Fórum témák

» Több friss téma
Fórum » Szélgenerátor építési problémák
Lapozás: OK   489 / 507
(#) pucuka válasza Stewe hozzászólására (») Szept 25, 2016 /
 
Ahhoz, hogy alacsonyabb fordulatszámon termeljen, ahhoz a pólusszámot kell növelni. Meglevő gép áttekercselésével ez eléggé korlátozott, a meglevő horonyszám miatt. A gerjesztés pedig, hogy állandó mágneses, vagy tekercselt, az tök mindegy, ha ugyanakkora fluxust hoz létre a légrésben. Az meg nem lehetetlen mutatvány.
(#) pucuka válasza Stewe hozzászólására (») Szept 25, 2016 /
 
Vagy használhatsz egyenáramú generátort, de ott a kommutátor fog gondot okozni. Ezesetben a kimeneti feszültség arányos a fordulatszámmal. Attól a ponttól, ahogy felgerjedt (állandó mágnessl már 0 -tól eltérő fordulatszámon) jön a villany.
A hozzászólás módosítva: Szept 25, 2016
(#) Stewe válasza pucuka hozzászólására (») Szept 25, 2016 /
 
Evidenciákat dobálsz rám, de még mindig nem árultad el, hogy miért.
Az állandómágneses generátor minden fordulatszámon termel. Ez nem függ még a pólusszámtól sem. Egy kezdő kísérletezőnek éppen a gerjesztés fenntartásával törődni kár lenne, mikor fordulatszámfüggetlen állandó gerjesztést lehet fenntartani. A generátoroldali szabályozás valamivel bonyolultabb is, mint a fogyasztóoldali.
Kis fordulatszám-tartományban a fő probléma az alacsony feszültség, de nagyobb menetszámnál már használható lehet.
Meglévő gép áttekercselését nem tartod jónak... pedig egy átlagos generátor harminchat hornyában elég nagy pólusszámot meg lehet valósítani, épp áttekercseléssel. A mostani félvezetőárak mellett szemrebbenés nélkül akár külön is egyenirányíthatsz minden tekercset közös pufferre, a forgórész pólusszámot pedig csak a mágnesek geometriája korlátozza.
A hozzászólás módosítva: Szept 25, 2016
(#) pucuka válasza Stewe hozzászólására (») Szept 25, 2016 /
 
Mit jelent nálad az állandómágneses gép?
Idézet:
„fordulatszámfüggetlen állandó gerjesztést lehet fenntartani.”

Pont az ilyenekért Elektromágneses gerjesztés esetén is lehet fordulatszám független gerjesztést fentartani, de ezzel pont az állandó feszültségre való szabályzás lehetőségét veszíted el. (autó generátor) bár ezt lehet másképp is, elektronikus úton megoldani, bár szerintem nagyobb veszteséggel. Pl egyenirányítás, DC/DC konverter.
Idézet:
„Meglévő gép áttekercselését nem tartod jónak..”

Csak azt állítottam, hogy korlátozott lehetőség az adott horonyszám miatt.,
Ha külső gerjesztésű (állandómágnes) egyenáramú gépet, akkor így igaz, nullától eltérő fordulatszámon "termel" a gép, a kapocsfeszültsége függ a fordulatszámtól.
Váltóáramú gépeknél a fordulatszámnak a szinkron fordulatszámnál nagyobbnak kell lenni, minél nagyobb a pólusszám, ez a fordulatszám annál alacsonyabb. Természetesen a kapocsfeszültség ezesetben is függ a fordulatszámtól, forgórész kerületi sebességétől.
De minkét típusú gépben igaz az, hogy a légrésben a gerjesztést hogyan hozod létre, állandó-, vagy elektromágnessel, az közömbös. Gondolom egyértelmű, hogy a gép szempontjából mindegy, hogy a mágneses tér forog az álló tekercsek előtt, vagy a tekercsek forognak az álló mágneses tér előtt. ( nem világos, hogy ezt hogyan befolyásolják a mágnesek geometriája, a lényeg a minél kisebb légrés) A jó generátor konstrukció, a nagy átmérőjű gép, az elhelyezhető sok pólus, éps a nagy kerületi sebesség miatt. (remélem ez is evidens)
Már csak az a kérdés, hogy melyik konstrukciót könnyebb, egyszerűbb megvalósítani. Ebbe belefér az is, hogy a leadott teljesítményt hogyan manipulálod.
(#) Stewe válasza pucuka hozzászólására (») Szept 25, 2016 /
 
