Fórum témák

» Több friss téma
Fórum » Uniscan / Euroscan- Visa diagnosztikai illesztő
Lapozás: OK   17 / 19
(#) Sanyi74 válasza hggh hozzászólására (») Ápr 17, 2011 /
 
Az autón mérjél feszt nehogy a 12V-ot kösd a K vagy L vonalra és kisérletez elvileg bajt nem csinálhatsz ha felcseréled a K-L vonalat.

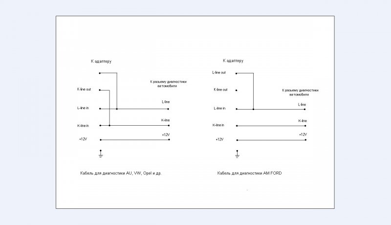
Kép 1.jpg
    
(#) hggh válasza Sanyi74 hozzászólására (») Ápr 18, 2011 /
 
17 K vonal 48 L vonal a 40 GND ezek közül valamelyikre megy 12v? Mert nem ir sehova a rajz
(#) wabash hozzászólása Ápr 29, 2011 /
 
Üdv Mindenkinek!
Segítséget szeretnék kérni. Egy Fiat 96-os 1.6-os Brava a kifaggatás tárgya 1AF-es ECU-val. Az eszköz egy saját építésű Uniscan AT90s2313-as EPROM-mal. A laptopom kicsit bizonytalannak érzem és nem vagyok benne biztos, hogy az interface hibája miatt nem csatlakozik. A kérdésem az lenne, hogy Veszprém környékén van-e valaki akinek működőképes összeállítása van és hajlandó segíteni kideríteni, hogy a laptop, az illesztő, vagy az ECU hibája miatt nem jutok előre.
Bármilyen segítséget szívesen fogadok!
Üdv!
(#) wabash válasza wabash hozzászólására (») Ápr 29, 2011 /
 
Bocsánat elírtam!
AT90S2313 microcontroller
(#) Sanyi74 válasza hggh hozzászólására (») Ápr 29, 2011 /
 
Szia!
Nem tudom melyiket épitetted meg de a +12-ot egy csipesszel az akkusaruról ad neki.
(#) bmotor60 válasza wabash hozzászólására (») Ápr 29, 2011 /
 
Szia! Az a helyzet,hogy ha vissza olvasol,akkor látni fogod hogy majdnem tuti biztos,hogy laptopról nem fog működni!
2com port kell neki,fizikailag pedig a legstabilabb,egy öreg p2 es asztali gép,laza win98,aztán szépen fog dolgozni!
(#) wabash válasza bmotor60 hozzászólására (») Máj 1, 2011 /
 
Szia!
Egy régi laptoppal+PCMCIA kártyával próbáltam, de semmi! Lehet, hogy a kártya sem volt az igazi. A következő természetesen egy asztali gép lesz ahogy említetted. Nagy reményeket fűzök hozzá mivel ezt a Fiatot az examiner-en kívül nem nagyon olvassa semmi. Üdv!
(#) bmotor60 válasza wabash hozzászólására (») Máj 1, 2011 /
 
A Fiatecuscan,+egy egyszerű KKL USB,interface+egy átalakitó a három lábú csatihoz,és mindent tudsz vele csinálni amit akarsz
(#) subway válasza bmotor60 hozzászólására (») Máj 1, 2011 /
 
moto inkább ne hitegesd, mert egyenlőre az fl előtti gépek nagy részét tényleg csak az uniscannel lehet olvasni. Nagyon kevés fl előtti van amit támogat az új fiatecuscan, és persze azokat is úgy támogatja, hogy vedd meg hozzá a licencet potom 50euroért. Amire ő gondolom nem akar költeni. Továbbá az ő autójában 200% hogy a diagcsatija olyan aminél mind a 3 szál ki van vezetve. És azoknál nem jó a fiatecuscan... Meg is nézheted, az IAF-es vezérlő nincs benne, mert annak kell az L vonal diagmódba kapcsoláshoz! Az Ecuscan Csak AZ IAW vezérlőt tudja... De azé ugyi nincs harag
(#) bmotor60 válasza subway hozzászólására (») Máj 1, 2011 /
 
Nincs harag dehogy,nem figyeltem hogy (1AF)

EGY MAPPÁBA KIBONTANI,AZTÁN DOLGOZIK!
(#) Hari1231 válasza bmotor60 hozzászólására (») Máj 1, 2011 /
 
