Fórum témák
» Több friss téma |
Fórum » RIAA korrektor
Témaindító: Ghost Rider, idő: Aug 25, 2006
Erről beszéltünk - hasonló témában itt.
Sajnos mennyire igaz ez! Én mér pl hülyére kereshettem volna magam híres gyártók gitár, és billentyű effektjeinek klónozásával, de valahogy nem "áll rá" a kezem ... inkább elmolyolok egy hónapot egy effekttel, de azt én fejlesztettem, még ha negyed annyit sem kapok érte, mint egy klónért... de sokszor felmerül az emberben, ha mindenki féreg, akkor miért ne lehetnék én is féreg ... "kár" hogy van lelkiismeretem .
Ráadásul én szeretek a magyarországi kereskedelmi forgalomban kapható alkatrészekkel operálni, nem szívesen rendelek egymarék IC-t e-bayről, csak mert bihariborzaspetike nem ismeri a helyettesítő típust, és akkor meg sem veszi, mert az Elektro Harmonixben nem az van, olvasta a zinterneten... bocs az offért
Az újév örömére bedobozoltam a HIRAGA módos RIAA-t.
Még a tápegységet szeretném hozzá korrektül megépíteni.
Sokat tévedek, ha a doboz egy értékkazettából készült? Olyasmi formája van. Gratulálok, pofás lett!
Köszi!
Dohány doboz volt.De jól forrasztható, lehet, hogy horgany vagy horganyozott.
Mostanában nincs a család,közöttük én sem olyan állapotban,hogy RIAA korrektort építgetsek,de felteszem a MOSZKVAI által módosított RIAA korrektort LT1028-al.
A NYÁKOT teljesen újrarajzoltam,mert a régi nyákon már girbe-gurbák voltak a vonalak,ez így most szerintem szebb! Valamint a tápágban 2 darab 1µF-os tantál van,én az eredetinél mind a két korrektorhoz raktam. Most lehet látni,hogy a főtápágban vannak az 1µF-os kondik, mind a - mind a + tápágban. Így szerintem még jobban is néz ki! ![]() A nevemet nyugodtan lelehet róla szedni,és helyette ez építő nevét rá lehet írni! Jó építgetést mindenkinek!
Első megjegyzés. Ezt ugyebár annó együtt terveztük. A "jól néz ki" szó számomra nem ismert nyáktervezés közben Magyarázd meg például a "jól néz ki" szó jelentését egy osztott tápvonalas fóliainduktivitás és kapacitás mindenségét figyelembe vevő mérnöknek, aki épp heteket tölt el a számolgatással, hogy a hullámhossz passzoljon, és ha 2 mm-rel nagyobb alkatrész lábat, vagy ami azzal egyenértékű: nyák sávot hagy akkor ne gerjedjen, vagy épp nem is gerjed, legalább ne pozitívan csatolódjon vissza a jel. A nyák egyetlen funkciója az, hogy vezesse a delejt, és a lehető leginkább célravezető módon készüljön. Ha nem tévedek, használni akarod, és nem viselni. Belekerül egy árnyékoló ferromágneses fémdobozba (KÖTELEZŐ), és a kutya nem fogja rajtad számon kérni, hogy Krisztián, miért így vitted a vonalat és miért nem úgy? Majd a fizika fog "reklamálni", ha nem megfelelően húzod a vonalat vagy épp kiveszed a hidegítést mert a két kondi olyan snassz, ronda, meg drága. Áhh, minek van a kimenet meg a bemenet olyan messze egymástól. Spórolok 3 centi nyákot, közelebb viszem őket... Eredmény: instabil működés pozitív visszacsatolás és gerjedés a nem eléggé hideg tápon keresztül! Ez a felfogás vezette az ipart oda, ahová jutott. Minden eldobható, és épphogy átmegy az amúgy is egyre lazább minőségi mércéken.
Ha a kinézet és a működés között kell választanom, gondolkodás nélkül alá rendelem a külcsínt a belbecsnek. Nem muszáj követni azt, amit mondok. Ezt magyaráztam időt nem sajnálva, türelemmel. Úgy látom hiába! Annó 12 éves koromban én is stabilizálatlan tápról szerettem volna járatni az első RIAA-mat (Megrajzolta nekem a NYÁK-ot), pedig Gábor barátom megmondta, hogy nem lesz jó. Igaza lett.
Sajnos a gitárokat meg az effekteket nem értem...de a gitárerősítők hangját le tudom másolni, az nem balhé.
Ha nemlátnád,oda van rá írva "HIRAGA MÓD",amit
MOSZKVAI alakított át.
Egy észrevétel és kiegészítés a Hiraga módos RIAA-hoz!
