Fórum témák
» Több friss téma |
Fórum » Vezeték nélküli gyertya
Üdv.!
Az közvetlenül nem fontos, hogy a primer és a szekunder tekercs ugyan olyan legyen. Az a lényeg, hogy a primer és a szekunder oldali rezgőkör (aminek része a tekercs) rezonancia-frekvenciája ugyan akkora legyen. Idézet: Megromlott a gyertyazselé „És jelentem,nem jó még a mű zselé sem,megromlott!” Vagy valami kísérletezést folytatsz a tökéletes zselé éléréséhez?
Tegyél bele bórkősavat vagy szalicilt (jó sokat )
Sziasztok!
Elkészítettem a Skori által tervezett ák-t. Kondenzátorokkal kapcsolatban valami préselt elnevezésűt tudtak csak adni. a 470 pF-os, az viszont maradt kerámia. Működik, csak elég kicsi a hatótávolsága. Nincs meg a sokak által emlegetett 5-6-8 cm. És a LEDen is kevésnek tűnik a feszültség. 1,5-6 V esik rajta. Mi lehet a gond? A kondenzátorok? Vagy, hogy a tekercs nem a nyákon van, mint az eredeti rajzban, hanem drótból van megcsinálva, és a zátmérője sem akkora. De a hosszuk ugyan az. Csiánáltam hozzá egy másik tekercset is, kicsit vastagabb rézdrótból, az kb 2x olyan hosszú, de a helyzet nem sokat változott. A szekundert is újratekertem, kipróbáltam több, kevesebb menettel is, de nem valami fényes a helyzet. Láttam már itt olyanokat, akik hasonlóképpen, drótból csinálták a tekercseket. Megkérdezhetném tőlük, hogy hány menetes lett, és hány cm az átmérője? Köszönöm: uli
5 cm körüli a tekercs átmérője és 2 menet az adónál pont középen van a 3. kivezetés de ha nem sikerül
csináld meg az én nyákomat garantáltan jól működik de ha jobban tetszik Attiláé is tökéletes mindkettő fent van itt a témában
Itt a rajz. Ugye nem olvastad végig a topicot?
Bővebben: Link Skori mester oda írta, hogy NEM jó a kerámia. Vegyél stiroflex vagy tekercselt típust. A rajzon látszik, hogy 2 menet, 4-5cm átmérőn. Te tekerheted 4,5cm-es átmérőre is. Ehhez használhatod a sziloplasztos tubust. Nem kell panel, láthatod, hogy a levegőben is össze lehet drótozni. Már rég készen lennél ha elötte átolvastad volna ezt a pár oldalt...
Viszont én írtam hogy jó a kerámia ! Ha pontos a tekercs
mindegy milyen kondit hasznász! nálam tökéletes kerámia kondival !
A menetszámon NE változtass, mert attól (és a konditól) függ a frekvencia! Én PC tápból bontott zománcozott rézhuzalt használtam (1,4 mm átmérőjű). A legnagyobb ferrittgyűrűn pontosan annyi van, ami elegendő a két tekercshez.
A kondik környékén lehet valami baj. Nem a 470pF-ossal, mert az nekem is kerámia és kitűnő. A többi kérdéses. No és hogy a tekercsek egyformák-e, illetve, hogy rövid lábak kötik-e össze az alaktrészeket (itt már ez is számít!). Attila86 néhány hozzászólással ezelőtt írta, hogy nem a tekercseknek kell egyformának lenni, hanem a rezgőköröknek. Ez tökéletesen igaz, de ha nincs műszered és hangolási lehetőséged, akkor maradnak az egyforma tekercsek, plusz bízunk abban, hogy a 4,7nF-os kondik is egyformák (többé-kevésbé). Hopp! Egyszerre többen is válaszoltunk.
Sziasztok.
