Fórum témák

» Több friss téma
Fórum » Kapcsolóüzemű táp 230V-ról
 
Témaindító: cimopata, idő: Szept 13, 2006
Témakörök:
Lapozás: OK   554 / 788
(#) proli007 válasza Mircsof hozzászólására (») Okt 3, 2015 /
 
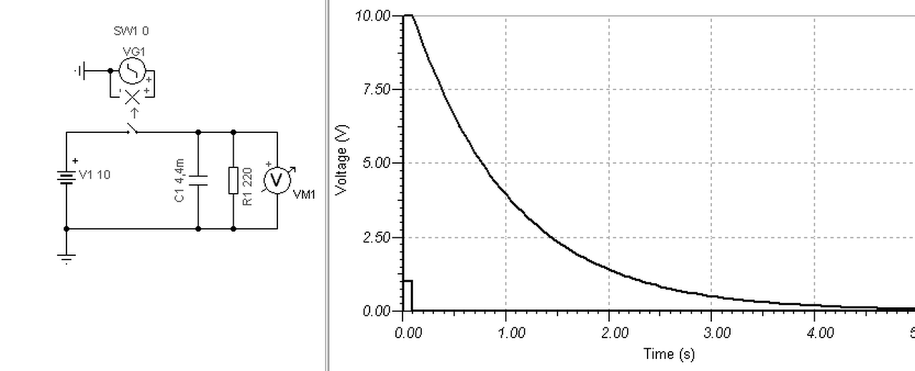
Hello! Ha egy kondi töltése vagy kisütése egy ellenálláson keresztül, akkor a Tau=R*C időállandó alapképletével lehet számítani. A "gond" az, hogy ez az idő a kisütéskor a feszültség 37%-ra történő csökkenésére vonatkozik. Viszont a kisütés folyamata az 1/x függvény szerint zajlik (mert a csökkenő feszültség miatt a kisütő áram egyre csökken és csökken). Így a nullát gyakorlatilag soha nem éri el. Hatékonyabban kisütni áramgenerátorra lehet, azt pedig a Q=C*U képlettel lehet számolni, ahol a Q=I*t. Ezt átrendezve megkapod a szükséges áramot az időhöz. Kellemetlen benne az, hogy az áramgenerátornak is kell táp addig a működéséhez. Viszont ez lineárisan tudja kisütni, így amikor a táp üzemel, és a kondiban nagy a feszültség, akkor sem lesz csillagászati az terhelőáram..
A hozzászólás módosítva: Okt 3, 2015

DIS-RC.png
    
(#) Mircsof válasza lorylaci hozzászólására (») Okt 3, 2015 /
 
A 2*2200 azért van ott mivel a rákötött fogyasztó 2A áramot kér. Lehet valóban felesleges mivel a kapcsi táp igen hama újból feltölti, de már mind egy odakerült építéskor.
Kicsit leírom bővebben problémámat. Lehet nem is jo nyomon indultam el.
Tehát van a kapcsitáp ami egy forrasztó állomást hajt. A kikapcsolás után az állomás kijelzője villog 6-7 másodpercig egyre galványabban. Mindez azóta mióta kapcsitápot kapott. Gondolom azért, mert a primer még párszor tölt valamennyit a szekunder oldalon lévő elkokba. Az ellenállással azt akartam elérni, hogy a táp hamarább kifulladjon. De most hogy ezt leírtam lehet inkább a primer oldalra kellene? Legalább már ezt tudom hogy kell kiszámolni már igy is nyertem!
A hozzászólás módosítva: Okt 3, 2015
(#) lorylaci válasza Mircsof hozzászólására (») Okt 3, 2015 /
 
Primeren mennyi puffer van?
Ha forrasztót hajt, akkor a hőtehetetlenség miatt nem érdekli, hogy hullámos a fesz. Akár a primeren a puffer el is hagyható (ekkor persze a szekunder átlagfeszültség csökken), eredetileg is 24VAC fűti a pákát, nem?
(#) Mircsof válasza lorylaci hozzászólására (») Okt 3, 2015 /
 