A táp készítése közben a következőkre jutottam:Készítettem hozzá egy másik tápot és a trafót is egy jobb minőségű de pár volt-al nagyobb feszültségű cseréltem.A próbák során kiderült, hogy nem kényes a táp szűrésére elég volt oldalanként 1000uF. Stab táppal sem változott semmit a zaja.De a feszültségre kényes. Az áramkőr +-12V-al működik megfelelően! Kipróbáltam nagyobb feszültséggel /+-18Volt/ de a hangja olyannyira megváltozott, hogy már nem volt élvezhető. A mélyek szinte eltűntek a magasak meg elkezdtek torzítani.
Ennek a Hiraga módnak a rajza fenn itt valahol ? És az eredeti ?
Az eredeti az a LT1037 IC pdf adatlapján lévő minta.
Köszi.
Már csak a módot kell "megvárni"
Ne haragudj, de valahogy az a szokásom, hoyg megmondom mi hol van, onnantól egyenes az út. A PDF-et nem linkeltem be, mert a google kihozza.
Javítottam a rajzot a táp és trimmer beállításokkal./Bár a trimmer beállítást a PC már nem szerette, úgyhogy játszani kell vele hol szól szépen./
Az eredeti nyákot DuMatyi barátom készítette amit módosítottam és scooby szépítette!
Matyi! Az eredeti kapcsolás LT1028-ra szólt nálunk! Sokszor szajkóztad: "A visszacsatolás frekvencia függő." Igen! Akkor LT1028-hoz ne az LT1037 kapcsolását adjuk meg!
:hehe: Kicsit más értékekkel a visszacsatolásban,de ugyan ez a kapcsolás van az LT1028 adatlapjában is. Én megépítettem az eredetit is,és Moszkvai is,nekünk nem tetszett. Nyávog,kevés a mély,torzít. A Hiraga módot még csak Moszkvai építette meg,de már nálam is készülődőben van! Idézet: Mit csinál ? „nem tetszett. Nyávog”
Nagyon minimális mély volt benne,mondhatni semmi.
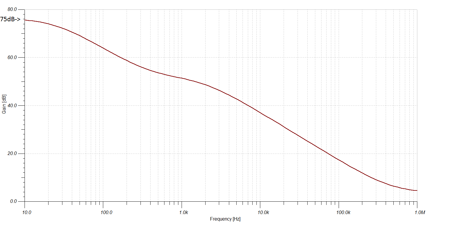
Azt hiszem az invertáló és a nem invertáló lábat néha az ujjammal rövidre kellett zárni,mert elkezdett betorzulni. Zajtalannak zajtalan volt. Most leteszteltem a HIRAGA módot,75dB-t nyomott. És ha tényleg ilyen jó a hangja,akkor nagyon megéri! Végül is az IC ingyen van,a többit meg fillérekért meg lehet kapni. csak az a 3,5V hogy a fenébe került a kimenetre? És vajon gyakorlatban is ott van,vagy csak így tesztelésnél? Lehet a lezáró inpedancián kéne csökkenteni egy kicsit?
A macskának se tettszik és nyávog. :wilting:
Vagy azokba az ICK-be lett beleintegrálva egy macska?
Nekem a régivel 2 kapásból tönkrement. Sebaj,van még ott,ahonnan az jött. Most hallgatom Moszkvai mintáit,engem meggyőzött. Meg fogom építeni! Sztereóban még szebben szól!
Számomra lehet hogy új,és érdekes dolgot vettem észre!
Most kerestem MP3-at,a BEEmp3.com-en,elég érdekes dolgokat tapasztaltam. Minél nagyobb bitrátájú zenét kerestem,amit azonnal meg is hallgattam a honlapon. Utána kíváncsiságból még meghallgattam a legkisebb bitrátájú MP3-at is,és az volt a jobb. Sokkal élesebbek a hangok,sokkal élénkebbek. Idézet: „Utána kíváncsiságból még meghallgattam a legkisebb bitrátájú MP3-at is,és az volt a jobb. Sokkal élesebbek a hangok,sokkal élénkebbek.” Akkor a nulla bitrátával lesz a legjobb! Én sokat próbálkoztam az MP3-al, de valahogy mindig a legmagasabbat használtam ,és néha semmi tömörítés nem lett a wav fájlhoz képest.... Maradt az eredeti méret, csak MP3. Amúgy Orion magnóval metál szalagra átvett CD "szinte" ugyan úgy szól! (a szinte azért van idézőjelben, mert lehet hogy valaki hallaná a különbséget)
Akkor nagyon komoly "zeneértő" lehetsz ....
Ezt csak azért írtam,mert ha esetleg valaki digitalizál,meglehet,hogy nem a legnagyobb bitráta lesz a legjobb. Fontos,hogy minél magasabb frekvenciákat is kiadja magából az MP3,a kellő mélyek mellett.
Milyen hangszóróval hallottad ezt? Mert szerintem nagyobb bitrátával csak jobb lehet.. Rosszabb biztos nem.
|
Bejelentkezés
Hirdetés |










:hehe:


