Fórum témák

» Több friss téma
Fórum » Fotoellenállásos fénymérő
 
Témaindító: geri12, idő: Jún 26, 2011
Témakörök:
Lapozás: OK   1 / 2
(#) geri12 hozzászólása Jún 26, 2011 /
 
Üdv mindnenkinek!

Van egy LDR-em, ami 0 lux-nál, azaz sötétben 10K, 20000 lux-nál, azaz max fényerőnél pedig 200R alatti.

A gondom a következő: Az LDR-t a napfény változás figyelésére használnám. Az a próbléma hogy tűző nap és a nap eltakarása közt csak néhányszor 10R a különbség. Van valakinek ötlete hogy milyen elektronikai megoldással tudnám megoldani hogy egy ilyen kis fényváltozásra is legalább 500R-1K-s különbség alakuljon ki? Az erősítős feszültségkimeneti szint változás sajna nem jó megoldás nekem. Mindenképp ellenállásváltozásra van szükségem.

Minden ötletet, segítséget szívesen fogadok. Köszi! Gergő
(#) kaqkk válasza geri12 hozzászólására (») Jún 26, 2011 /
 
Itt valami ellentmondás van ! 10k -és 200r közt azért nem néhányszor 10 ohm a különbség . Ekkora ellenállás változást
ha egy hídba teszed nyugodtan tudod mérni akár egy 20v ra skálázott feszmérővel is .
(#) kokozo válasza geri12 hozzászólására (») Jún 26, 2011 /
 
Szia! mi van akkor ha félig letakarod? Mert akkor alapból sokkal nagyobb lesz az ellenállása és lehet hogy az már neked jó lenne..
(#) geri12 válasza kaqkk hozzászólására (») Jún 26, 2011 /
 
Persze tudom... Érthetőbben! Én nem akarom megvárni hogy alkonyat legyen. Nekem arra van szükségem hogy tűző nap és felhős idő között mérjen, de ott az ellenállásváltozás szélesebb körben változon. Jelenleg csak 100R a max ellenállásváltozás napos és felhős idő között... Ez a lényeg hogy ezt kéne megnyújtani valahogy.
(#) geri12 válasza kokozo hozzászólására (») Jún 26, 2011 /
 
adatlap szerint 0 lux az kb. 10K"

Amugy ez egy diffuzoros Conrádban vásárolt fénymérő. Tehát időjárásálló kivitelben van csomagolva. VT92N2 LDR van benne.

Nekem a nagy fényerő a lényeg és hogy ott jobban változon az ellenállás. Tehát szabadban napsütésben...
(#) kokozo válasza geri12 hozzászólására (») Jún 26, 2011 /
 
Igen..Tehát ha félig letakarod akkor az ellenállása 500 Ω körül lesz és mivel nem tudod teljesen megvilágítani sose ( mert ugye le van takarva az érzékelő egy része) ezért a letakarás mértékével be tudnád állítani a kívánt ellenállást a maximális megvilágításkor.
(#) geri12 válasza kokozo hozzászólására (») Jún 26, 2011 /
 
Hmmm. Erre nem is gondoltam eddig. Holnap kipróbálom. Köszi! Jelzek!
(#) idlob válasza geri12 hozzászólására (») Jún 27, 2011 /
 
Idézet:
„Az erősítős feszültségkimeneti szint változás sajna nem jó megoldás nekem. Mindenképp ellenállásváltozásra van szükségem.”


Egy kicsit azért mesélhetnél a fogadó áramkörről.
(#) geri12 válasza idlob hozzászólására (») Jún 27, 2011 /
 
A fogadó áramkör egy időjárás állomás hőmérő szenzora, amit PC-n is lehet követni. A hőérzékelő helyett van benne az LDR. A fény hatására nem valós hőmérsékletváltozás van (azért nem valós mivel már nem hőérzékelő van benne...), és szoftveresen tudom átkonvertálni a hőmérsékletértéket. Így kialakul egy grafikon a fényváltozásról. Ezért van szükségem nagyobb ellenállásváltozásra hogy a NEM VALOS hőmérsékletkiírás ne csak tízedeket változzon a kis ellenállás változás miatt.

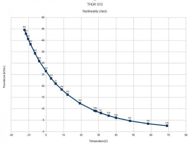
Mellékeltem a gyári szenzor ellenállásváltozásra kiírt hőmérsékletértékét. Látszik a karakterisztikán hogy 100-200R különbség nem sokat számít. Ezért kell Kohmos változás. Amugy tartok attól hogy a letakarás nem oldja meg a gondomat, de próba...
(#) idlob válasza geri12 hozzászólására (») Jún 27, 2011 /
 
Itt a dinamika tartománnyal van gond, amit szerintem a letakarás nem változtat, de ebben elképzelhető, hogy tévedek!