Na néé csak miket rejtegetsz Te itt?!
Figyusz már!!! Ha már Fiatozunk, esetleg a FiatScan 3 verziot vagy a 2-es verzió nincs meg? Már nagyon régen keresem , de sehol nem sikerült még letöltenem.
(#) subway válasza bmotor60 hozzászólására (») Máj 1, 2011 /
 
Ugye tudod hogy ezt törölni fogják
De azért lementettem. Tesztelem majd a még fejlesztés alatt álló ketyerémmel...
(#) Hari1231 válasza Hari1231 hozzászólására (») Máj 1, 2011 /
 
.... na meg a FiCOM-ért is!
(#) Hari1231 válasza subway hozzászólására (») Máj 1, 2011 /
 
Na ja! Imádom ezt a nagy fegyelmet! Nem értem miért nem lehet kötetlenül beszélgetni, egymásnak tippeket adni?!
(#) bmotor60 válasza Hari1231 hozzászólására (») Máj 1, 2011 /
 
Na ezt halgassátok meg,tegnap a google keresésben valahol az ötvenedik oldal táján mit látok,letölthető fiatscan 3.0-
áááááá mondom lássuk,persze tömöritve,lehuzom,kibontáshoz jelszót kér,sebaj,txt file irja a linkeket-persze sex oldal tagként való regisztrálása,sebaj ennyit megér-oké,sexoldal tagként belépek ami az oldalon van első szó,az a kibontási jelszó,oké kibontom benne SORRY,MENJ VISSZA AZ ELSŐ OLDALRA.faxa!
nem adom fel
Hatvanadik oldal tájékán megint letölthető-ááááááá,letölt,kibont,3 exe file,crack setup,keygen,huuuuuuu mondom faxa ez kell nekem,exe fájlok futtatás után eltüntek a mappából,3 KAJAK TRÓJAI+FÉREG,virusirtót blokkolta,SPYBOOT KISZEDTE!!!VOLT HAJNAL FÉL ÖT MIRE VÉGEZTEMfizetős oldalon fennt van inkább fizetek valami share oldalnak
(#) bmotor60 válasza bmotor60 hozzászólására (») Máj 1, 2011 /
 
Itt az oldal képe amit KERÜLJETEK!
(#) subway válasza bmotor60 hozzászólására (») Máj 2, 2011 /
 
Nem emlékszel véletlenül, hogy az xpnél melyik regkulcsokat kell módosítani, hogy eltűnjenek a már nem használt, de betárolt comport driverek? Nem szeretném ilyen miatt újra húzni a gépemet, de ugyebár némelyik diagprogi csak com4ig megy el, én meg a kísérletezéseknek köszönhetően jobb esetben az új eszközt com7nek jegyzi, roszabb esetben már com15nek. Telített az összes, ugyebár állítani meg nem nagyon lehet. gondoltam eltüntetném őket, de nem találom a megfelelő kulcsot ami betárolja a szerencsétlen vinf*snál...
(#) bmotor60 válasza subway hozzászólására (») Máj 2, 2011 /
 
Az nem baj ha telitett,akkor is át lehet irni,abból probléma nem származik com portnál!
(#) wabash válasza subway hozzászólására (») Máj 2, 2011 /
 
Sajnos így van ahogy mondod. A fl előtti 1.6-oshoz csak a légzsák vezérlő kiolvasására van lehetőség az ecuscan-el. Megépítettem a K-line RS232-est csak éppen azt nem vettem figyelembe, hogy mit tud a program. Megvettem a Fiat diag. kábelt is ha már egyszer belekezdtem. Már csak az uniscan-ben bízok, habár találtam egy német oldalt ami érdekes lehet. KKL-USB, KL-RS232 és egyebek. blafusel.de
(#) b0077 válasza wabash hozzászólására (») Máj 2, 2011 /
 
Szia!
A fiat diag. kábellel mi a helyzet? Azzal működik a fiat ecu scan? Én próbáltam már nem egy épített és gyári diagnosztikai adaptert, de az fl előtti légzsákokat nem vitte, csak az fl utániakat, hiába támogatta az ecu scan.
(#) bmotor60 válasza b0077 hozzászólására (») Máj 3, 2011 /
 
Sziasztok,áruljátok el nekünk,hogy mit értetek a fiat.diag kábel alatt,mire gondoltok??? Melyik kábelről van szó?
(#) b0077 válasza bmotor60 hozzászólására (») Máj 3, 2011 /
 