220µF 2* Pc táp elrendezésben ellenállással.
Igen AC fűtené, de itt DC fűti, mivel nem mertem rákötni a pákát a freki miatt.
Úgy érted, hogy a primerről a 2 puffer és a hozzájut tartozó ellenállás is, és egy másik kisebb kondi is megteszi?
Nem utánégető a csatolt terv veszelyes távolságok nem megfelelőek!
A hozzászólás módosítva: Okt 3, 2015
(#) Ge Lee válasza Mircsof hozzászólására (») Okt 4, 2015 /
 
Nem mágneseződik a pákahegy a DC-től? A nagyfrekivel ugyanúgy menni kell a fűtőszálnak. De ha már DC és pákát hajt, akkor nem kell a szekunderre puffer sem, esetleg egy fóliakondi.
(#) Mircsof válasza Ge Lee hozzászólására (») Okt 4, 2015 /
 
Idézet:
„Nem mágneseződik a pákahegy a DC-től?”

De igen volt rá példa, hogy egy egy led stb felvillant, de mivel nem értek a kapcsolóüzemhez léggé így maradt ilyen. Annyival próbáltam hozzájárulni a dolgokhoz, hogy földeltem a háka végét akkor lényegesen jobb lett, de nem szűnt meg telhessen a jelenség.
De ha úgy gondolod hogy menne a csupasz szekunderről is és nem okozna kárt akkor kiveszem a puffert és a tranzisztort, ami a triac helyere lett rakva, és bekötöm úgy.
Ez itt lassan off, remélem nem néznek csúnyán a moderátorok.
(#) Ge Lee válasza Mircsof hozzászólására (») Okt 4, 2015 /
 
Nem felvillan, hanem vonz magához mindent, még a csavart is. Azon a földelés nem segít. Nem tudom milyen a szabályozó vége. Ha egy tranyó vagy FET ami elég a DC kapcsolgatásához akkor azt nem hajthatod AC-val. Ha optotriak-triak akkor igen, azért is van benne.
A fűtőszálnak tökmindegy mivel fűtöd, de a hegynek nem (felmágneseződik) illetve a szabályozónak sem az előbb leírtak miatt. És ha hosszú életet vársz tőle akkor ne fűtsd 26V-al inkább csak 22-vel a 24V-os pákát.
(#) Trivium93 válasza V1rusH hozzászólására (») Okt 4, 2015 /
 
Egyébként 50kHz környékén 100%, hogy 27+27V DC-t megkapod
Építeni akarsz egy jó tápot, akkor aktív PFC-t építesz elé és akkor nagyon stabil lesz a kimenő feszültség. Én most tervezem bele, ha beleteszem akkor teljesítmény is növekedhet. Általában a primer kör korlátozza a kijövő teljesítményt meg hogy szoros vagy laza kapcsolásban van.
(#) Mircsof válasza Ge Lee hozzászólására (») Okt 4, 2015 /
 
Idézet:
„hanem vonz magához mindent, még a csavart is”

Nem vonz semmit, csak valami úton módon néha "feltölt egy egy áramkört" Pl: ledeket ha forrasztok led egyik oldalán a kezem másikon a páka akkor elkezd világítani a led. Még sima trafóval volt hajtva AC-val addig ilyen nem történt.
A páka kapcsolását alapból triak végezte, egy optotriackal kézen fogva. Mikor cseréltem a tápot DC-re akkor ezt lecseréltem tranyora, mert a triak nem kapcsolt ki, mikor elérte a beállított hőfokot a páka.
Viszont most hogy említetted, hogy a páka és a triac is tolerálja a kapcsi táp csupasz szekunder feszültségét így visszaszereltem a triakos meghajtást az állomásba, már csak a tápról kell levenni az egyenirányítást és a puffert.
Idézet:
„ha hosszú életet vársz tőle akkor ne fűtsd 26V-al inkább csak 22-vel a 24V-os pákát.”

A páka nem kap 26V-ot folyamatosan, mert terhelve visszaesik 24V-ra a feszültség.
Így meg hogy még a feszültség is leesik még inkább biztonságban lesz, viszont nem tudom, így mennyivel fog lassabban felfűteni. Még a végén trafó tekercselés lesz a vége
(#) Transztyuszeres válasza Transztyuszeres hozzászólására (») Okt 4, 2015 /
 
Marhaságot írtam. Mindenképp kell a kondi...
A hozzászólás módosítva: Okt 4, 2015
(#) rukh válasza Ge Lee hozzászólására (») Okt 4, 2015 /
 
Hi Gee Lee!