Hibrid megoldás lenne, hogy a detektor jelét digitalizálod, aztán vagy gyári vezérelhető ellenállással, vagy létraháló + analóg kapcsoló hálózattal kialakítani a kívánt ellenállást. (De akkor már inkább a PC-re kötni az ADC kiemnetét).
Vagy U/f, I/f konverterből PWM jellel hajtani egy analóg kapcsolót.
Ezek mind bonyik, és a hőmérő AD konverterétől erősen függnek.
Viszont, mivel az eredeti detektor termisztor szerű volt, valószínűleg egy osztó tagját képezte, ami AD konverterre csatlakozott. Vissza kéne tenni az eredeti szenzort, az áramkör GND-jéhez hozzámérni a bemenő feszültségtartományt, aztán arra a tartományra készíteni egy kompresszor/expander áramkört, pl. úgy, hogy egy műveleti erősítő visszacsatoló körébe teszed az LDR-t.
Vagy egy FET-et használni változtatható ellenállásként, de annak is megvannak a maga korlátai, előbb mindenképp fel kéne deríteni a bemenő fokozatot.
(#) geri12 válasza idlob hozzászólására (») Jún 27, 2011 /
 
Oké!

Először akkor vissza fogom tenni az eredeti szenzort és megnézem.

Köszi a tippeket!
(#) szucsip hozzászólása Jún 27, 2011 /
 
Üdv!

Ha a dinamika tartomány a gond, akkor csinálj előbb egy R-->U konvertert, aztán a kimenetéből vond ki azt az értéket, ami a legkisebb fényerőhöz tartozó U feszültséget eredményezi. Így már is 0V -tól ad ki feszültséget, ami a felhős időhöz van igazítva, és a napos időnél pedig kicsivel 0V fölött leszel. De ez neked már jó, mert a végére teszel még 1 erősítőt, és akkora erősítést állítasz be neki, amekkorát szeretnél.

Természetesen az R-->U konvertered végére tehetsz egy egyenirányítót, hogy ne legyél soha minuszba.
(#) geri12 válasza szucsip hozzászólására (») Jún 27, 2011 /
 
Tetszik az ötlet!

Na tehát így a végére arra gondoltam hogy műveleti erősítővel lesz egy feszültségértékem, majd azt a feszültségértéket rávezetem egy FET-re, ami feszültség-vezérelt ellenállást alkot. Tehát evvel a párosítással oldanám meg.
(#) proli007 válasza geri12 hozzászólására (») Jún 27, 2011 /
 
Hello!
Ha nem ragaszkodsz a a CDS ellenálláshoz, akkor egy BPW34-et javasolnák. Ez által szolgáltatott áram, közel "lineárisan" arányos a megvilágítással. Egy egyszerű műveleti erősítővel (I/U konverterrel) feszültséggé alakíthatod.
üdv! proli007
(#) szucsip válasza geri12 hozzászólására (») Jún 27, 2011 /
 
Üdv!

A feszültségvezérelt ellenállással csak óvatosan, mert a FET-ek nem mindig szeretnek úgy működni, ahogy az az álmos könyvben meg van írva.
(#) nagy_david1 hozzászólása Jún 27, 2011 /
 
Üdv!

Idézet:
„Jelenleg csak 100R a max ellenállásváltozás napos és felhős idő között”

Most erre nekem sem jut eszembe elektronikus egyszerű megoldás ezért én is rá kérdek. Mi elven lehet megvalósítani azt, hogy ha egy nagy intervallumból csak egy kicsit szeretnék hasznosítani? Tegyük fel, hogy 100k ohm -os tartományban változik valami de én az 50-51k ohm-os tartományt szeretném jobban feldolgozni. Vagy feszeültségváltozásnál én csak pl. 10.5 és 10.6 volt között szeretném felerősíteni a változást. Gyors változásoknál nem lenne baj mert a konstans feszültséget kondenzátorral le lehetne választani. De tegyük fel a változás lassú. Csak az jut eszembe, hogy egy másik feszültséggenerátorral levágjam a 10.5V-ot. Gondolom erre van valami értelmesebb, beváltabb megoldás is. Elnézést ha kicsit nehezen érthető de remélem a lényeget sikerül leszűrni.
(#) szucsip válasza nagy_david1 hozzászólására (») Jún 27, 2011 /
 
Igen, így van. Csinálsz egy fesz.generátort, aztán annak a stabil feszültségét kivonod a tartomány legkisebb hasznos értékéből.
Én ezt javasoltam a fénymérésnél is.

Egy áramgenerátorra kötni a fényérzékelőt, abból lesz egy feszültség, és azt a feszültséget felerősíteni, majd úgy kiértékelni. Egyszerűen lehetne még kalibrálni is. A linearitás már más kérdés, de gondolom nem kell halálosan pontos mérés.
(#) Hp41C válasza nagy_david1 hozzászólására (») Jún 28, 2011 /
 
Szia!
Wheatstone híd és differenciál erősítő...
(#) szucsip válasza Hp41C hozzászólására (») Jún 28, 2011 /
 
A wheatstone hidat nem javaslom, nem lineáris.
(#) szucsip hozzászólása Jún 30, 2011 /
 
Csak én vagyok kíváncsi a dolog megoldására...?
(#) otto54 válasza szucsip hozzászólására (») Jún 30, 2011 /
 
Szia!