Javaslom olvasd el az előzményeket, mielőtt hevesen helyeselve próbálsz kötekedni!
Elsoroltam a kollégának, hogy az ő meglévő lehetőségeiből hogyan hozhatna ki valamivel többet.
Idekörmölheted a a Maxwell egyenleteket is, nagyon okos leszel, de a konkrét esethez érdemben nem tartozik.
A hozzászólás módosítva: Szept 25, 2016
(#) pucuka válasza Stewe hozzászólására (») Szept 25, 2016 /
 
Ok, rendben, béke.
(#) Stewe válasza pucuka hozzászólására (») Szept 25, 2016 /
 
(#) erbe válasza pucuka hozzászólására (») Szept 25, 2016 /
 
Az állandó mágneses gerjesztés kiküszöböli a szabályozott egyenáramú gerjesztés veszteségét, ami éppen a "nem termel vagy még csak éppenhogy..." tartományban a legnagyobb.
Az áttekercselés értelmetlen, mert hiába az állandó mágnes, hiába a 36 pólusú tekercs, a vasmagkeresztmetszet nem változik. Ha pedig a vasmag betelített, afölé nem lehet menni.
Nem beszélve arról, hogy telítésig gerjesztett vasmagnál már nőnek a veszteségek. Alacsony fordulatszámnál még jó, de növekvő fordulatszámnál fokozottan nő.
(#) weend válasza erbe hozzászólására (») Szept 25, 2016 /
 
Idézet:
„Az áttekercselés értelmetlen”

Azért ezzel nem értek egyet, nagyon sokan áttekercselték már az autó generátort, és állandó mágnesesre építették át a forgórészt, és termeli a villamos energiát. És eleve ez egy generátor, akkor miért telítene be a vasmag áttekercselt változatban. Nem kilowattok kinyerése a cél, párszáz wattnál gondolom ez nem fog bekövetkezni. Egy FD-1,5 300 tipp szélgenerátorból kilehet nyerni a dupláját is, és ebben sincs ám több kg vas. És mi tovább, állandó mágnesekkel van szerelve a forgórésze. Ráadásul ferrit mágnesekkel, ami ugye nem a legerősebb fajta.
És emlékszünk még Pudding 1 kollega munkásságára, az alább látható videón bizonyítékot láthatunk a fent leírtakra.
Bővebben: FD 1.5 300
A hozzászólás módosítva: Szept 25, 2016
(#) erbe válasza weend hozzászólására (») Szept 25, 2016 /
 
Az áttekercseléssel nem a kivehető teljesítmény nő, hanem a kisebb fordulaton magasabb a feszültség, emiatt egyszerűbb a kivehető teljesítmény felhasználása. Ez idáig csak illesztés kérdése.
A telítés nem tekercselés-fordulatszám-teljesítmény, hanem az állandómágnes képességeinek függvénye. Ez már álló helyzetben bekövetkezik és forgás közben csak veszteséget "gerjeszt".
Részletesebb információért keresd gulyi88 kollégát!
(#) weend válasza erbe hozzászólására (») Szept 25, 2016 /
 
Idézet:
„Az áttekercseléssel nem a kivehető teljesítmény nő, hanem a kisebb fordulaton magasabb a feszültség”

Hát pont erről van szó, ezért ajánlottuk itt egy páran, hogy átkellene tekercselni azt a generátort.
Mint tudjuk, az „olajoshordós villanygenerátor” nem a legnagyobb fordulaton járó gép, és hogy az áttétel ne zabálja fel azt a kis teljesítményt, oda kellene egy ilyen generátor. Nem a teljesítményt akartuk megsokszorozni, hanem rávilágítani, hogy az autógenerátor jelenlegi állapotában nem a legjobb választás.
(#) csavarkulcs hozzászólása Szept 26, 2016 /
 
Semmiképp sem egy áttétellel, hanem inkább több kisebbel. csak azért kérdeztem hogy jól számoltam-e.
Az ékszíj tárcsa a generátoron marad, a többi változhat.