Lefotóztam a belsejét.

A házon lévő címke szerinti kimenetek/terhelhetőségek: +5V/25A, +12V/10A, -12V/2A, +24V/3A.

A tesztelést 12V-os 5/21 W autó izzóval végeztem, ekkor a +5V-os kimenetre egy 100 ohmos ellenállást tettem terhelésként.
A +5V-os kimenet terhelhető, a +12V-os kb. fél amperig, utána rövidzár-bekapcsol-rövidzár-bekapcsol .... (a NYÁK bal alsó sarkán lévő LED kialszik, ventilátor leáll, egy másodperc múlva világít, venti megy, majd újra kialszik, leáll, ...), ha leveszem a terhelést újra rendben megy.
A táp Sunpower SPU-230-03 típusú, az előéletét nem ismerem, használtan vettem.
Milyen lehetségek okai lehetnek a jelenségnek?

Üdv,
Rukh
(#) Mircsof válasza Ge Lee hozzászólására (») Okt 4, 2015 /
 
Na igen nincs szerencsém megint igaz lassult a felfűtés sebessége, de nem vészes teljesen jó lenne, viszont a triak nem kapcsolja ki a pákát! A képen mellékeltem, hogy hogy kötöttem be, gondolom a trafó tekerése miatt nem jó így vagy tévedek?
A hozzászólás módosítva: Okt 4, 2015

táp.JPG
    
(#) Ge Lee válasza rukh hozzászólására (») Okt 4, 2015 /
 
Ez alapján meg nem mondom hogy milyen vezérlő van benne. Találtam egy doksit hasonló tápról, abban azt írja hogy minimum 1A-el terhelni kell, de érdekes módon a magasabb feszültségű ágat. Meg kellene nézni a szekunder diódákat amik a kép jobb alsó sarkában vannak azon az L alakú bordán.
(#) Ge Lee válasza Mircsof hozzászólására (») Okt 4, 2015 /
 
A kép szerint a triak a dióda utáni feszt kapja, azaz DC-t.
(#) Mircsof válasza Ge Lee hozzászólására (») Okt 4, 2015 /
 
Ott nincs dióda (nincsenek furatok) csak azt a kék pedet raktam oda, hogy látható legyen, hogy hol kötöttem át.
(#) rukh válasza Ge Lee hozzászólására (») Okt 4, 2015 /
 
Kösz, ellenőrizni fogom.

Rukh
(#) Mircsof válasza Ge Lee hozzászólására (») Okt 4, 2015 /
 
Úgy néz ki, hogy megszívtam! Mivel ha magasabb hőmérsékletű pákát kötök rá az állomásra (tehát a vezérlés nem kapcsolja be a triacot) akkor is fűti a pákát, mintha csak simán átfolyna rajta a feszültség/áram.
Szerintem a nagy freki a baja szerencsétlennek, mert mihelyst átrakom egy lemezes trafóra azonnal kikapcsol mihelyst kell neki, és nem fűt tovább. Egyébként rolla van szó BT137
Kár hogy nincs megfelelő teljesítményű lemezes trafóm, mert akkor csak bele kéne raknom és már kész is, így viszont vissza kell szerelni az egészet az eredeti állapotára.
(#) hapro hozzászólása Okt 4, 2015 /
 
Szükségem lenne egy olyan tápra amivel 1,2A áramfelvételű LED szalagot üzemeltetnék. Gondoltam a kapcsolóüzemű táp szóba jöhet, azért, mert a kritérium, az, hogy a nyák maximum 2cm széles lehet, a hossza meg akár elérheti az 1m-t is. És minél laposabb kéne legyen. Így a trafó kilőve. Tudnátok ajánlani valami kezdő kapcsolást, amivel a 12V-ot tudnám neki előállítani? Az se baj ha egyszerű... Nincs szükség bele semmi hókuszpókuszra, csak 12V-ot tudjon, és slussz. A LED ek áramkorlátját a LED szalagon lévő ellenállások megoldják.
(#) dara válasza hapro hozzászólására (») Okt 4, 2015 /
 
