Fórum témák
» Több friss téma |
Fórum » Házi feladat elmélet - tételek
Akkor rossz számokat mondott volna a tanár?
Ha fejből mondta akkor lehet hogy elszámolta magát!
Akkor beírom ezt eredménynek, hogy nem lehet. Köszönöm a segítséget. Már tudom, miért nem akartak kijönni az eredmények.
Az Uc0 nem a kollektor potenciálja? És akkor az U(RC)=15-9 és az U(E) pedig 2V
Az U(B)=I(c)/béta az U(B)=Ue+U(BE) és akkor már csak az a kérdés hogy az I0 R1 vagy R2-őn folyik (nehogy egyszerű legyen ez minden könyvben máshogy van jelölve). Mert az Ur1 ugye 15-2,7 az Ur2=2,7V és ezeket kell a megfelelő árammal beszorozni. Ha az I0 az R1 árama akkor R1=12,3/10Ib de ha az R2 árama akkor R1=12,3/11Ib. De azért ne vedd biztosnak amit írtam, ezt most csak így fejből gyorsan. Ha van valami hiba javítsatok ki. A hozzászólás módosítva: Dec 12, 2012
Ezért lenne jó egy rajz. Ahol látnánk hogy mit mivel jelöl. Mert ha úgy nézzük ahogy Te mondod (tehát a nulla jelölés az a potenciálhoz képest van), akkor az U(BE0) nehezen értelmezhető. Az arámnál akkor mit jelent a nulla? Mi amikor tanultuk általában a nullával a nyugalmi állapotot jelöltük.
A nulla a munkaponti adatokat jelöli elvileg. Azaz ezek csak az egyenáramú értékek. És ahol indexben ott van az R az az ellenállás feszültsége a többi meg csak a nullához viszonyított potenciál. Na igen az U(BE)-nél érdekes a jelölés ilyen szempontból mert azt nem a nullához képesti fesz szintet mutatja. De gondolom ez így egyszerűbb volt mint egy új jelölést bevezetni rá. Az áram meg örök rejtély marad
Mi annak idején számoltunk olyan feladatot is ahol R1 árama és volt amiben R2-re adták meg, ez könyvenként eltér.
Majd kiderül.
martin96 : Ha majd órán megnéztétek a házit akkor írd már le légyszíves, hogy mi is lett volna a megoldás!
Ezek lettek:
R(C)=1.2K R(E)=400ohm I(B0)=33uA U(B0)=2,7V R(2)=9K R(1)=41K I(0)=10*I(B0)=333uA Képet viszont csinálhattam volna tényleg a kapcsolásról. A hozzászólás módosítva: Dec 14, 2012
Értem. Akkor az a jó megoldás amit 06smici mondott.
Egy kis fizikában segítene valaki?
1)Mekkora az A380-as repülő tömege, ha a 846m^2-es szárnya felett a sebesség 1,4x nagyobb a 252km/h sebességű felszálláskor? 2)A 10cm átmérőjű csövön 5,5atm-al pumpáljuk ki a vizet egy nagyméretű tartályból. Mekkora a kiáramló víz sebessége? (h1=h2) 3)Mekkora a vérnyomáskülönbség a karon 150cm magasságban, és a lábon 20cm magasságban? (vér sűrűsége= 1,048g/cm^3) 4)Az F1-es autóra 144km/h sebességnél 300kg-nyi din. leszorító erő hat az 1m^2-es diffúzor miatt. Mekkora sebességgel áramlik a levegő a kocsi alatt?(p1=p2; levegő sűr.: 1,29kg/m^3) Nagyon nagy segítség lenne, ha minél előbb, legkésőbb holnapig valaki levezetné nekem őket. Előre is köszi! Idézet: „1)Mekkora az A380-as repülő tömege, ha a 846m^2-es szárnya felett a sebesség 1,4x nagyobb a 252km/h sebességű felszálláskor?” 560 tonna, ha a -800 sorozatról van szó. Jó, csak vicceltem Csak volt ott az órán valami képlet amit emlegettek, amiből a következő számokból ki lehet találni valamit: - 846m^2 - 1,4x gyorsabb - 252 km/h Az az érzésem, hogy mindegyik kérdésből hiányzik valami (ami viszont gondolkodásra serkent)... A hozzászólás módosítva: Dec 17, 2012
Van persze, de ezekkel a feladatokkal semmire se mentem, úgyhogy Zolika60 ajánlatára benéztem ide, hátha valaki le tudja vezetni, aki ért hozzá.
