Fórum témák
» Több friss téma |
- Ez a felület kizárólag, az elektronikában kezdők kérdéseinek van fenntartva és nem elfelejtve, hogy hobbielektronika a fórumunk!
- Ami tehát azt jelenti, hogy a nagymama bevásárlását nem itt beszéljük meg, ill. ez nem üzenőfal! - Kerülendő az olyan kérdés, amit egy másik meglévő (több mint 17000 van), témában kellene kitárgyalni! - És végül büntetés terhe mellett kerülendő az MSN és egyéb szleng, a magyar helyesírás mellőzése, beleértve a mondateleji nagybetűket is!
Nem azt mondom, hogy nem működik! Valószínűleg sőt biztos működik mivel semilyen mérés sincs benne, de elmondtam neki miért csinálja miért kell ez neki (ha másért nem hát sporol a maratóval, ezt is mondtam), hogy azt az utat amit én végig jártam neki már ne kelljen és esetleg, ha egy másik motorvezérlő építésbe kezd ami kicsit komolyabb ne menjenek el hónapjai azzal, hogy a hibát keresei amit egyszerűen az áthallások okoznak.
Amúgy az általad említett kondenzátor hatás pont az amit elkerülünk ezzel a módszerral. Csinálj egy szkópos mérést ahol két vezető fut egymás mellett, az egyiken egy jel és mérd a másikon a megjelenő jelet. Utána húzz közéjük egy 3. vezetőt mérd meg ismét az áthallást, majd végül kösd földre a középső vezetőt és úgy mérj.
Akkor 22 V-ra kb. 60 menet kell. Kétszer 22-re tehát 120. Szépen igyekezz tekerni, akkor több fér rá és kevésbé fog zúgni. Ha erősítőbe lesz én beáztatnám lakkba is amikor kész.
én is így gondolom, de gondoltam tanuljon is belőle ne csak összedobja, működik és kész! Én össze tettem volna a kezem, ha annak idején elsőre elmondta volna nekem ezeket valaki és nem nekem kell kihúznom másokból és kitapasztalnom.
Egyébként természetesen ez bőven nem az egész téma amit én próbáltam vázolni neki 3-4 hozzászólásban nem is lehet kifejteni egy olyan dolgot amiről a gyengébb anyag is 10-15oldalas. Lehetne még finomítani, hogy külön ground plane a digitálishoz és külön a nagyáramúhoz stb. illesztett szűrések a két oldal határán áthaladó jeleken de akkor már tényleg ott vagyunk amit te is mondasz, hogy ágyúval verébre.
nem is feltételeztem hogy nem láttál, pont azért mondtam mert régebbi hozzászólásaidból kiderült számomra hozzá értésed a szakmához és feltételeztem, hogy van otthon legalább egy, de akár több szkóp is.
hy!
A c33740-es tranzisztort mivel lehetne helyetesiteni?
Köszi az adatokat.
![]() Csak azt nem tudom,hogy amit linkeltem neked rézhuzalt az milyen hosszú lehet. Mert az egy dolog,hogy 0,25kg de ebből nem jövök rá a hosszára sajnos.Ez lenne a fontos hogy ebből mennyi kelhet.
Azért kiszámolni kilehet. Segitségnek: 1dm3 vörösréz súlya 8.92kg
Sziasztok!
Lehet kapni kutyahívó sípot, nem tudja valaki hogy ezek milyen frekvencián szólnak? Illetve ezt elektronikusan meg lehet-e csinálni? Mondjuk 555 + megfelelő piezo?
Sziasztok!
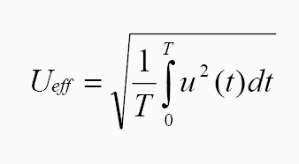
-Egyfázisú hálózaton,az effektív és csúcs értékeke összefüggéseiben miért gyök2-vel osztunk/szorzunk?(Képletekre lennék kíváncsi) -Háromfázisú rendszerben miért gyök3-al számoljuk a teljesítményeket? (itt is főleg arra a képletre/képletekre lennék kíváncsi amiből megkapjuk pl a: Q=sinfi*S*gyök3) -A mellékelt kapcsolásban miért tudok A-mérővel váltó és egyenáramot is mérni? Pár napja ugyanezzel az összeállítással mértem áramot,de akkor ha megcseréltem a N-t és a L-t,akkor az egyikben uA nagyságú,a másik felállásban mA nagyságú áramot mértem,ez miért lehetett?( a mai mérésnél már hiába cseréltem fel a N-t és L-t,ugyanannyit mértem)
Most olvasom amit írtatok. Egy ideiglenes nyáktervem van. Mondanátok rá valamit?