Valószínűleg közben már megoldódott a probléma!

Nekem azonban van egy kérésem,kellene egy link a FW150 fotó ellenállás adatlapjára.
Valószínűleg nem látom a fáktól az erdőt,de hirtelen nem találtam adatlapot,annak ellenére,hogy több kereskedő is árulja ezt a terméket.

Üdv.
Ottó
(#) szucsip válasza otto54 hozzászólására (») Jún 30, 2011 /
 
Tessék:

http://www.soselectronic.com.ua/a_info/kat2010_eng/e07.pdf
http://www.produktinfo.conrad.com/datenblaetter/175000-199999/18354...ND.pdf

Utóbbi link innen van: Bővebben: innen

Remélem nem írtam butaságot

Amúgy a fórum etikett szerint illendő lenne közölni a megoldást, vagy az elakadás okát. Szerintem nem oldódott még meg a fénymérés.
(#) otto54 válasza szucsip hozzászólására (») Jún 30, 2011 /
 
Szia!

Köszönöm az infót!
Közben kicsit utána néztem a témának,így már egyértelmű számomra,hogy klasszikus jelleggörbét nem adnak meg.

Üdv. Ottó
(#) Hp41C válasza szucsip hozzászólására (») Júl 5, 2011 /
 
Lehet, hogy nemlineáris, de a legpontosabb mérőhidak mégis hídkapcsolásúak. Igaz nem mérik a híd feszültség különbségét, hanem kiegyenlítik a hidat. A kiegyenlítés végén, amikor a feszültség különbség közel 0, kiszámolják a mért jellemzőt.
(#) Tom-ee hozzászólása Jan 14, 2018 /
 
Üdv.
Egy kis segítséget szeretnék kérni... 2 évvel ez előtt a házban található majdnem összes izzószálas fényforrást LED-esre cseréltem. A folyamat előtt egy ME-25830 típusú fénymérővel különböző méréseket végeztem és az adatokat felírtam. Ennek egyrészt az volt az oka, hogy a csere után lehetőség szerint ne legyen gyengébb a megvilágítás, mint előtte, másrészt azt olvastam, hogy idővel a LED-es fényforrások "teljesítménye" csökken. Ma szerettem volna újra mérni a folyamatot, de elakadtam. A mérő folyamatosan negatív értékeket mutat. (csak akkor megy át pozitívba, ha nagyon közel teszem a lámpához a foto detektort, de tudom, hogy annó nem így mértem) Mivel állítási lehetőség nincs rajta (csak a méréstartomány választó gomb, de persze ez sem oldotta meg a problémát) ezért nem igazán tudom, mi lehet a gond. (új elemmel is kipróbáltam, ugyanaz a jelenség) Van valakinek ötlete?
Előre is köszönöm!
(#) Gafly válasza Tom-ee hozzászólására (») Jan 14, 2018 /
 
Idézet:
„A mérő folyamatosan negatív értékeket mutat.”

Tehát amikor felkapcsolod a lámpát, akkor sötétebb?
Hacsak nem ezzel méred.
A hozzászólás módosítva: Jan 14, 2018
(#) ferci válasza Tom-ee hozzászólására (») Jan 14, 2018 /
 
A beírásodból nem derül ki egyértelműen, hogy a csere után rögtön mértél-e a műszereddel és mit tapasztaltál akkor.
Próbálj most egy összehasonlítást tenni hasonló teljesítményű, maradék hagyományos izzó és egy ledes között, mit tapasztalsz. Nehogy a különböző főbb hullámhossz becsapjon.
(#) Tom-ee válasza Gafly hozzászólására (») Jan 14, 2018 /
 
Ezzel a típussal mérem... (vagy nem tudom, mire vonatkozott a link...)
(#) Tom-ee válasza ferci hozzászólására (») Jan 14, 2018 /
 
Jogos. A mérést elvégeztem a csere után is, közel azonos eredményeket kaptam, mint a hagyományos izzókkal.
Egy helyesbítés: negatív értéket mutat, ha ugyanoda teszem a műszert, ahova 2 évvel ez előtt. Az értékek akkor mennek át pozitívba, ha közelítem a fényforráshoz, tehát olyan, mintha "el lenne tolódva a mérési tartomány"... (már ha ennek van bármi értelme) Pontosan azért, hogy a mérést ugyanúgy el lehessen végezni és ne legyen eltérés, feljegyeztem, hogy hova tettem annó az érzékelőt és milyen körülmények voltak adottak. Ezt igyekeztem most is ugyanígy csinálni.
A hozzászólás módosítva: Jan 14, 2018
(#) ferci válasza Tom-ee hozzászólására (») Jan 14, 2018 /
 
Akkor már csak az van hátra, hogy most mit mutat egy hasonló izzóval.
Következő: »»   1 / 2
Bejelentkezés

Belépés

Hirdetés
XDT.hu
Az oldalon sütiket használunk a helyes működéshez. Bővebb információt az adatvédelmi szabályzatban olvashatsz. Megértettem