
Ahol dolgozom van 1100 modemes internet előfizetésünk. 9000lakos, 3200ház, azaz minden 3.ba mi szolgáltatjuka városba a netet.
Bekötéskor mindig ajánljuk, ha nincs a modem ahsználva huzzák ki spórolni fognak vele, főleg ha ruter is van. Mellékelem az aktív modemek számának változását a napok folyamán.Modem típus válogatja, van ami 5v-1A, 9v-0,8A, 12v-1,2A.
900 a max, és 700 a min.800*10W=8kw óránként a városnak az átlaga így.

modemek.png
    
(#) deguss válasza dbase hozzászólására (») Jan 17, 2009 /
 
Te jó Isten, elgondolni is borzasztó ez a teljesítmény. Átlag emberként nem is gondol ilyenre az ember...
Ami viszont szerintem az új technika leges legnagyobb tévszülöttje az a vezeték nélküli telefon.
1.) Nem működik, ha nincs áram, pl. elektromos tűz esetén hogy hívod a tűzoltókat, ha nincs mobil?
2.) Éjjel-nappal fogyaszt 6-10W között (mérési eredmények)
3.) Akkumulátor élettartama erősen korlátozott, még egy jó típus se bír ki 2 évnél többet, ha lemerült, meg csak a gond van vele. Ha elhasználódott, akkor meg az átlag ember még arra se hajlandó, hogy visszavigye a megfelelő helyre, inkább a kukába, vagy még rosszabb esetben a lefolyóba hajítja.
4.) Amikor csörög, akkor meg általában a legtávolabb eső helységben van, néha nem is találni meg.
5.) A biztonságtechnika kérdéskört nem is tárgyalom, egy kicsit is hozzá értő szomszéd simán belehallgathat a beszélgetésbe.
(#) fege válasza deguss hozzászólására (») Jan 17, 2009 /
 
Valami ilyesmire gondoltál ? Fehér színű LED ,
fényerő: 4200 mcd ,sugárzási szög: 60 fok , átmérő: 5mm
(#) wg_kezdo válasza dbase hozzászólására (») Jan 17, 2009 /
 
Ez durva.
Kikerestem a neten, hogy ma 1,5M előfizető van (adsl).
Ha dbase adatait követjük akkor ez annyit jelent. hogy:
Ha tegyük fel csak 60%-ban vannak állandóan bekapcsolva a modemek (dbase-nél 72%-ot láttam).
1,5Mx60%=900.000 bekapcsolt modem.
az 9.000.000 W vagyis 9.000 Kwh vagyis 9Mwh????
Lehetséges ez vagy elszámoltam magam.
(remélem utóbbi).
Megnéztem a Battai erőmű kapacitása 1736 Mw vagyis 0,5%-a a modemek üzemeltetésére megy el.
(#) deguss válasza fege hozzászólására (») Jan 17, 2009 /
 
Igen, a 60°-os az jó! Ha tényleg sok fény kell, akkor teheted a LED-eket kisebb rácsokba, mert én ugyan 10*10cm-t írtam, de ha pl 7*7cm-re teszed, akkor már 10cm-es távolságon belül egyenletes a megvilágítás, és persze fényesebb is. Ajánlom a melegfehér LED-eket, ne a sima fehéret, annak van egy kis kék beütése. Bár nem tudom milyen kell a növényeknek, halaknak, nekem csak egy kerti tavam van (5m^3), most 15cm jéggel.
(#) deguss válasza wg_kezdo hozzászólására (») Jan 17, 2009 /
 
Ha tényleg mindegyik csak 10W-ot eszik, akkor ez tényleg sajnos 9MW teljesítmény. És aligha kapcsolják ki az emberek...
(#) And válasza dbase hozzászólására (») Jan 17, 2009 /
 
Azért azt vedd figyelembe, hogy a tápokra írt adatok csak terhelhetőségek, a valós fogyasztás csak annak a töredéke lehet. Az én modememnek is 12V/1A-es tápja van, 2W fogyasztást mértem rajta. az kb. hihető.
Deguss: szerintem a cordless telefonokra is erős túlzás az általad írt teljesítmény. A hozzávaló tápja pl. nálam 9V/0.5A, és biztos vagyok benne, hogy ez sincs csutkára kihajtva (szintén 2W-ot mértem rajta). Az akku megérne egy külön kérdéskört takarékossági szempontból, de úgy tuti nyertes lenne az elemekkel szemben . Ja, és a manapság használatos DECT-rendszerű telefonokat sem nagyon hallgatja le a szomszéd (régi analóg típusokat talán, de azt sem műsorvevővel, és manapság szinte minden cordless telefon DECT-es).
(#) wg_kezdo válasza And hozzászólására (») Jan 17, 2009 /
 
