Fórum témák

» Több friss téma
Fórum » Irányítástechnikai tagok létrehozása
Lapozás: OK   3 / 3
(#) El_Pinyo válasza pumuklii_t hozzászólására (») Máj 10, 2011 /
 
Szia!
Sajnos a doc file megnyitása után nem látom a karaktereket. Azért megpróbálok segíteni.
Átviteli függvény: (1+s(L2/R3))/(1+s([L1+L2]/R3))
Számszerűen a megadott adatokkal:
Transfer function:
5*10^(-007) s + 1
------------------------
1*10^(-006) s + 1

Az átviteli karakterisztikát (frekvenciafüggvényt) az előző átviteli függvény s = jw helyettesítésével kapod meg.
A csatolt képeken a Bode, illetve Nyquist diagramokat láthatod.
(#) pumuklii_t hozzászólása Máj 10, 2011 /
 
nem tudom mennyire számít már áttettem pdb-be
(#) pumuklii_t hozzászólása Máj 10, 2011 /
 
Hát ez most nagyon sokkolt!!!
Nagyon köszönöm a segítséget!
Köszönöm, köszönöm, köszönöm!!!
Még egy kérdésem lenne, mi a program neve amivel elkészítetted a diagrammokat?
(#) El_Pinyo válasza pumuklii_t hozzászólására (») Máj 10, 2011 /
 
Szívesen!
A program neve MATLAB, de biztosan van más egyéb alkalmazás is ilyen feladatra. Nagyon sokoldalú, de nem hiszem, hogy csak erre érdemes lenne letölteni, elég nagyméretű és relatíve erős gépet igényel.
A pdf doksit már tudom olvasni, viszont nem jó az átrendezésed. Mindig arra kell törekedni, ha Bode diagramot kell rajzolni, hogy az átviteli függvény valami hasonló alakot öltsön: A*(1+B*s+...)/(1+C*s+D*s^2+...), mint ahogyan azt én is csináltam. Ilyen alakból könnyű leolvasni az időállandókat, stb.
(#) pumuklii_t hozzászólása Máj 10, 2011 /
 
Az én átviteli függvényemből mi az A?
A tag erősítésének abszolút értékét határoznám meg w=100 értéknél. csatolok egy pdf-t.
A j tag hogy esik ki? Tudom hogy 20*lg... ként kell meghatározni a dB-t, de hogy azzal mit kell csinálni... Vagy csak ennyi a feladat?
(#) El_Pinyo válasza pumuklii_t hozzászólására (») Máj 10, 2011 /
 
A Te átviteli függvényedben az "A" frekvenciafüggetlen erősítés R3/R3, azaz A = 1.
A Bode amplitúdó diagramot úgy kapod meg, hogy az átviteli karakterisztika (Y(jw)) abszolút értékét képezed, tehát jelen esetben behelyettesíted az w=100 rad/sec-t, majd abszolút értéket számolsz, majd dB-re váltod át az eredményt. Ez matematikailag egy komplex szám abszolút értékének számítását jelenti.
(#) pumuklii_t hozzászólása Máj 10, 2011 /
 
ezt a pdf-ben meg is csináltam félig, csak ott akadtam el hogy nem tudom hogy a j-nek mi lesz az abszolút értéke. Azt tudom hogy a négyzetének a gyökét kell venni, de annak mi értelme?Nincs benne negatív tag, így csak pozitív számot kaphatna.
Jelenleg így állok:
(1+j*10^-5*5)/1+j*10^-4
Simán 1-nek veszem j-t? Próbáltam "sany"-nak ugyanezen feladatrészét megoldani, de ott sem jött ki az az érték(nekem 0,5238->-5,61dB). Mit rontok el?
(#) El_Pinyo válasza pumuklii_t hozzászólására (») Máj 11, 2011 /
 
Idézet:
„Mit rontok el?”

Nem tudsz komplex abszolút értéket számolni.
Javaslom járj utána, hogyan kell komplex szám algebrai alakjából abszolút értéket képezni. Ez nem elektronika, hanem matek. A google segít, rengeteg példa van a neten.
(#) pumuklii_t hozzászólása Máj 11, 2011 /
 
El sem hiszem!!! Megcsináltam!!! Nem voltam tisztában a komplex szám jelentnésével. Hát már 5 éve nem hallottam ezt a kifejezést.
De lehetséges, hogy az eredményem:
-0,000000032 dB ?
(#) El_Pinyo válasza pumuklii_t hozzászólására (») Máj 11, 2011 /
 
Nem számoltam utána, de visszanézve a korábban feltöltött Bode diagramon, 100 rad/sec- hoz 0 dB körüli érték tartozik, úgyhogy lehet jó a megoldásod.
(#) pumuklii_t hozzászólása Máj 11, 2011 /
 
Nagyon nagyon köszönöm a segítséget, nem tudom meddig jutottam volna a házival , ha nem segítesz.
Sajna van még egy pár kérdésem.