Felmerült bennem egy dolog, hogy ennél a kapcsolásnál az ic 1 és 7 lába között 24V fog folyni a fetig. Ezt kibírja az ic? Mivel a gnd közösítve van a 24V negatívjával és az 5V negatívjával. Még egy kérdés a 24V földjét mielőtt ráküldöm az ic gnd-jére nem kéne egy ellenállást is betenni?
Sziasztok!
Engem az érdekelne, hogy megoldható-e egy 12V-os DC spotlámpa szabályzása 2 tranzisztorról és 1 potiról. Ha igen, hogyan? Tudom hogy vannak PWM szabályzók amikkel megoldható a dolog, de engem az elvi alapok érdekelnek... ha esetleg valaki segítene egy kapcsolási rajzzal azt is megköszönöm.
Üdv!
- Egy fázisnál szorozni kell gyök 2-vel az effektív értéket, hogy megkapjuk a csúcsot. Ueffektív=Ucsúcs / sqrt(2) Meg van itt valami olyan szöveg is, hogy a 230V-os effektív váltónak a teljesítménye pont akkora, mint a 230V-os egyen feszültségnek a teljesítménye ugyan azon a fogyasztón. Hogy pontosabban hogy vezették le, arra nem emlékszem. - A háromfázisú rendszereknél a gyök három, ha jól emlékszem, abból jön, hogy 3 fázis van, egymáshoz képest 120°-kal tér el. A képletek3 fázisú rendszernél P=sqrt(3)*U*I*cos(fí) (W) S=sqrt(3)*U*I (VA) Q=sqrt(3)*U*I*sin(fí) (VAr) Delta kapcsolásnál az áram és a feszültség megoszlása: Ufázis = Uvonali Ifázis = Ivonali / sqrt(3) Csillagnál: Ufázis = Uvonali / sqrt(3) Ifázis = Ivonali - Ez egy egyszerű, egyutas egyenirányítás. Csak az egyik félperiódust fogja átengedni a sinus hullámból. Így pulzáló egyen feszültség fog a leden esni. Mivel pulzál, ezért tudod AC-ban mérni. És mivel csak az egyik félperiódus van jelen, ezért tudod DC-ben is. A uA-t az 1N4007 dióda és a led szivárgási árama lehetett, amikor csúcshoz ért. ( ekkor nem világít a led). mA-es áramot akkor tudsz mérni, ha épp nyitó feszültségen van, kb 3-4mA-t. Egyébként ha DC-ben mérted az áramot, akkor lehetett a uA-es érték, AC-ban a mA-es. (DC-nél lehet diódás védelem, és akkor mérhetted a diódák szivárgási áramát.)
Hello!
Köszönöm a válaszokat,de számomra hasznos info csak a diódás rész volt,a többit én is tudtam. Lehet hogy nem értjük egymást,mert én arra vagyok kíváncsi hogy miért gyök2-vel és miért gyök 3-al számolunk.Mert képzeld csak el amikor még nem tudták hogy hogyan kell kiszámolni az eff és csúcs értékeket,ott ülnek az íróasztalnál és egyszer csak ,,heuréka! szorozzuk meg gyök2-vel!'' Neem ez tuti hogy nem így volt,és engem érdekelne hogy honnan jött a sqrt2/sqrt3. Szerintem a szinuszhullámhoz tartozó kördiagramban felrajzolható derékszögű háromszöghöz lesz köze,de ezt majd megmondja nekem a kedves hozzáértő °°).
Na, az jó
Legalább én is ismételtem egy kicsit Igen, a szinuszhoz lesz valami köze, meg az 50Hz-es jelhez, csak nem ugrik be
Köszönöm,erre gondoltam.
Még hátra maradt a 3fázisú teljesítményes gyök3-as problem.
Az egyszerűbb.
A két fázis egymáshoz képest 120°-al el van forgatva egymáshoz képest. Innentől kezdve egyszerű koordináta-geometria az egész(rajzold fel). Kapsz egy derékszögű háromszöget. Az egyik oldala: cos0+cos120 A másik oldala: sin0+sin120 Innen(Pitagorasz-tétel) a^2 + b^2 = c^2 Mit ad isten c^2=3 => c=gyök3
Sziasztok.
Miből lehet tudni, hogy a kondi kivan száradva? Ezt méréssel meglehet állapítani?
Persze. Ha van kapacitásmérőd, és mér akkora értéket. Mivel csak az elkók száradnak ki, amik viszont elég nagy kapacitásúak.( az én Metex-em pl. csak 200 mikrofarádig mér).
A kiszáradás jelentős kapacitáscsökkenést okoz, így a ráírt értéknél jóval kevesebbet fogsz mérni.
