Fórum témák
» Több friss téma |
Fórum » Digitális forrasztóállomás
Nem az erősítés nagyságával van a gond... nem ezt írtam.
Ha pl. 300 fokot beállítasz és méred fél egy óráig öt percenként, közben jegyzed az értékeket. Majd utána megváltozott környezeti hőmérsékletnél (most nem nehéz) megismétled, ezt nevezhetjük tesztnek. Ha +- 5 fok között marad a hőmérséklet akkor tényleg alkalmas lehet a megoldás. "A tartja szépen a hőfokot" nem túl egzakt leírás. Különösen a megváltozott környezeti hőmérsékletre lennék kíváncsi! Amúgy sok sikert a projekthez (Az elektronok mindig jobban tudják a fizikát!)
Szia!
Már pár napja nézegetem a mikroBasic egyéni-karakter készítő részét, pár napon belül biztos rájövök hogy van . Még azon is gondolkodok hogy hogyan lehetne megoldani, hogy a valós hőmérséklet ne 200 ms-onként, hanem csak másodpercenként frissítsen. Ez is pár nap, aztán próba, és a honlapunkon fenn is lesz a 2.0-ás verzió.
Egy apró hiba a forrasztóállomásomban:
A PIC a fűtést néha nem kapcsolja be. Ennek az az oka, hogy a főkapcsoló zárásával, néhány pillanatig még instabil marad a feszültség, így a PIC ezt a program részt nem futtatja le megfelelően. Megoldás: A PIC 14-es lába (kapcsolási rajzon VDD PIC) s a +5V közé is egy 2-es számú kapcsolót kell tenni. Ilyen körülmények között az indítás: először zárjuk az 1-es kapcsolót, majd a 2-eset, így az első pillanattól kezdve stabil feszültséget kap a PIC. Üdv.: mate_x
110 kohmon
.Multimétert rátettem a pákavezérlő kimenetre, és kapcsolgattam a főkapcsolót és kb 20 ból egyszer nem indult be.
Végülis igazad van
, akkor nem kell kapcsoló
Igen, akartam is, csak nem volt türelem végig próbálgatni, inkább maradt a jó öreg Sprint Layout.
Tettem fel képeket a forrasztóállomásról, csak meg kell várni valamelyik moderátort, hogy elfogadja a cikk módosításait.
Néztem a Te kapcsolásodat is, de eltántorít a tápja, tekercs,trafók.....
Nem ártana ha összeütnél hozzá egy pofás leírást! :yes:
Igazad van, a gyanútlan szemlélőnek úgy tűnhet, hogy nagyon bonya. Az egésznek az alapja a Skori féle rezonáns kapcsolóüzemü tápegység. Skori is említi, hogy nem véletlenül hasonlít a rajz a kompakt fénycsövek tápjához.
Tehát szerezni kell egy rossz kompakt fénycsövet (energiatakarékos izzót) és kiszedni belőle az elektronikát. Ezt átalakítani a Skori féle tápegységgé már nem nehéz, mert szinte minden benne van, ráadásul a nyák is kész. Általában tranzisztorok a kapcsolók, ki kell cserélni FET-re. Én IRL740-est teszek bele. Ami nehezebb, az a kis toroid áttekerése. Skori alapján 2 x 13 menetet kell feltekerni, plusz egy menetet középre. Jó nehéz, mi? Már csináltam, vagy húszat, kb negyed óra. Amit még át kell alakítani, az a tekercs. Le kell tekerni a huzalt, hogy egy-két sor maradjon, ez kb 50 uH. Ha van induktivitásmérőd, úgy könnyebb. Ennyi az egész. A kis teljesítmény miatt nem használok védődiódákat és védő Zenereket. Már csak két kondira van szükség a félhídhoz, meg a trafóra. Ha van hely, a kondikat rá lehet helyezni a nyákra, vagy akárhova. A trafó PC táp nagytrafója, a szekuder oldali egyenirányító szintén PC tápból van. Még egy szűrőkondi kell és kész a táp. Ez az összeállítás többszáz Wattot tud, ide csak 50 Watt kell, nekem még kézmeleg sem volt (Vigyázz! 300 Volt DC) Bővebben: Link
Végül is nem sokban tér el szilva verziójától. Ő PC tápból oldotta meg. Szinte mindenkinél van otthon kisebb táp 200-250W-os. Nem kell trafót venni vagy tekercselni.