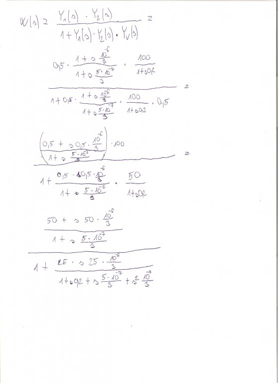
Stabilitási vizsgálatnál ha meg van adva hogy az Y1 az a már kapott frekvencia függvény((1+jwT)/(1+jw2T)), Y2= 100/(1+jw0,2), Yv=0,01 és Hurwitz kritériummal kell ellenőrizni, akkor én nyitott kör átviteli függvényét úgy írom fel: W(s)=Y1*Y2*Y3, aminél én az Y1-nél az A helyére 1+jwT - írtam. Vagy ahogy azt már írtad, az R3/R3 miatt az 1?
Kiszámoltam a zárt átviteli kört is, és a végén mindkettőbe s=0 értéket behelyettesítettem. Nyíltnál 1 jött ki a zártnál 50. Mi ennek a jelentősége?
(#) pumuklii_t hozzászólása Máj 11, 2011 /
 
Oh, most olvastam amit írtál. Ez szuper.
(#) pumuklii_t hozzászólása Máj 12, 2011 /
 
Uki=Ube*(1/1wC2)/(jwL1+1/1wC2+R1) - nek nekem az átviteli függvénye nekem:
1/(s*C2*R1+1+s^2*L1*C2), lehet ezt tovább egyszerűsíteni? Az A értéke itt is 1?
(#) pumuklii_t hozzászólása Máj 12, 2011 /
 
Tegnap 12:55-kor írt üzenetemet folytatnám.
Kiszámoltam Hurwitz kritériummal (determináns, másodfokú megoldóképlettel) és negatív szám jött ki x1-re és X2-re is. Lehetséges ez, vagy elszámoltam magam?
(#) ipjraag hozzászólása Nov 28, 2011 /
 
Sziasztok!

A mellékelt feladatban kérném a segítségeteket, mert sehogy sem boldogulok vele.

A frekvenciafüggvényt és az átviteli függvényt szeretném meghatározni és a frekvencia függvényt közelítő Bode diagramot kellene ábrázolnom!

Sokféleképpen próbálkoztam de sehogyan sem jön össze. Leginkább az zavar meg, hogy minden elem párhuzamosan van kapcsolva.

Bármilyen ötletet, megoldást szívesen fogadok.

IMG.pdf
    
(#) pulsar hozzászólása Nov 29, 2011 /
 
Sziasztok
A segítségeteket szeretném kérni irányítástechnika témában.
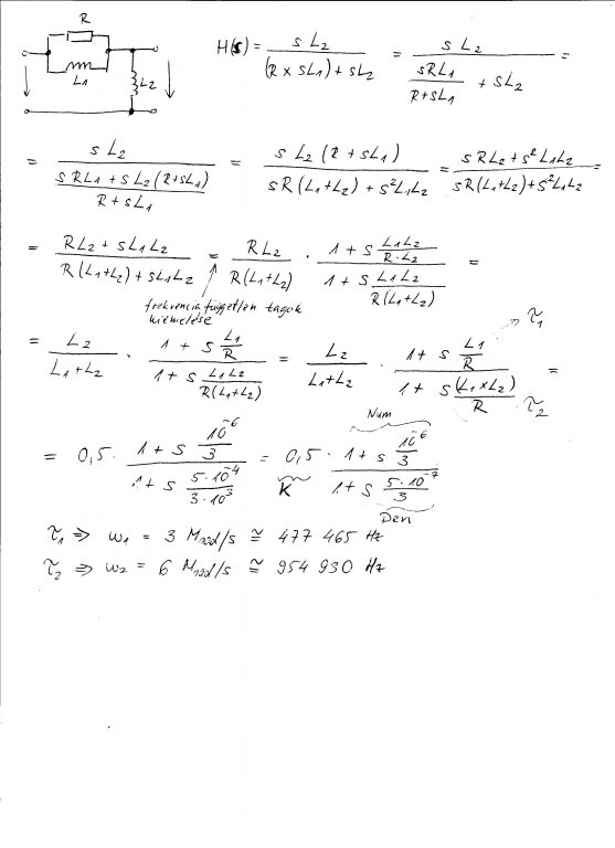
Kaptam egy kapcsolást ami alapján fel kellene írnom a frekvencia és átviteli függvényt. Ez meg is történt, de nem hiszem, hogy amit kaptam eredményként az a legegyszerűbb alak.
A másik kérdésem az lenne, hogy ezekből a függvényekből hogyan lehetne számítógéppel készíteni Bode és Nyquist diagramot (pl: scliab...). (úgy szeretném megrajzoltatni, hogy a program számolja a pontokan a képlet alapján, ne kelljen megadnom konkrét értékeket)
Az első képen van a levezetés és a kapcsolás, a másodikon pedig az az alak amit a legegyszerűbbnek gondolok (az utolsó sorban a közelítő bode diagramot kezdtem el)
Előre is köszönöm