Hacsak nem pont szegény Bernoulli bácsi van éppen terítéken, mert ha Ő nem lenne akkor mehetnél gyalog afrikába
![]() És akkor a linken ott a magyarázat is... A hozzászólás módosítva: Dec 17, 2012
Én úgy tudom, hogy a -800-as ~350-60 tonna, a -800F ~400 tonna (üresen, üzemanyag nélkül!)
De szerintem nem ez a lényeg, hanem a kérdés: Idézet: „Mekkora az A380-as repülő tömege” Tudtommal, attól, hogy a szárnyra bármilyen erő hat, (leszorító, felhajtó) a gép tömege nem változik. Ugyanis mitől változna a tömege? Felszáll egy utas menet közben? A jegesedét már megoldották. Vagy én gondolom rosszul? Akkor elnézést kérek!
A repülős megoldva, kb 600tonnát kaptam, az nem is rossz. Na, de a többire esetleg ??
A többi feladatot viszont nem sikerült megoldanom, szóval..
A repülős feladatot nem értem!!!
Hogy jött ki az a 600t???
Rossz lett az eredmény. Közben mindre meglett az eredmény, egy kollegina által, szóval, nem kell több segítség!
![]() Köszi akik eddig segítettek!
A repülős kérdésnek nem sok értelmét látom. A szárnyfelület az egy dolog, de milyen a profil??? Milyen magasan van a repülő?? Akkor esetleg a sebességből és a sűrűségből ki lehetne számolni a felhajtóerőt ami vízszintes repülésnél egyenlő a gép tömegével.... De felszállásnál ugye a felhajtóerő nagyobb, különben nem emelkedne.... Emelkedés közben ráadásul még a tolóerőnek is van emelő irányú komponense.
Szóval ez értelmetlen. Felhajtóerő egyenlő: a levegő sűrűségének a fele, a sebesség négyzete, a szárnyfelület és a felhajtóerőtényező szorzatával. Ha ezt megfordítod leszorítóerőre talán a F1-es kocsira is tudsz válaszolni. A hozzászólás módosítva: Dec 18, 2012
Ezek szerint, csak én nem értem a repülős kérdést.
![]() Sajnos ez már örök rejtély marad, mert janikukac nem árulta el a megoldásokat. Engem meg felemészt az a tudat, hogy anno kihagytam valamit fizikából, mert még mindig nem értem, hogy változik meg a gép tömege a levegőben... Megvan! Fogy az üzemanyag.
Akkor még arról nem is beszéltünk, hog a gép súlyát kell felemeni, nem a tömegét...
Egy szóval sem írta hogy változik a gép tömege. Csak simán ismeretlenként volt definiálva. Meg volt adva pár adat és ebből határozd meg az ismeretlen értéket ennyi. (Tömeget)
Üdv.: Miki
Sziasztok!
