Fórum témák
» Több friss téma |
- Ez a felület kizárólag, az elektronikában kezdők kérdéseinek van fenntartva és nem elfelejtve, hogy hobbielektronika a fórumunk!
- Ami tehát azt jelenti, hogy a nagymama bevásárlását nem itt beszéljük meg, ill. ez nem üzenőfal! - Kerülendő az olyan kérdés, amit egy másik meglévő (több mint 17000 van), témában kellene kitárgyalni! - És végül büntetés terhe mellett kerülendő az MSN és egyéb szleng, a magyar helyesírás mellőzése, beleértve a mondateleji nagybetűket is! Idézet: „a két sárga és a fehér alkotja a hármast.” Tehát a 2 sárga a kimenet, a fehér a közép. Mintha kicsit színtévesztő lennél.
Elnézést, én a képet néztem, ott nem láttam színeltérést. Tehát tudunk mindent és ez nagyon jó! Szimmetrikus tápegység
A hozzászólás módosítva: Okt 2, 2012
Szia! Sajna elég nagyot. Ha 80W-os pl a driver, akkor minimum 100W-osnak kell lennie a kettő összegének, az osztás arányának megfelelően. De mégis mekkora az osztás, mekkora a driver? Egy sima előtét ellenállás nem lenne elég?
Hát látod ez lehet. Nem is komoly célokra akarom használni, arra ott a Sony fülesem. Egyszerűen jó volt megjavítani. Annyira mondjuk lehet nem éri meg, hogy egy drága fejes alkatrészeit építsem bele, de "falura elmegy".
Idézet: „Ha hallgattál volna, bölcs maradtál volna. (Boethius)”
Ettől még a meghatározás számomra idétlen marad! üdv! proli007
Törölve
A hozzászólás módosítva: Okt 2, 2012
A szakmai (és póri) nyelvben igen sok "idétlen" meghatározás van, mégis használjuk, mert aki abban a körökben forog, az megtanulja és érti miről van szó.
A driver egy speciális magas-sugárzó hangszóró. Míg a dóm, vagy piezo magasok a hagyományos hangszórók pici változata, addig a driver egy speciális nyomókamrás, általában ferrofluid hűtéssel ellátott változata. A driver (meghajtó) szó a nyomókamrára utal. A hangerőt növelendően, ahogy a piezó hangszóróknál is, lehet elé tenni tölcsért. Így lesz belőle tölcséres driver, horn driver, azaz: tölcséres nyomókamrás magas sugárzó. Sép nyelv a magyar, de ne akarjunk mindenáron mindent lemagyarítani. Főleg a szakkifejezéseket. A hozzászólás módosítva: Okt 2, 2012
Sziasztok, van egy PC tápom, és az lenne vele a bajom, hogy nem megy.
Bedugom, bekapcsolom és semmi, nem mérhető semmi, de a ventilátor sem megy, aminek hűtenie kell. Nem akartam méricskélni , nehogy rövidre zárjak valamit, mi lehet ennek a baja, érdemes e megcsinálni ? Egy szép 550W -os táp, tehát kár lenne kidobni :S Köszi!
Szia! A zöld vezetéket le kell testelni, azaz összekötni a mellette lévő feketével. Ha jó a táp, akkor elindul.
Szia, ha a nagy zöldre gondolsz, ami bejön a fázis és a nullával együtt az rajta van a dobozon.
Dehogy is! Bár annak is ott kell lennie, de az zöld-sárga, és az a védővezeték. Én az alaplapra menő csatlakozónál lévő zöldre gondolok. Azért egy szétszedett, áram alatt lévő tápban nem kéne nyúlkálnia annak aki nem szaki.
Szia!
Itt egy rajz, hogy mit köss össze a számítógépnélküli indításhoz. Bővebben: Link A hozzászólás módosítva: Okt 2, 2012
Nincs áram alatt, és a védőföldet csak azért kérdeztem, mert nem értek a kapcsolóüzemű tápokhoz, akkor az jó, hogy ha a zöldet a mellette levő feketével zárom?
Ez amúgy miért van? Mi a zöld célja?
Köszi, akkor most már összekötöttem, de csak holnap próbálom ki, mert ha véletlen lecsapná a biztosítékot, akkor felkelteném a ház lakóit, elég hangosan kattan.
Előre is köszi!
Ha megnyomod a PC bekapcsológombját, vagy a BIOS-ban be van állítva automatikus bekapcsolás... akkor az alaplap ezt a zöldet letesteli, s így bekapcsolódik a PC.
A hozzászólás módosítva: Okt 2, 2012
És ahogyan a képeken is látszik, nem csak összeérinteni kell, hanem tartósan összekötni.
Hello!