A generátort mekkora kimenő feszültségre kellene áttekerni?
Csak azért kérdezem, mert ez 28 voltot ad le, és nem 14-et. Nem tudom pontosan milyen kocsiból való, de Bosch gyártmány. Az biztos hogy egy 12 voltosra lett kicserélve.

Ha valamit tekercselek akkor az egy leégett motor lesz, de ameddig működik ez a generátor, nem piszkálnám.
Van viszont egy önindító sztator-om, amit még át tudnék tekercselni, meg a rotort is elkészíteni hozzá.Vélemény?
Esetleg még IMI motort tudok szerezni, ha nem jó.

Mekkora büntetést lehet egy ilyen miatt kapni? mert akkor már többet is összeraknék, ha nem hatványozódik.
(#) erbe válasza csavarkulcs hozzászólására (») Szept 26, 2016 /
 
Idézet:
„Van viszont egy önindító sztator-om,”

Milyen önindító? A "hagyományos" kefés önindító felejtős. A dynastarter (önindító-dinamó egyben) sem az igazi. BLDC motor?
Milyen büntetésről fantáziálsz?
(#) csavarkulcs válasza erbe hozzászólására (») Szept 27, 2016 /
 
Az önindító felejtős...

Ki beszélt itt büntetésről?
(#) vargaf válasza csavarkulcs hozzászólására (») Szept 27, 2016 /
 
Csavarkulcs hozzászólása
Idézet:
„Mekkora büntetést lehet egy ilyen miatt kapni?”
A hozzászólás módosítva: Szept 27, 2016
(#) csavarkulcs válasza vargaf hozzászólására (») Szept 27, 2016 /
 
Áááá
Nemtudom hogy csak szabálysértés, vagy börtön jár érte, ha lakott területen belül 150méterrel, építem meg.
(#) csavarkulcs válasza vargaf hozzászólására (») Szept 27, 2016 /
 
vargaf, látom mindenhol ott vagy. Bocs a multkoriért, egy félreértés miatt történt.
(#) palko73 hozzászólása Szept 30, 2016 /
 
Sziasztok!
Van 1db 12 volt 300 Wattos Kinai szélkerekem,be épített töltésszabályzóval!
Az lenne a kérdésem ,hogy tudom kimérni a Áramerősséget,és ,hogy hány voltot ad le?Próbáltam elég jól pörgött de ahogy leveszem az akkuról,mintha befékezné magát,akkor is pörög csak lassabban,és így csak 5 volt köröl mértem,és kb 1.5 Ampert multiméterrel.Amit vissza rakom az akkura jobban pörög de így nem tudom megmérni!Létezik,hogy ilyen kevés voltot ad le?Vagy hogyan tudnám kimérni ?
Köszi előre is a segítséget!
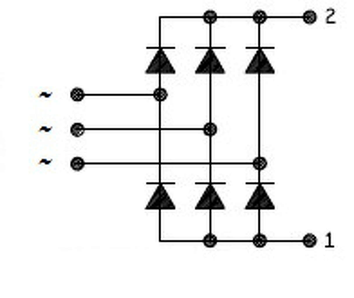
(#) pietro hozzászólása Okt 8, 2016 /
 
Szia Mindenkinek!
A képen látható, Terminálról érkező vezetékeket hogy kell bekötni a diódákra, és tovább?
Köszönöm előre is a választ!