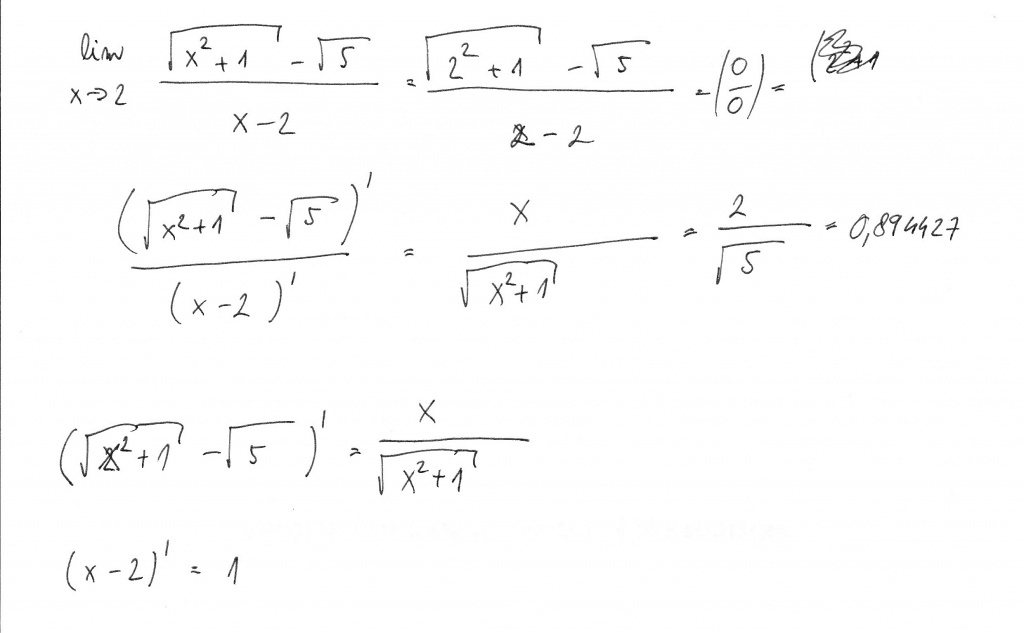
Valaki tudna nekem segíteni ezt megoldani, sehogy nem akar kijönni nekem. A megoldásnak kerekítve 0,8944-nek kell lennie(számológéppel kettőhöz közelítve).
Végre rájöttem
Ha valakit érdekelne, akkor mellékeltem a megoldást.
Ha behelyettesíted a 2est, akkor 0/0 jön ki. Alkalmazhatod az L´Hospital törvényt, vagyis deriválod külön a számlálót és külön a nevezőt is, majd újra behelyettesíted a 2est.
Jah bocs, nemláttam a hozzászólásodat. A hozzászólás módosítva: Jan 2, 2013
Azért köszi a választ. Ismerem a szabályt, de a feladat az volt, hogy egy függvény deriváltját kellett meghatározni a derivált definíciója szerint. Emiatt fura lett volna, hogy még nem is "ismerem" a deriválási szabályokat, de használom azokat.
Üdv!
Számolással kapcsolatban kérnék segítséget. Adott egy feladat: U1 = (1-3j) V U2 = (2-j) V f = 50 Hz U = U1 + U2 =? ( Az U betűk felett vízszintes vonallal, amit itt nem tudok megoldani. ) U(t) = ? A megoldás szerint kijön, hogy: U = (3 - 4j) V. Eddig ok, valóban csak a két zárójeles mennyiséget kell elemenként összeadni, semmi gond. Viszont ez továbbírva így néz ki: U = (3-4j) = 5 * e(-j 0.93) >> az "e" utáni zárójeles érték valójában az "e" felső indexében szerepel, mint hatvány. A kérdés az, hogy hogy jön ki a 3-4j-ből az az 5 érték? Az e-nél a 0.93 még kijön, mert ha a 3-4j-ből a 4-et egy tört számlálójába, a 3-at meg a nevezőjébe írom, és tg -1 szeresét veszem, akkor az valóban ennyi (tan-1(4/3). De honnan jött az 5? |
Bejelentkezés
Hirdetés |




Mi annak idején számoltunk olyan feladatot is ahol R1 árama és volt amiben R2-re adták meg, ez könyvenként eltér.
Előre is köszi!

Hogy jött ki az a 600t??? 
Ha valakit érdekelne, akkor mellékeltem a megoldást. 