Szia! Elolvastam a cikkeket. Mostmár értem a kondi, és a tranyó működését is. Még mindig solar robotot szeretnék csinálni.
Eddig jutottam: Napelem, kondi, led negatív része össze van kötve. A pozitívnál, ha a napelem, és a kondi van összekötve, akkor a kondi töltődik. Ha meg a kondi, és a led, akkor a kondi kisül, led világít. Ide kéne egy tranzisztor, vagy kettő? Led-kondi és kondi-elem? És a kollektor(oka)t hova kellene bekötni??? Előre is köszi!
A kondenzátor nem a legjobb elektromos energia-tároló eszköz, legalábbis nem hosszú távra. E célra jobb az akkumulátor, aminek a töltéséhez akár a napelemek is felhasználhatóak. Erre vonatkozóan is találhatsz itt, a portálon akár kész kapcsolást is, de a keresők is dobnak ezer megoldási javaslatot.
Ellenben a kérdésedből is az tűnik ki, hogy nagyon kezdő vagy még az elektronika terén. (Ne érts félre, nem lebecsülni akarom a képességeid, csak a tudásod nem biztos, hogy elegendő lesz egy ilyen nagy projekthez. Ez igen összetett feladat, a motorvezérléstől az akkumulátor-töltésen át a mesterséges intelligencia programozásig, a mikrovezérlőkig sok-sok témát ölel fel.) Javaslom, hogy előbb olvass sokat, kísérletezgess kisebb kapcsolásokkal, és ha elakadsz valamiben, akkor kérdezz bátran, itt mindig válaszolnak. Csak türelem kell. Ha pedig az alapokkal már teljesen tisztában vagy, rájössz, hogy mekkora fába vágtad a fejszéd, és apránként, lépésről lépésre szépen össze tudod majd rakni azt a kis robotot. (Éppen most van elbírálás alatt egy cikk, ami egy kis robot építéséről szól, reményeim szerint még ma nyilvános is lesz, javaslom, abba is olvass bele!) Szóval kitartás, türelem, előbb-utóbb lesz solar-robot!
Nos igen, kitartás kell az ilyesmihez, azthiszem nekem van. De egy kicsit félreétettél. Nem egy komoly robotot szeretnék, hanem csak egy egyszerűt, és kicsit. Lényege: a napelem nem tudja működtetni a ledet, ezért előbb össze kéne gyűjteni az energiát, szal meg kéne szakítani az áramkört, amíg össze nem gyűlik kellő energia. a meghajtást egy kis motorral oldanám meg, de a motort még hagyjuk. Szóval pici aksim is van. Hogy oldjam meg: csak akkor menjen az áram a ledbe, ha az aksi már föltöltött? Tranyóval? Hogy kell bekötni? (Találtam pár kapcsrajzot, vagy 5félét kipróbáltam, de nem működött) Bízom benne, hogy ti tudtok segíteni!
A mesterséges intelligencia programozás meg a másik kedvenc témám
Php-s chatbototk ( beszélgető robotok ) készítésével is foglalkozok, de kizárólag a software részével.
sziasztok
egyik ismerősömnek túlmelegedett a laptop töltője.. töltés közben véletlen levolt takarva az adapter, és megállt a töltés azóta nem meri géprekötni... szerintetek annyi lett a töltőnek, vagy csak valami túlmelegedés védelem aktiválódott ?
Köszönöm.
Nemrég írtam hogy nem működik egy 555-s PWM szabályzó. Ma megépítettem ezt. Izzót,villanymotort 0-100%-ig szabályoz,de ventilátort ez se. Ez nem baj,csak tájékoztatásként gondoltam leírom. Minden jót!
Valaki tudna segíteni: Ezt szeretném úgy megcsinálni, hogy ha a kondi / aksi fel van töltve akkor rákapcsolódjon a ledre, ha nincs, akkor meg a napelemre. Tranzisztorral meg lehet oldani? Hogyan?
Egy tipp.Ha mindenképp tranzisztorral akarod megoldani a kapcsolást,akkor nézz utána a TTL(transistor transistor logic) és DTL(diode transistor logic) kifejezéseknek.
A mellékelt kapcsolásban a 2 dióda és az ellenállás egy OR kaput valósít meg.(alatta az igazságtáblázata)
Hűha, megpróbálom értelmezni a mellékelt ábrádat, és a 2 kif nek is utánaolvasok, am nem akarom mindenképpen tranyóval megoldani, hanem ahogy a legegyszerűbb. Logikai kapuval már több helyen is találkoztam. Am erre van egy alkatrész?
És amit belinkeltél kép, az pontosan mit csinál?
|
Bejelentkezés
Hirdetés |














