Fórum témák
» Több friss téma |
Fórum » Hangsugárzó építés, javítás - miértek, hogyanok
Témaindító: csonthulye, idő: Dec 10, 2005
Témakörök:
A jó hangszóróválasztás az alapja.
Sziasztok!
Van egy pár saját magam által épített hangsugárzóm, amibe van egy egy Pioneer TS-W309S4 mély nyomó, és egy Pioneer TS-A2511 teljes frekvencia tartományú koax hangszóró. A subwoofer 300W névleges 1000W zenei teljesítményt képes leadni. A koaxiális pedig 100W névleges, 400W zenei teljesítménnyel bír Mos csak sebtében raktam össze a ládát az az a két hangszórót ládánként, csak simán sorba kapcsoltam egymással hogy meg legyen a csatornánkénti 8 Ohm impedancia. A rendszert egy JVC A-S5 sztereó erősítővel üzemeltetem (300W) A Kérdésem annyi lenne, hogy nem árt a mély hangszórónak az hogy megkapja a teljes hallható frekvencia tartományt, mert nincs egyik dobozban sem hangváltó. Mennyiben befolyásolja ez a hangszórók működését? Ha lehet sorba lehet kötni egy 4 Ohm impedanciájú hangváltót a Koaxiális hangszóróval?
Hali!
Remélem jó témába írok de ha nem elnézést...Van egy meglévő hangfalam (GENIUS SW-2.1 355), és ebben a mélysugárzót szeretném kicserélni nagyobbra, többi az megfelel úgy ahogy van ![]() Abban szeretnék segítséget kérni, hogy ezt hogyan lehetne megoldani? Gondolom kell egy kisebb erősítő, ami a meglévő jelet erősítené. Mélysugárzónak max 30-40W-osra gondoltam. Mondjuk egy ilyenre: Link Nem vagyok sajnos túl jártas az elektronikában, ha lehetséges kapcsolási rajzot, és hozzá tartozó értéket kérnék. Köszönöm! Üdv!
Üdv!
Ha jó minőséget akarsz, akkor mindenképpen ajánlom, hogy saját aktív subládát tervezz és csinálj! Linkeltem melyikre gondoltam. Ládát a hangsugárzó paraméterek ismeretében a winisd ingyenes programmal tudsz tervezni. Én is saját tervezésű aktív szubot csináltam a link alapján, részben a fórumozók segítségével, és azóta megoldódott a problémám, vagyis hogy nincs elég mély. Elhelyeztem megfelelően 30cm re a faltól és tökéletes lett. Az elektronika tda7294hídban ennek a rajza is itt van a fórumon. Remélem segítettem! Üdv!
Írtad hogy
Idézet: , de szerintem lemaradt a link, majd légyszíves küld el „linkeltem melyikre gondoltam” ![]() Ha már külön ládát csinálok, akkor viszont már valamennyivel nagyobb teljesítményű sugárzóhoz csinálnám. Akkor mire van szükségem? Ugyan úgy egy mély erősítőre, és azt rákötni a meglévő hangfalam 'mély' kimenetére? Nem találtam sajnos a TDA7294 -hez tartozó kapcsolást, pontosabban találtam, de nem tudtam megítélni hogy az jó e nekem. Köszönöm, Üdv!
Üdv!
Nekem egy Somogyi AHX 3040 30cm mélyhangszóróhoz tervezett refelx ládám van. (winisd vel saját tervezés) Hangváltó nem szükséges illete felesleges, mert a linken amit találsz erősítőt ahhoz van egy szintillesztő szintező valamint szűrő áramkör egyben. Ez az áramkör előerősít, alul is és felül is vág, és ennek a kimenetét kell a 7294 bementére kötnöd. Más nem is szükséges hozzá, de ha gondolod azért egy hangfalvédelem nem árt. Nekem elég amúgy 56nm alapterületre 1db 7294 is szubnak, csak próbaképpen csináltam meg a hidast is. A hidas brutálisan szól . A hidas rajzot mellékelem, ezt csináltam meg és működik tutira. !