Bővebben: Link Ahogy leírtad nem nagy dolog megoldani, elég sok trafót tekertem már. Az a néhány menet nem lehet gond.Energiatakarékos izzót is biztos találok otthon. Dee.. van egy ötletem, olyan szépen leírtad folyamatot. Már csak tervezned kell egy panelt, leírást hozzá és már kész a cikk. Hát nem jó?!
Itt is egy jó megoldás:Bővebben: Link
Csak az volt a baj, amit mondtam.
10 kohmon vezérelve az mclr-t, is volt olyan, hogy nem kapcsolt be a fűtés vezőrlőjel. Kipróbáltam, hogy kapcsolót teszek a pic 14-es lába és a +5V közé, már semmi probléma, 40-szer is végig próbálgattam, és mindig bekapcsolt. Üdv.: mate_x
Ne haragudjatok! Megnéztétek már a PIC adatlapját, hogy hogyan kell a MCLR-t szabályosan bekötni? Lásd melléklet...
Én 16F877-nél jártam úgy, hogy a régebbi tapasztalataim alapján kötöttem be. Aztán csodálkoztam, hogy mindenféle hülyeséget csinál. Az adatlapban lévő áramkörrel ki lett egészítve és onnantól megszűnt minden gond.
Szia!
Nem haragszunk .Előbb kipróbáltam, amit küldtél, de itt is ugyanaz van, mint eddig, néha nem kapcsol be a jel, de a 2 kapcsolós megoldás még mindig működik .
Hmmm. Érdekes.
Akkor ez is bent marad az elektronikai rejtélyek között. Ki tudja... lehet valamit elbaltázott a program ASM-->HEX fordítása közben. de akkor ez lényegtelen. Ő így akar működni és kész...
Azért nem, akkor rejtély ez.
Egy könyvben (PIC kedőknek) olvastam, hogy ha túl nagy a pufferkondenzátor kapacitása a PIC előtt, akkor egybőli rákapcsoláskor művelhet furcsa dolgokat. Megoldás lehetne még a pufferkondenzátor kapacitásának csökkentése, de akkor meg lehet az lenne a baj. Jó így ez a 2 kapcsoló, ő így akar működni .
Nem tudom, hogy próbálkozott-e már valaki azzal, hogy a PIC mikrovezérlő analóg komparátoraival helyettesítse a hőelem jelét erősítő műveleti erősítőt? Bővebben: PICmicro Comparator Tips 'n Tricks
Néhány hozzászólással előbb írta t0bi, hogy az övé olyan, de szerintem azt a néhány mV-ot perecíz műveleti erősítő IC-vel érdemes felerősíteni a pontosság miatt.
p_istvan, addig hajtogattad az érveid (hála istennek)
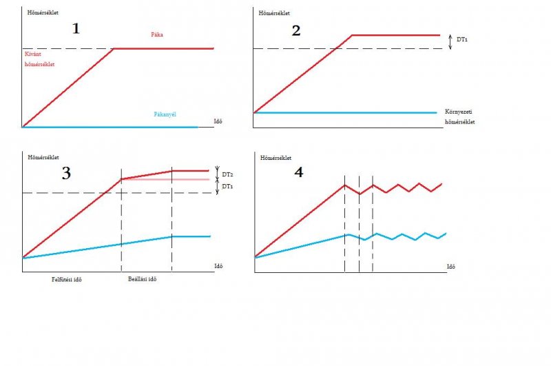
, míg leküzdöttem lustaságomat és nekiláttam áttanulmányozni az elméletet. A hőelemről találtam egy rövid, de nagyon jó kis leírást: melléklet pdf fájlja, érdemes áttanulmányozni.Nézzük meg, mit kell tudnia az ideális forrasztóállomásnak. Ha ezt tudjuk, meg lehet tervezni a legegyszerűbb áramkört, ami teljesíti a feladatot. Az elméletben egy csomó mindent egyszerűsíteni vagy elhanyagolni kell, különben beleragadunk a képletrengetegbe. A jpg mellékletben nézzük mindjárt a negyedik ábrát. Amikor a hőmérséklet eléri a beállított értéket, akkor a páka hője lecsökken, majd