Ha 2W-al számolunk akkor is 1Mw áram megy el erre az egyetlen eszközre és mi még nem is vagyunk az agyonnetezett országok között.
Mindenképpen veszek valami fogyasztásmérőt
Ja egy kérdés ezzel kapcsolatban:
Ha mondjuk veszek egy olyat ami minimum 10W-ot tud mérni és erre rákötök mondjuk valamit ami 20W-ot eszik. Majd rákötök valamit ami csak 2-W-ot akkor így 22W lesz? (így meg lehetne oldani hogy ne kelljen nagyon érzékeny mérőket vennem)
(#) hapro hozzászólása Jan 17, 2009 /
 
Ha árammérővel mérem az áramfelvételt, és beszorzom a pillanatnyi hálózati feszültséggel, akkor nem kapok pontos eredményt fogyasztásra?
(#) dbase válasza And hozzászólására (») Jan 17, 2009 /
 
Megmértem gyorsan a modemem és a ruterem.Modem 9v 320mA-t evett a 800ma-es tápból, a ruter meg 7,5v 350mA-t az 1500mA-a ból. De mivel a trafós, aminek a hatásfoka 75-85% mert kicsi még rá kell számítani kis töbletet.És nem satbilizált, terhelten nem tudom mennyi, de valószínűleg több a feszültség, mint ami rá van írva. Nyáron a készülékek, és a tápokon is lehet sütni rendesen tojást
(#) Norberto válasza hapro hozzászólására (») Jan 17, 2009 /
 
(#) And válasza wg_kezdo hozzászólására (») Jan 17, 2009 /
 
Jó, de akkor sem túl sportszerű dolog egyetlen erőmű teljesítményéhez hasonlítani az országos modemfogyasztást . Ha az aktuális összfogyasztáshoz viszonyítunk, annak csak elenyésző hányadát adja ez a tétel.
A teljesítménymérővel különbséget szeretnél mérni? Azt lehet, a baj csak annyi, hogy a legtöbb egyszerű mérőszerkezetnek már a felbontása is elég durva (1W), ami nem biztos, hogy kellő pontosságot nyújt, főleg akkor, ha a 'referencia' fogyasztó sem túl stabil. Tehát ilyen kis tartományban ezekkel szinte csak nagyságrendi méréseket lehet végezni.
dbase: ez még mindig csak alig több mint a negyede annak, amivel számoltál. Tehát rögtön spóroltunk 6..7MW-ot .
(#) hapro válasza Norberto hozzászólására (») Jan 17, 2009 /
 
Akkor magyarul ezzel a módszerrel úgy lehetne pontos értéket kapni, ha a cos fi értékét ismerném és azzal beszoroznám a kapott VA értéket, vagy lenne egy ilyen mérőm ami megmondja hogy milyen hatásos az adott játékos?
(#) Moderátor hozzászólása Jan 17, 2009
 
A téma címébe tettem egy elválasztó jelet, mert igen furán törte meg a szót a mező.
(#) Action2K válasza hapro hozzászólására (») Jan 17, 2009 /
 
Yes! :yes: Bár nem tőlem kérdezték. :hide:
(#) hapro válasza Action2K hozzászólására (») Jan 17, 2009 /
 
köszi
(#) fege válasza deguss hozzászólására (») Jan 17, 2009 /
 
Na még egy kérdés : ha elektronikus trafóval szeretném megoldani a tápellátást és a ledek álltal okozott terhelés nem éri el a trafón feltüntetett minimálértéket akkor a trafó (elektronikus) nem indul el ? Vagy mi fog történni ?
Következő: »»   4 / 14
Bejelentkezés

Belépés

Hirdetés
XDT.hu
Az oldalon sütiket használunk a helyes működéshez. Bővebb információt az adatvédelmi szabályzatban olvashatsz. Megértettem