Udv mindenkinek!Szeretnek elkesziteni ket db top sugarzot.[mellekelem is hogy melyket] A kerdesem az lenne hogy nagy baj lenne,ha az erositot beleepitenem?Sok helyet foglalna benne?Gondolom akkor mar kisebb az urtartalom is stb.
Üdv!
Ha jól akarod csinálni szerintem mindig a hangszóróhoz tervezz ládát! Ha erősítőt is teszel bele akkor azt célszerű a dobozon belül egy kis dobozba tenni, valamelyik sarokba hátulra amibe az erősítő rész lesz és a térfogatot növeld meg az beépített erősítő által elfoglalttal. Így a csatlakozók mellett sem fúj át a láda, ami rossz hangot adna. Ezzel a megoldással amit kigondoltál annyi a gond, hogy tápból is kettő kell. Frontoknak bőven elég 1-1db 7294el felépített erősítő, szubnak szoktak 2db hídba kötött 7294et használni, bár nekem panelba szubnak is elég 1db. Én aktív szubot terveztem és csináltam. Nagyon jó lett, csak ajánlani tudom. Sajnos a gyári autós reflex ládám nem volt jó a hangszóróhoz, sajátot kellett csinálnom.
Udv!Koszonom.Ezen gondolkodtam enis hogy hogyan kellene megnovelnem a teret,es arra jutottam hogy a trapez forma helyett elkeszitem sima teglalapalakuva es ott nyerek terfogatot.Trafo ha minden igaz akkor lesz ket egyforma,na de most nekem telleg a trafon all vagy bukik h aktiv agy passiv ladam lesz.Mar nagyon sokat belinkeltem hangszorot hogy melyket akarom hasznalni,nekem topba a vf2 270w os lesz.Azert belinkelem hogy lasd,itt Romaniaban egy ceget sem tudok ahonnan pontos adatokkal rendelkezo hangszorokat arulnanak,es igy azert fordultam hangszorotervekhez,mert igy nem nagyon lehet megtervezni a ladat.A teljesitmeny pedig azert ekkora,mert gondoltam ha csinalok valamit akkor az jol tartson,mert lehet fog szolni kulteren is .[kitudja milyen bulikat fogunk a haverokkal rendezni.]Tavoli tervbe van majd ket db 400w os vf2 az pedig ket db 18" subnak.Igaz ahoz meg kell egy kis penz ... na meg sok ido.Koszonom.
Udv!Davidd
Ha Sal vagyis Somogyi hangszórót választanál, az jó ár/érték arányban van és vannak hozzá paraméterek is. Ezt ajánlanám neked. Szerintem megoldható romániába is a szállítás.
A szlovákokhoz biztosan tudom hogy szállítanak. Link: www.sal.hu
Sziasztok!
Keresek egy pár Fostex FE126En hangszórót. Van egy általam épített Buschhorn tölcséres dobozom. Most egy pár Monacor hangszóró van benne, szépen szólnak, épp hogy bejáratódtak, de kíváncsi vagyok ezekre a fostexekre. Az ára duplája az enyéimnek, vajon a hangja is? Üdv néktek!
Pontosabban: Monacor SPH-68X/AD az én hangszóróm. Esetleg más 125-ös, az enyémnél jobb hangszóró is érdekelne.
Idézet: „Az ára duplája az enyéimnek, vajon a hangja is?” Csak egy egyszeru kerdes: hogy allapitod meg ket hangsugarzorol (vagy akar hangszororol), hogy "az egyik hangja duplaja vagy sem a masiknak"? Mi a mérce? Ugy gondolom, hogy nem egy adott dobozhoz kellene valogatni a hangszorokat, hogy melyik fog a legjobban szolni benne, hanem az adott hangszorohoz kellene tervezni dobozt, hogy a ketto egyutt teljesitsen jol.
Szevasztok!