Oké, de akkor használjuk a magyar, vagy az angol kifejezést. Egyébként nem kell magyarítani csak használni. Majd 60 évvel ezelőtt, az utcán ordibáló "pléhkisasszony"-nak becézett hangszórókról is tudta minden "szakmai" hogy nyomókamrás hangszóróról van szó. Nem volt benne semmi különös, mint ahogy ma sincs benne. üdv! proli007 A hozzászólás módosítva: Okt 2, 2012
Idézet: Dj Clean az angol driver kifejezést használta. Kadarist, hogy tudjon segíteni, illedelmesen megkérdezte, hogy az meg mi fán terem. A többi fejleményt is láthatod. Örülünk annak ha egy kezdő értelmesen tud kérdezni. Erre jön egy, a kezdőnél még járatlanabb és nekiáll poénkodni. Kezd elegem lenni ebből. Lehet, hogy a vacak idő miatt vagyok ilyen érzékeny, de lehet, hogy igazam van. „használjuk a magyar, vagy az angol kifejezést.”
Szia, ma kipróbáltam, de így sem jó, úgyszintén nem csinál semmit...
Sziasztok!
Elemlámpa programozásba szeretnék kicsit mélyebben belemerülni ami Atiny13 pic programozást jelentene. Először is egy modult keresek ami összeköti nekem a számítógéppel. Erre gondoltam először Sohase foglalkoztam még ilyennel ezért az lenne a kérdésem, hogy ezzel össze tudom-e a fenti pic-et kötni számítógéppel? Olcsóbb megoldás is érdekel, akár használtan is. Szükségem lenne még (nem tudom mi a pontos neve) olyan csipeszre amit csak rácsíptetek a pic-re és nem kell mindig kiszedegetni a nyákból. Ilyent hol tudok venni? Vagy mi a neve? Ksözönöm!
Kipróbáltam, működik, de ahogy a kondi kisül egy elhalkuló hangot ad a végén. Bár lehet kisebb kondival nem vettem volna észre, mert alapba gyorsan kisülne. De szerintem megépítem én a te verziódat is.
Na mivel bonyolódik a dolog, átköltözök a saját topicjába.
Üdv mindenkinek!
Villanyszerelő tanulóként azt a szorgalmi feladatot kaptuk, hogy tudjunk meg minél többet a teljesítményillesztésről ,arról ,hogyan lehet elérni a P max-ot. Valaki el tudná magyarázni? Köszönöm.
Mondjuk villanyszerelőknél pont nem értem a problémát, mert pont ott nincs. Az energiaellátó generátorok feszültség generátorok, a belső ellenállásuk igen kicsiny. Hogy nézne ki, ha a paksi atomerőműnek a 4 MW teljesítmény kelljen elfűtenie, hogy a hálózatba 4 MW -ot adhasson teljesítmény illesztés esetén.
A valóságos feszültség generátor jellemezhető egy ideális feszültség generátorral, aminek a belső ellenállása nulla, és egy ezzel sorbakapcsolt ellenállással, ami a belső ellenállást jelképezi. Ha a terhelés pont akkora ellenállású mint a belső ellenállás, akkor a teljesítmény egyenlően oszlik meg a két ellenállás között. (feszültség osztó) Ha csökken a terhelő ellenállás, az áram is nő, így a feszültség, ezért a teljesítmény nagyobb része a belső ellenállásra esik, tehát a hasznos teljesítmény csökken. Ha a terhelő ellenállás nő, akkor az áram csökken, ami szintén a hasznos teljesítmény csökkenését eredményezi. Használd a P = U× I; A P = U^2 / R; P = I^2 ×R képleteket, és az ohm törvény megfelelő alakjait. A hozzászólás módosítva: Okt 3, 2012
Mondjuk a gugli első oldalon ad csomó találatot ami mindegyike releváns valamilyen formában. Például ezt is. Bővebben: Link
Ugyanakkor ezt a kérdést is lehet többféleképpen is értelmezni. Szintén a neten utána nézve, "villanyszerelő nyelven" mást is jelenthet. @peter19:: Örülök neki hogy a szorgalmi feladatnak is nekilátsz Ha elolvasod az a kugli első tíz találatát (és értelmezed), olyan csodás dolgokat tudsz majd mondani amit a tanár úr is élvezettel hallgat majd
Az igaz, hogy van irodalom, de jobb ha megjegyzi, hogy a kivehető teljesítmény az optimum előtt a feszültség, utána az áram csökkenése miatt csökken.
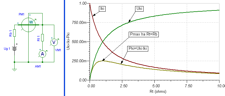
Hello!
Egy szimuláció, ami lehet segít a megértésben. Itt, egy 1V feszültségű áramforrás van, melynek belső ellenállása 1 ohm. Az Rt terhelő ellenállás értékét változtatva látható, hogyan alakulnak a feszültség-áram-teljesítmény viszonyok. üdv! proli007 |
Bejelentkezés
Hirdetés |