Én wabashtól idéztem, gondolom egy VAG-COM KKL USB -s interface-ről van szó, ami már a fiat, alfa, lancia-kat is viszi ,nem csak úgy mint mint régebben pl vw, skoda.
(#) wabash válasza bmotor60 hozzászólására (») Máj 4, 2011 /
 
Én a Fiat diagnosztikai kábel alatt csak magát az átalakító kábelt értettem, ami Fiat-OBDII átalakítást tesz lehetővé. Nekem csak egy k-line interface-em van, amivel nem tudtam szóra bírni a 96-os Brava motorvezérlőjét a ECUScan-el, mivel nem támogatja a program ezt a motorvezérlőt, ráadásul csak a K-line nem is elég hozzá. A légzsák kiolvasását (amit már támogat a program), már meg se próbáltam ezzel az interface-el. Talán egy KKL vagy egy KL if.-el meg lehetne próbálni a légzsákot elérni. A motorvezérlőhöz viszont az UNISCAN-Visa összeállítás, vagy még esetleg egy KKL-Finalist összeállítás. Előbbi az valószínűbb, utóbbi már nem biztos.
(#) wabash hozzászólása Máj 4, 2011 /
 
Szerintetek DOS alatt is működő 16bites PCMCIA-2xRS232-es kártyáért a 15000Ft sok? Természetesen uniscan-hez.
(#) bmotor60 válasza wabash hozzászólására (») Máj 4, 2011 /
 
Én szerintem nem sok!
De figyeljetek oda mert nem minden laptop on fog müködni!!!
Ugyanis-olyan laptop kell aminek a gyártói oldaláról le lehet tölteni( dosos PCMCIA aljzat drivert) mert hát a dosból maga az aljzat sem müködik!!! Hiába kellene kezelnie biosból,mégsem teszi a laptopok többsége!
Tehát hiába van jó kártya,nem fog müködni.

ibm600-600e,ibm240 240x,compaq e500,régi toshiba4070-4070cds,compaq armada bármelyik

ezek gyártói oldalán vannak
SOK KITARTÁST ÉS TÜRELMET KIVÁNOK!
Aztán irjál ám,ne fogd vissza magad(a kudarcokról is)!
(#) wabash válasza bmotor60 hozzászólására (») Máj 21, 2011 /
 
Megérkezett a 16bit-es kártya Lengyelországból. A laptop egy Toshiba Satellite Pro 480CDT és természetesen elsőre nem akart működni. Win98 volt rajta először, amivel nem tudtam DOS alatt felrakni mert nem látta a PCMCIA aljzatot. Win95 alatt viszont a DOS felismerte és fel is telepítettem. A port teszter programmal vizsgáltam eddig és úgy tűnik működik így már mind három soros port. Gyötrelmes két nap volt de megérte. Mostmár csak az épített UNISCAN működjön!
(#) bmotor60 válasza wabash hozzászólására (») Máj 21, 2011 /
 
Akkor viszem az enyémet is!!!
Kitartás,én itt vagyok!
(#) wabash válasza bmotor60 hozzászólására (») Máj 26, 2011 /
 
Na végre minden összejött! A laptop kezeli a kártyát, a program felismeri az épített interface-en keresztül az ECU-t, de mégsem felhőtlen az öröm. Beállítom a magyar nyelvet és mégis olyan érthetetlen dolgokat ír ki, hogy használhatatlan. A fő menüpontok magyarul vannak, de a hibáknál például kiír valamit, amit nem lehet értelmezni. Na meg kétszer kell bezárni a programot, hogy visszalépjen a DOS-ba, pedig csak egyszer nyitottam meg. Tudja esetleg valaki, hogy mi lehet a baj? Vagy esetleg egy tutira működő programot honnan lehetne beszerezni?
(#) subway válasza wabash hozzászólására (») Máj 26, 2011 /
 
ugyan ez a program nekem is kijön egy sima két com portos gépnél is... lehet maradni kő az englishnél...
(#) wabash válasza subway hozzászólására (») Máj 26, 2011 /
 
Próbáltam angol nyelven is, de akkor is értelmetlen dolgokat ír. Valami nem kafa
Következő: »»   17 / 19
Bejelentkezés

Belépés

Hirdetés
XDT.hu
Az oldalon sütiket használunk a helyes működéshez. Bővebb információt az adatvédelmi szabályzatban olvashatsz. Megértettem