a hiszterézist követően megint melegszik ez egy cikk-cakkos vonalat ad, ami a szabályzó pontosságát tükrözi. Ha ez +- 2-3 fokon belül van, az elfogadható, tehát ez a kis változás elhanyagolható. A kék vonal a pákanyél (hideg forrpont) hőmérséklet-változását adja, ami töredéke az előzőnek, tehát ez még inkább elhanyagolható. A hőmérséklet-változások pl. általában exponenciálisak, de most lehet lineárisnak tekinteni. Az első ábrán az ideális szabályzó van. "0" fokról indul. A felfűtés után egyenes vonalat (állandó hőmérsékletet) ad. A második ábrán normál (szoba-) hőmérsékleten nézzük. Mivel az áramkör a hőelem feszültségét nézi, ezért túlszabályoz, tehát a páka hőmérséklete a környezeti hőmérséklet értékével magasabb lesz, mint a beállított. (DT1) Viszont van még valami, ami megváltoztatja a páka hőmérsékletét, ez pedig a pákán végigfutó hőterjedés. Ha melegszik a páka, a meleg átterjed a nyélre, ami addig melegszik, amíg az átterjedt hő meg nem egyezik a levegőnek leadott hővel, ezután állandó marad. Ez lehet, hogy több óra alatt jön létre. Ez megint ad egy plusz hibát, ami DT2. Persze ezen kívül van még néhány hiba előidéző pl. megfogjuk a páka nyelét, forrasztunk, stb, de ezeket el lehet hanyagolni. Tehát ezeket a hibákat kell egy jó forrasztóállomásnak kompenzálni. A DT1-et könnyű, csak a környezeti hőmérsékletet kell mérni és levonni a beállított értékből. A DT2 pedig jórészt anyagfüggő, ez azt jelenti, hogy egy konstans értéket kell kivonni a beállított értékből, ez mindig(?) ugyanaz. Ha ezt a két kompenzációt szoftveresen elvégezzük, akkor a páka hőmérséklete a beállított hőmérséklet lesz. Ez pedig nem nehéz. Folytatom majd az elmélkedést az áramkőrrel, de minden segítséget, kritikát szívesen veszek.
Köszi, hogy felhívtad a figyelmemet Skori féle kapcsolásra.
Hogy mi a fenének foglalkozunk még a trafókkal amikor ott van a sok hulladékban a megoldás. Kicsit rá kell hangolódni és 100x könnyebb teljesítményt is kihozni.
Köszönöm az információt, én elsiklottam fölötte.
Ami a precíz erősítést illeti: pont az egyik kritikus paraméterről, a bemeneti offset feszültség driftjéről nincs információ a PIC adatlapjában, tehát akár megfelelő is lehet...
Leszedtétek a cikket?
Gondolom most javítjátok, remélem hamarosan vissza kerül. Már eldöntöttem, hogy nem trafót fogok hozzá használni hanem rezonáns kapcs.üz. tápot. Jó munkát a kapcsoláshoz.
Nem, csak a kérésedre raktam fel képeket + a kapcsolási rajzba betettem még a K2-es kapcsolót, és meg kell várni, hogy valamelyik moderátor elfogadja.
Üdv: mate_x
Köszönöm.
Kaptam egy halom alapanyagot a táp részéhez!
Vissza is került a cikk, lehet nézni a képeket...
Ez tényleg nem akkora rejtély.