Épp ma csináltam 2 adót még mert elég népszerű lett, néztem a kapcsolást és nekem a 470p helyett 560p van , jelentem ettől még tökéletesen működik. Szerintem a skin hatás miatt vastagabb tekercsek (vagy vastagabb rajzolatú nyák tekercs) megfelelőbbek, de javítsatok ki ha tévedek. Szivárvány ledhez párhuzamosan kell még egy kondi is hogy megfelelően működjön, én 3,3 n tettem bele nem kerámia ilyen akadt a kezembe, mindenképp teszteld mielőtt beleteszed a gyertyába hogy megfelelően működik-e az áramkör. Tápellátásra fali dugasztápot használok, dvd tokba tettem az adótekercset mert sajnos a nyák készleteim elég végesnek bizonyulnak, tökéletesen működik 5v ról. Mivel nem minden dugasztáp 5 v os ezért én pl az egyikbe még egy stabic- t is tettem a tekercs mellé az aljának használt dvd tokba. Én 1.5 mm2 -es vezetéket használok, egy aerosolos tartályt használtam a tekeréshez és ragasztópisztolyt a tekercs fixálásához. A lényeg kondik ne kerámia alapúak legyenek így biztosan működik és ha szivárvány led-et használsz akkor párhuzamosan a leddel tegyél be egy kondit lehetőleg ne kerámiát, nekem a 3,3n bevált de szerintem ettől el lehet térni. Ha alaposan csinálod és még szép is akkor sem tart az adó a vevő az öntés elkészítése 1-2 óránál tovább bár megvallom 10 perc kellet a zselé felmelegítéséhez. Üdv : Sanyi
Tehát akkor állhatok neki átszámolni az egész kapcsolást...
A tervben egyenlőre annyi konkrét van hogy 128x94es lesz az alap amiben úgy gondoltam, hogy egy max. 8centi átmérőjű tekercs lenne, aminek a menetszáma szintén kettő lenne és a hosszal még nem is lenne gond(a két átmérőt összeadom és a felével számolok), de a keresztmetszetével gondba vagyok. Itt csak a mű 0-al kell számolni mert légmagos..ugye? és akkor két kisebb vevő lenne amit egyszerre rátennék...szal annál is tekercs számítás és kondi választás mellé. mennyire kell pontosan számítani? és mennyire fontos, hogy ne kerámia kondi legyen? és kifejezetten Attila86 specifikus kérdés...van a közelünkben valami jó bolt a he-n kívül?
Én is elkészítettem, szintén remekül működik, csak nekem nem volt BD-m csak BC301-em, igaz, így kell rá egy hűtőcsillag, de 3cm távolságba nekem szépen működik.
üdv Idézet: „...mennyire kell pontosan számítani? és mennyire fontos, hogy ne kerámia kondi legyen? és kifejezetten Attila86 specifikus kérdés...van a közelünkben valami jó bolt a he-n kívül?” Nem kell számolgatnod a tekercset! Mint mondtam a lényeg az, hogy a primer és a szekunder oldali rezgőkör rezonancia-frekvenciája megegyezzen. Tehát lehet másmilyen a primer és a szekunder tekercs, a lényeg hogy a velük párhuzamos rezonancia-kondikkal úgy legyen belőve a primer és a szekunder-oldali rezgőkör hogy a rezonancia-frekvenciájuk megegyezzen. A fólia kondi használata nem kötelező, de lényegesen javítja a jó minőségű (!) fóliakondi a hatásfokot a kerámiákhoz képest. Közelünkben jó bolt? Itt most arra gondolsz hogy te is Zuglóban laksz? Nos ha igen ha nem, én csak azokat az üzleteket tudom ajánlani ahova én járni szoktam. Sorrendben: Lomex, Elektrokontha, HEStore, HQVideo.
Megkérek egy modit hogy Köbzoli hozzászólását tegye zöld hátterűvé, mert egész jól leírta hogy a topik témájául szolgáló áramkör hatásfokát hogyan lehet javítani. Ez a kérdés sokszor felmerült már, így talán könnyebben megtalálnák más fórumozók is.
Igen zuglóban lakom, már az egyik fórumban meg is beszéltük, hogy 2 megállóra tőled
csak azért gondoltam, hogy tekercset számolok, mert nem tudok frekit mérni semmivel....tehát csak az maradt, hogy induktivitást számolok és választok mellé egy kondit, ezzel kiszámolom a frekit és akkor a szekunder tekercs induktivitását is kiszámolom és akkor visszaszámolom, hogy milyen kondi kell...ezért lennék kíváncsi, hogy hogy számoljak keresztmetszetet.
Szia!
A nyáktervedben a tranzisztor milyen típusú és hol lehet kapni ilyen tokozásban? Köszi!
Üdv.!
BCP56T1G típusú tranzisztort használtam, ez TO-223-as tokozású. Én a Lomeben vettem.
Sziasztok az lenne a kérdésem, hogy Szegeden hol lehet ilyen gyertyazselét venni?
Válaszotok előre is köszönöm!
Sejthető volt valami ilyesmi, az enyím még bírja a strapát, de erősen gondolkodom hogy szimpla viasszal fogom kiönteni, úgyis még csak 1 zselés az 5-ből. Egyébként mikkel kísérleteztél a Paraffinal kapcsolatban?
Ha már itt tartunk...