bekötés.jpg
    
(#) Stewe válasza palko73 hozzászólására (») Okt 8, 2016 /
 
A beépített töltésszabályzó valószínűleg csak kimenő feszültséget szabályoz, ha(!) savas ólomakkumulátorhoz készült, akkor ez valószínűleg 13,5V, mert a folyamatos pufferbe töltés ezen a feszültségen a legegyszerűbb.
A 300W teljesítmény az csak a maximális fordulatszámon képzelhető el, sőt a távol-keleti gyártók gyakran esnek szépítő túlzásokba, vagy jól hangzó féligazságok közzétételének a hibájába.
Ha mérni akarsz, akkor le kell szerelni a generátort, meg kell oldani a maximális üzemi fordulatszámon való folyamatos meghajtást, és készíteni kell a szabályozott kapocsfeszültségre, egy változtatható terhelést. (Ezt legegyszerűbben gk. fényszóró-izzókból, és 10w os szoffita izzókból lehet összehozni.)
A generátor forog, lépésekben kell emelni a terhelést, közben mérni a feszültséget, és az áramot is.
Azon a terhelésen, ahol a kapocsfeszültséget már nem képes tartani, az lesz a generátor által adható áram maximális értéke, a teljesítményt pedig már egyszerűen számíthatod, de ez csak a képességének a fizikai határa.
Az, hogy a szélből hogyan tudja ezt kivenni, egy másik sokkal hosszabb téma lenne.
A hozzászólás módosítva: Okt 8, 2016
(#) Stewe válasza pietro hozzászólására (») Okt 8, 2016 /
 
Egy közönséges háromfázisú egyenirányító híddal.

Egy példa, bár ez elég combos.
(#) weend válasza Stewe hozzászólására (») Okt 8, 2016 /
 
Hát igen, ha az árára gondoltál.
(#) Stewe válasza weend hozzászólására (») Okt 8, 2016 /
 
Nem az árára gondoltam, bár valóban sokba kerül, nem mondható drágának.
Ez egy harmincöt amperes cucc, tíz kilowatt feletti terhelhetőséggel, az ipari léptéknek megfelelően elkérik az árát. Létezik olcsóbb, (]de még ez is 1,6KV, 25A.
Ezért töltöttem fel a rajzot is, mert hobbi léptékben közönséges diódákból is meg lehet csinálni, de egyfázisú graetz kocka is bevethető:
(#) vargaf válasza Stewe hozzászólására (») Okt 8, 2016 /
 
A link nem mutat semmire!
(#) Stewe válasza vargaf hozzászólására (») Okt 8, 2016 /
 
Pardon...
Belejavítottam a szövegbe, és egy vezérlőkarakter átcsúszott.
Bővebben: Link
(#) pietro hozzászólása Okt 8, 2016 /
 
Köszönöm szépen, akkor megrendelem.
(#) csavarkulcs hozzászólása Okt 21, 2016 /
 
Aki áttételezni szeretne, annak ajánlom azt az oldalt:
Bővebben: Link
(#) csavarkulcs válasza csavarkulcs hozzászólására (») Okt 22, 2016 /
 
Bővebben: Link
Itt is kapni mindenfélét, fogaskereket, ékszíjat, fogasszíjat...
(#) pudding1 válasza weend hozzászólására (») Okt 30, 2016 /
 
Idézet:
„Egy FD-1,5 300 tipp szélgenerátorból kilehet nyerni a dupláját is, és ebben sincs ám több kg vas. És mi tovább, állandó mágnesekkel van szerelve a forgórésze. Ráadásul ferrit mágnesekkel, ami ugye nem a legerősebb fajta.”


Neodym mágnesek vannak benne.
(#) weend válasza pudding1 hozzászólására (») Okt 30, 2016 /
 
Szia!
Örülök, hogy ennyi idő után újra megtisztelsz itt minket. Ha ez így van, mindenkitől elnézést kérek.
Én az alább látható képből, az AIR-X 400-as régebbi forgórészéből indultam ki.

400_forgo.jpg
    
Következő: »»   489 / 507
Bejelentkezés

Belépés

Hirdetés
XDT.hu
Az oldalon sütiket használunk a helyes működéshez. Bővebb információt az adatvédelmi szabályzatban olvashatsz. Megértettem