![]() A reset lábon előbb kialakul a megfelelő feszültség, mint a PIC tápfesz lábán. Ez több okból is lehet. Néhány dolog, amit érdemes megfontolni :- két tápot használtok (nem értem csak a reset jelnek miért kell egy komplett táp???), a reset tápon, vszínű a kisebb terhelés miatt előbb kialakul a reset jel. (Ráadásul így, hogy két kapcsolót használtok, teljesen felesleges a reset jeli táp.) - a reset lábra egy 100nF körüli kondi kellene (lehet kisebb, v. nagyobb, ki kellen kísérletezni), hogy a reset jel felfutása lassítva legyen (viszont nagy kondit sem lehet, mert a lassú jel sem jó) - használhatnátok a belső reset áramkört (szerintem a reset kapcsoló is teljesen felesleges). És szintén használhatnátok a beépíttett brown-out és a watch-dog áramköröket a PIC reseteléséhez. Akkor nem lenne ilyen problémátok, hogy időnként nem indul el az áramkör. Már több PIC-es áramkört építettem, ezekből egy pár ipari környezetben működik, de még egyikkel sem fordult elő, hogy ne indult volna el (van ahol egy 3 fázisú 20kW-os motor néhány másodpercenként "megrángatja" a betápot. Mondjuk én minden esetben a belső reset áramkört használtam, és használom az előzőekben felsorolt belső áramköröket. Igaz ezek miden esetben a 18F sorozatból kerülnek ki, de nem gondolom, hogy a 16F-nél ez másképp lenne. Nézzetek utána, lehet akkor "bolondbiztosabb" lesz az áramkörötök. Ill. néhány észrevétel: Hiányolom a külső hőmérséklet kompenzációt is. Igaz ezt a legkönyebben a nyákon lehetne megoldani, és nem a nyélben, ahol pontosabb lenne, de ez is több lenne, mint a semmi. Így a páka simán 25-30 fokkal melegebb, mint amit mutat. Nyilván nem sokat számít, ha az ember sima alkatrészeket forraszt (bár bizonyos smd-knél már érdekes lehet), de ha már épí vki egy digitális forr. állomást akkor az már legyen pontos, amennyire lehet.A 78L05-ös helyett használhatnátok kapcsolóüzemű tápot az 5V előállítására. Ebben az esetben a melegedés 0 és simán elviszi az egész áramkört. A kapcsolóüzemtől sem kell félni. Megfelelően szűrve a digitalizálás pontossága sem csökken ennek használatával.
igen, olyan régen írtam, hogy újra meg kellett nézzem.
Ez igaz, én akkor csak képeket tettem fel. Azt is inkább a méretek miatt. Azért kezdőknek pár kép kevés lenne... Viszont teljes leíráshoz (esetleg cikk) nincs időm. Viszont szívesen válaszolok, ha tudok a témában segítséget adni. A kontroller típusa mindegy, ahogy írtam is. A lényeg a benne futó program, amit vagy te írsz, vagy másokét használod. Természetesen a kapcsolást ennek megfelelően válaszd ki. Sima hálózati trafós táphoz én vettem anno készen Solomon vezérlőhöz valót, 3-4e között volt. Tekercseltetni is lehet, talán úgy olcsóbb. Jó ha van egy segédtápnak való kisebb feszültségű szekunder tekercs is. Ezzel csökken a vezérlés tápján a hőveszteség. Kapcsolóüzemű táphoz pedig aránylag egyszerű házilag is trafót elkészíteni, de gyakorlat nem árt és a táp maga jóval bonyolultabb! Valamint fokozottan kell ügyelni a megfelelő szigetelésre!
Szia!
Először is az MCLR-nek nincs külön tápja, ugyanazt kapja, mint az egész PIC. Egy következő verzióban lehetséges, hogy eltűntetem a RESET gombot, és program által lesz megoldva. Megfontolom a külső hőmérséklet kompenzációt is, bár a szobában általában minidig ugyanakkora hőmérséklet van, az a pár fok meg túl sokat nem számít. 25-30-al biztos nem mutat többet, +-10 fokos tűrésben benn van. Amúgy köszi az észrevételeket! Üdv.: mate_x |
Bejelentkezés
Hirdetés |




. Még azon is gondolkodok hogy hogyan lehetne megoldani, hogy a valós hőmérséklet ne 200 ms-onként, hanem csak másodpercenként frissítsen. Ez is pár nap, aztán próba, és a honlapunkon fenn is lesz a 2.0-ás verzió.
.

.
. 
Ami a precíz erősítést illeti: pont az egyik kritikus paraméterről, a bemeneti offset feszültség driftjéről nincs információ a PIC adatlapjában, tehát akár megfelelő is lehet...