Most barátkozom a Bassbox Pro 6 hangfaltervező programmal. A kérdésem a következő:mit jelölnek a QL és F3 röviditések?
Ajanlom figyelmedbe a program segitseget (F1). Sok hasznos dolog le van ott irva
Szevasztok!
Egy gyors kérdés: ha egy magassugárzóval sorosan kapcsolok egy 4uf-os kondenzátort(egyszerü hangváltó) akkor hány hz-től kezd el szólni?
Szia! A kondenzátor - bármilyen is az értéke - a frekvencia növekedésével mind kisebb ellenállást képvisel. A 4µF kondenzátorral sorba kötött hangszóró egészen mély hangoknál is megszólalhat, csak értelem szerűen halkan. Leegyszerűsítve a számítást: a 4µF kondenzátor 5kHz-en 8 ohm, 10kHz-en 4 ohm reaktanciával rendelkezik. A helyzetet bonyolítja a hangszóró induktivitása, és a frekvencia függvényében változó ellenállása. Tehát a kérdésedre nem tudok konkrét választ adni. Csak érzékeltetni szerettem volna azon "csoda"programok értékét, melyek pikk-pakk dobálják kifelé a µF-okat, uH-ket és Hz-eket
Azokkal a "csoda"programokkal nincs semmi baj, teszik a dolgukat, azaz helyettunk szamolnak. Gondolkodni viszont nem tudnak igy ha a felhasznalo nem ismeri az elmeleti hatteret illetve, hogy mit miert csinal akkor teljesen felesleges hasznalni oket.
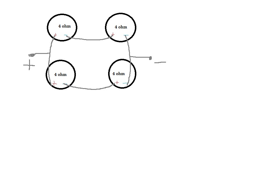
Sziasztok!
Ha adott 4db 4 ohmos azonos hangszóró amelyet ha úgy kötök ahogy a képen is van akkor az +hány dB? Mert ha két azonos hangszórót kötök akkor az +3dB növekedést eredményez. Itt mennyit?
Sziasztok.
Szeretnék építeni egy mélyládát, lehetőleg olcsón. Max 30 ezret költenék rá. Szerszám minden van, szomszéd profi mindenben. 15"-os hangszóróra gondoltam, és zárt ládára, mert hurcoglatnám mindenféle helyre, bulikban használnám. Kérdés, hogy milyen terv alapján csináljam és milyen hangszóróval? Köszi a válaszokat!
Pl ha a soros párhuzamos kötést alkalmazod 4db 89,27 dB/1W/1m hangszórónál akkor 95,29 dB lesz az érzékenysége.Ehez még hozzájöhet a doboz kiemelése stb. Szerintem számolhatsz 96-al. Az impedancia szinte ugyanaz.
Szia.
Zárt ládával nem tudsz eléggé mélyre menni, mindenképpen bassreflex kivitelt javasolok. Bővebben: Link Ha 30 ból akarod kihozni akkor ez fér bele a keretbe.
Köszi. Ehhez a 400w-oshoz lehet építek 270es vf2 erősítőt. És valami tervet tudsz mutatni?
Üdv Mindenkinek!
Szeretném a segítségeteket kérni mert a WinISD- nevű programtól nem kaptam, Lenne egy Lightning Audio Bolt B2.12.4-es sugárzóm és ehhez kellene valami ládikót barkácsolnom. Egy Peugeot 406 sedanba lenne nem tudom ez mennyire befolyásolja, erősítőm még nincs sajnos hozzá, de jövő hónapban megpróbálok beszerezni 1-et, mellékelem az adatait is. Segítségeteket előre is köszönöm!!
Sziasztok.
Azt szeretném megtudni, hogy ha egy reflexcsövet 3cm-el lerövidítenék (150mm helyett 120mm) Milyen változást eredményezne? Gondolom elcsúszna a hangolás, csak azt nem tudom, hogy alacsonyabra vagy magasabbra hangolná a dobozt. Köszönöm |
Bejelentkezés
Hirdetés |




de ha nem elnézést...