1.jpg

2.jpg
   
(#) El_Pinyo válasza pulsar hozzászólására (») Nov 29, 2011 /
 
Szia!
A csatolt fájlok között megtalálod a feladatod levezetését és a legegyszerűbb átviteli függvényt. Mindig célszerű ezt az alakot használni (ún. Bode alak), mert ebből könnyen lehet közelítő Bode-t rajzolni. Külön van választva a frekvenciafüggetlen tag a frekvenciafüggő tagoktól, valamint a frekvenciafüggő tagok az 1 + s*tau alakot követik, amelyből egyből látszik az időállandó, abból könnyen megvan a körfrekvencia, így a Bode viszonylag könnyen rajzolható.
Én személy szerint MATLAB-ot használok, de csak emiatt nem hiszem, hogy érdemes lenne telepíteni, mert biztosan vannak egyéb erre alkalmas szoftverek is a neten, amelyek kevésbé komplexek és méretük is kisebb.
(#) pulsar válasza El_Pinyo hozzászólására (») Nov 29, 2011 /
 
Köszönöm, hogy ilyen gyorsan válaszoltál.
Ahogy leírtad úgy könnyűnek tűnik csak az a baj, hogy ilyen téren még nagyon kezdő vagyok és nem láttam ennyire át a dolgokat.
Megpróbáltam Tina-val megrajzolni a diagrammokat, de valamiért nem lett olyan mint a tiéd. Biztos elrontottam valamit az áramkör rajzolásakor. (bár még soha nem használtam ezelőtt szóval nem tudom, hogy mennyire pontos értékekkel számol). Ha végképp nem megy marad a Matlab vagy Scilab.
Remélem a feladat többi része már egyszerűbb lesz (erősítés abszolútértékének számítása, stabilitásvizsgálat, ...).
(#) pulsar hozzászólása Nov 29, 2011 /
 
Sziasztok
Lenne még 2 dolog ami nem teljesen világos számomra:
1. Néztem több példát is a felnyitott kör függvényre (Nyquist stabilitási kritériummal kell a feladatot megoldani),de egyik esetben sem tartalmazott a függvény számlálója (jw) tagot és így a feladat megoldásához csak a nevezőben kellett megoldani az egyenletet az w-ra. Ha a számlálóban is van w tag akkor mind a két egyenletet ki kell fejezni w-ra?
Mellékeltem, hogy miről van pontosan szó (1.).
2. A feladat Laplace transzformáció segítségével a zárt kör kimenő jelének t=0 és t->végtelen esetekben felvett értékének a meghatározása. Bemenő jel adott: 5*l(t). A problémám az vele, hogy felírtam a zárt kör egyenletét, de akárhogy is próbálom nem tudom úgy egyszerűsíteni, hogy a nevező így nézzen ki: 1+s+s^2+...+^n.
Ezt is mellékeltem (2.).
Előre is köszönök minden segítséget.

1.jpg

2.jpg
   
(#) ipjraag hozzászólása Nov 29, 2011 /
 
Sziasztok!

Segítségre lenne szükségem!
Az irányítástechnika feladatomat elkezdtem csinálni,
de számomra elég zavaros az egész és el is akadtam a 4. feladatnál.

Sajnos nagyon kezdő vagyok még a témában és csak próbálkozok.

A feladatokat és az általam készített megoldást mellékeltem.

Ha tudnátok szakítani egy kis időt, hogy belenézzetek akkor nagyon hálás lennék.

Előre is köszönöm a segítségeteket.
(#) pulsar hozzászólása Nov 30, 2011 /
 
A Laplace transzformációs problémám megoldódott, hibás volt a az eleje a feladatnak és azért nem lett jó az eredmény.
Már csak a felnyitott kör függvénye nem akar sikerülni.
(#) Bukall hozzászólása Máj 5, 2013 /
 
Sziasztok!
Terveztem egy PIDT1 típusú szabályozót, és szükségem lenne műveleti erősítős kapcsolásra, amivel ez a szabályozó megvalósítható.
Első körben azt nem tudom, hogy hány integráló és deriváló tagra lesz szükségem. Az átviteli függvény tartalmaz két valós pólust és két valós zéróz, valamint egy K szorzót. Most akkor nekem két-két integráló és deriváló műveleti erősítőre lesz szükségem, vagy egy-egy is el tudja látni a feladatot? Továbbá ki kéne számolnom az ellenállások és a kondenzátorok pontos értékét, de nem tudom, hogy az átviteli függvényből hogyan határozom ezt meg.
Ebben kérném a segítségeteket.
Köszönöm!
Következő: »»   3 / 3
Bejelentkezés

Belépés

Hirdetés
XDT.hu
Az oldalon sütiket használunk a helyes működéshez. Bővebb információt az adatvédelmi szabályzatban olvashatsz. Megértettem