Miskolcon hol lehet kapni gyertyazselét.. akár gyertyában (készen) vagy csak zselét (de kis mennyiségben).. Tudok egy helyet de ki tudja hogy ott milyen nagy mennyiségben tudnak adni.. Csak 1 gyertyához való kéne nekem.. üdv!
c..a -te..ó van? biztosan találsz kész gyertyát !
Ezt olvastam a petrolátumról (vazelin), szerinted? :
Idézet: „Módosítható más kőolajszármazékokkal (pl ásványi olaj), vagy viaszok (pl paraffin) fizikai tulajdonsága, például a keménység, vagy az olvadáspont.”
Igen, de mivel a vazelin átlátszó, és azt írja, hogy az állaga keményíthető paraffinnal, ezért lehet nem szineződne el teljesen fehérré, és hasonló anyagot lapnánk mint a gyertyazselé, csak nem olyan átlátszót. (nem vagyok kémiami zseni, ezért lehet nagy marhaság
, de lehet hogy nem) Mindenesetre még mindíg úgylátszik hogy maradok a sima paraffinnál.De ha azt felmelegítem 60°C-ra, és ráöntöm a ledre, kondira stb... és mivel annak a tömegnek kell vagy 10 perc mire kihűl, nem lesz semmi baja a lednek ugye? (mert ahhoz azért drága volt )
Mi lenne, ha szép áttetsző enyhén sárgás HP vel önteném fel a poharat? Ha sok akkor néha leiszok belőle. :pias:
Hmm.. nem rossz, de hogy fogom becsomagolni? Mivel karácsonyi ajándéknak szánom
Meg hát nem túl sokáig lenne tele
Igen párolog. Deén komolyan gondoltam
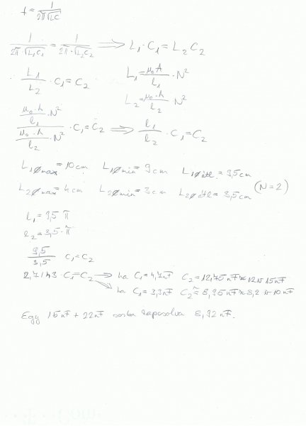
Nahh számolgattam kicsit...a mellékletben látható is. Valaki rápillantana, hogy okés-e? meg, hogy mit javasol? remélem a többi alkatrészt nem kell módosítani...
Sziasztok!
Olyan kérdésem lenne, hogy hogyan lehetne megoldani ezt a világítós gyertyát, hogy pohárként lehessen használni? Akkor ugye a pohár belsejének üresnek kellene lennie... hogyan tudnám elszigetelni esztétikusan az elektronikát?
Szerintem úgy kéne, hogy csinálsz egy formát, ami mondjuk 1cm magas, és olyan széles mint a pohár. Abba beleteszed a vevőt, kiöntöd átlátszó epoxival. Ráteszed a poharat és kész. Ha nem ragadna hozzá, akkor rásegítesz üvegragasztóval. Miután megszáradt, lelakkozod hogy szép fényes legyen, de csak az epoxit.
Sziasztok!
Az lenne a kérdésem, hogy kerámiakondenzátor esetén (mert csak ilyen volt ) a 470pF helyett tudom valamelyiket használni a következő kettő küzül?330pF 680pF Csak ilyeneket tudtam beszerezni A 4,7nF-os is kerámia... |
Bejelentkezés
Hirdetés |




A tervben egyenlőre annyi konkrét van hogy 128x94es lesz az alap amiben úgy gondoltam, hogy egy max. 8centi átmérőjű tekercs lenne, aminek a menetszáma szintén kettő lenne és a hosszal még nem is lenne gond(a két átmérőt összeadom és a felével számolok), de a keresztmetszetével gondba vagyok. Itt csak a mű 0-al kell számolni mert légmagos..ugye? és akkor két kisebb vevő lenne amit egyszerre rátennék...szal annál is tekercs számítás és kondi választás mellé. mennyire kell pontosan számítani? és mennyire fontos, hogy ne kerámia kondi legyen? és kifejezetten Attila86 specifikus kérdés...van a közelünkben valami jó bolt a
csak azért gondoltam, hogy tekercset számolok, mert nem tudok frekit mérni semmivel....tehát csak az maradt, hogy induktivitást számolok és választok mellé egy kondit, ezzel kiszámolom a frekit és akkor a szekunder tekercs induktivitását is kiszámolom és akkor visszaszámolom, hogy milyen kondi kell...ezért lennék kíváncsi, hogy hogy számoljak keresztmetszetet.
, de lehet hogy nem) Mindenesetre még mindíg úgylátszik hogy maradok a sima paraffinnál.
) a 470pF helyett tudom valamelyiket használni a következő kettő küzül?