Nem baj ha egyszerű?Senki nem tudja hogy ez neked mit jelent.A leírtak alapján,a kicsi sárgákat keresd az eladó oldalakon.
(#) rascal válasza hapro hozzászólására (») Okt 4, 2015 /
 
Ha nem kell leválasztás a 230-ról, akkor talán egy LNK306-ossal lemehetsz kb 40 V-ra (kb 300mA-t tud) és onnan valami kisfeszültségű kapcsolóüzemű stabkockával megcsinálhatod a 12V 1.2A-t. Valószínű hogy, van olyan IC ami egyből tudja ezt az áramot, de nekem nem volt hozzá szerencsém. Az adatlapokon van példa kapcsolás, én azokat hoznám össze.
mod.: Távolabbról nem mehet oda a 12V? Pl. egy dugasztáp kizárva?
A hozzászólás módosítva: Okt 4, 2015
(#) rascal válasza hapro hozzászólására (») Okt 5, 2015 /
 
Még egy ötlet: lehet úgy is, mint ahogy egy lágyindító kisfeszültségű reléjét szokták meghajtani 230V-ról. Bővebben: Link. Át kell számolni az osztót 12V-ra, esetleg kicsit nagyobbra és akkor még egy stabkockával kiegészíteni. A lágyindítós topickaban számolgattunk ilyeneket ezen az oldalon.
A hozzászólás módosítva: Okt 5, 2015
(#) lorylaci válasza hapro hozzászólására (») Okt 5, 2015 /
 
Sajnos ebbe a méretbe az ATX táp standby trafója nem fér be, így én a vásárlásra buzdítanálak:
Ezt a típust én is LED-szalagokra használom, pár métert elvisz, sza...üggően
(#) hapro hozzászólása Okt 5, 2015 /
 
Köszönöm! Valószínű vásárlás lesz a vége, és a Szalagot meg lerövidítem, hogy ne egye meg azt az 1-1,2A-t.
A dugasztáp jutott nekem is elsőre eszembe, de oda nem kivitelezhető ahova kellene, viszont az is megfordult a fejemben, hogy szétkapok egy kapcsolóüzemű keskeny dugasztápot, és azt barkácsolom oda fel. Vannak egész kicsik is amik tudnak 1A-t.
(#) Ge Lee válasza hapro hozzászólására (») Okt 5, 2015 /
 
Nem írtad hogy szükséges-e leválasztani, mert ha nem akkor a kondis előtét is megfelel.
(#) hapro válasza Ge Lee hozzászólására (») Okt 5, 2015 /
 
Nincs szükségem a leválasztásra, egy darab led szalagit szeretnék működtetni csak róla.
(#) _BiG_ válasza Ge Lee hozzászólására (») Okt 5, 2015 /
 
Azért jó figyelembe venni, hogy kb 1 μF kell 70 mA áramhoz. Itt meg 1-1,5 A-ről van szó... Mindez a megfelelő üzemi feszültségű és váltóáramú igénybevételre tervezett kondenzátorokkal nem lesz pici...
(#) (Felhasználó 46585) válasza _BiG_ hozzászólására (») Okt 5, 2015 /
 
Azért meg lehet csinálni, kell bele jó néhány 470nF/400V-os fűrészelt, Siemens licence kondi, ez 15 mm-be befér, hosszában meg van hely. Azt azért tudni kell, hogy illetlenül nagy kapacitív meddőt fogyaszt a hálózatból.
(#) samu1000 válasza emmzolee hozzászólására (») Okt 6, 2015 /
 
Igaz régi a hozzászólásod, de a legjobb humor !!!!
(#) emmzolee válasza samu1000 hozzászólására (») Okt 7, 2015 /
 
igaz ami igaz. Nem igaz?
(#) ha9pi.feri hozzászólása Okt 11, 2015 /
 
Üdv! Van egy AA13181 típusú tápegységem, rajzot nem találok hozzá. A vezérlő ic-jére csak ennyi van írva: 0600 az alatta lévő sorba: 9249J. Nem találkozott valaki ilyennel?
Következő: »»   554 / 788
Bejelentkezés

Belépés

Hirdetés
XDT.hu
Az oldalon sütiket használunk a helyes működéshez. Bővebb információt az adatvédelmi szabályzatban olvashatsz. Megértettem