Fórum témák
» Több friss téma |
Fórum » Akkumulátor töltő
Sziasztok!
"Sürgősen" kellene nekem egy akkutöltő autóhoz. Csak egy alkalomról lenne szó, ugyh nem szivesen vennék (főleg, h otthon van én meg elég messze vagyok kishazánktól). Kiindulási alapnak van egy laptoptöltőm 19V 3.5A. Szerintetek lehet ezzel valamit kezdeni vészhelyzetben ? És főleg mit? Az imát már próbáltam Szomszédot fogni nem tudok
Egy fényszóróizzó elég lehet áramkorlátozásnak. Persze a feszültséget rendszeresen ellenőrizni kell töltés közben.
A hozzászólás módosítva: Nov 14, 2014
A 3 fázis esetén a vonali feszültség (2 fázis között) 400V, ami még csúcsban is elég kevés lesz a 600V-os akkupakkhoz. Mellesleg az érintésvédelmet is meg kell oldani, mert leválasztva sem lenne.
Teszel utána egy áteresztőtranyót aminek megfogod a bázisát a kívánt feszültségen, meg egy kisebb áramút sönttel áramkorlátnak, és meg van oldva az akku töltése adott feszültségen és árammal.
Egyenirányítva 576 V körül, a 600 V meg névleges feszültség, nem kell 100%-ra feltöltse. Leválasztásra miért van szükség? A rendszer alapból úgy van kialakítva, hogy az akkumulátor kivezetései érinthetetlenek legyenek.
Szia!
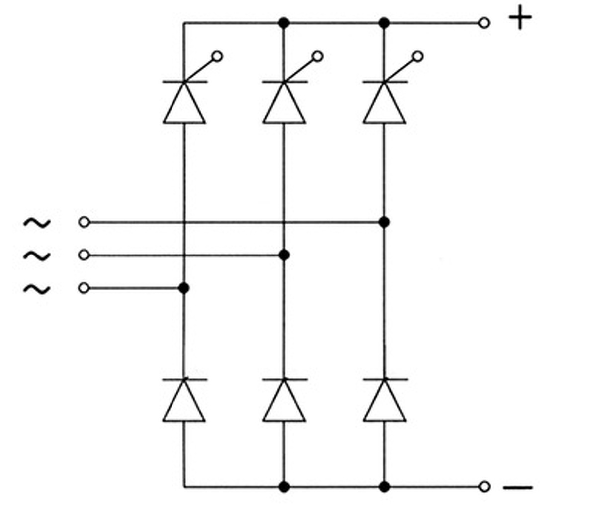
A tirisztoros akkumulátor töltők elterjedtek, régebben szinte csak olyanok voltak. Az igaz, hogy az akkumulátor egy kis belső ellenállású nagy kapacitású kondenzátornak tekinthető, ami közvetlenül nem kapcsolható egy háromfázisú áramirányító kimenetére, de ha egy fojtót teszünk az áramirányító és az aksi közé, máris járható az út. Mivel csak 1/4-es áramirányítóra van szükség a töltéshez, az úgynevezett háromfázisú félig-vezérelt egyenirányító is megfelelő lehet, aminél a tirisztorok katódja egy potenciálon is lehet, ami nagyban leegyszerűsíti a vezérlést, a gyújtóáramkör kialakítását. Ha érdekel ez a megoldás, igyekszem segíteni. Fontos kiindulási adat lenne az akkumulátor kapacitása, vagy még jobb lenne az ideális töltési karakterisztikája. Az akkumulátor teleped magas feszültség szintje és az általában rendelkezésre álló 3x400V-os hálózati feszültségszintje valamilyen feszültségnövelő kapcsolóüzemű megoldás lehetőségét is felveti. Ez lehet valamilyen sima PWM vezérlésű, vagy el lehet menni aktív PFC-s irányba is.
Hello!
Egy 12V-os 1,4Ah-s NiCd Bosch fúró akkuhoz kellene nekem töltő. Tudtok egy könnyen megépíthetőt mutatni?
Helló!
66 Ah a kapacitás, a töltési karakterisztika nagyon hasonló a LiPo akkumulátorok töltési karakterisztikájához, azzal a különbséggel, hogy a cellák névleges feszültsége 4.1V. Az egész pakk 393,6 voltos (ezt az előző posztban rosszul írtam, ezért elnézést kérek), így nincs szükség feszültségnövelésre. A fojtótekercs méretezéséhez esetleg lenne valamilyen segédanyagod? Az áramirányítót így gondoltad (lásd: csatolt kép)? Köszönöm szépen előre is a segítséget! A hozzászólás módosítva: Nov 17, 2014
Nos, mivel már a 174-ik oldalnál járunk közreadok egy általam tervezett , de már hosszú évek óta kifogástalanul múködő alternatívát. Jellemzői: olcsó, beállítható töltő áram, lekapcsolás a töltés végeztével és kijelzés.
Ha valakit érdekel van NYÁK-terv (kb egy gyufaskatulya méretű, természetesen a tirisztort hűtőbordára kell tenni (de nem nagyra) A hozzászólás módosítva: Nov 18, 2014
Szia !
Ha szabad, akkor én kérném szépen. Meg egy olyan rajzot is, amin az alkatrészek értékei látszanak... Köszi !
Az "olcsó" természetesen a transzformátort leszámítva értendő. (az én töltőm max 10 A-el tölt, de az áramnak csak a trafó az egyenirányító és a tirisztor szab határt)
A "tervezett" is nagy szó: érzésre összepakolt a helyesebb. A nyákterv sprint 5, séma: TinyCad (ingyenes és egyszerű, kisebb dolgokhoz) A műszer: nálam egy magnó kivezérlésjelző, Rs: egy darab ellenállás huzal sorkapocsba befogva (ezekkel az 5 wattos ellenállásokkal nincs jó tapasztalatom már 1-2 ampernál is szeretnek megszakadni) , Rm-et a műszer érzékenységéhez kell passzítani (nagyjából beállítani egy multiméterrel (10-20 A méréshatár) nem kell pontosra mint a halál (hisz a közhiedelemmel ellentétben még ő se az)) T1, T2 UJT-helyettesítő sufni kapcsolás (de minden esetben működik). Tirisztor: bármilyen, de bírja a tervezett áramot. A felső rész a töltő, P1 -el lehet beállítani az áramot. Az alsó rész feszültség figyelés és lekapcsolás lm358 fesz figyelő Schmitt-Trigger. Elektrolit kondik: amilyen van (nem kellenek 1000 mikrók), opto: amilyen van.78L05 smd kivitelű (ilyen volt kéznél), de 06, 08 is jó. A nyák: ahogy látod, vagyis, a lábas cuccok is úgy vannak forrasztva mintha smd-k lennének (tehát a nyák egyik oldala nálam teljesen sima, ennél fogva lett felragasztva a doboz aljára egy kétoldalas szalaggal). Kissé slendriánnak tűnik az egész, de nem terveztem, hogy kikerül a világba. Ha valaki nem dolgozott még smd-vel nem kell megijedni tőle (vagy átrakja lábasra), sokkal gyorsabb mint a lábas. Gyufaszál, fogpiszkáló tapétavágóval simára vág, pálmatex-ragasztóhoz érint és 40-50 alkatrészig megfogja az smd-t, aztán újra pálmatex.
Köszönöm az anyagot és a részletes leírást ! Minden világos, csak annyi kérdésem lenne, hogy a töltőáram mennyire szabályozható ? Azért kérdezem, mert egyik fórumtárs nem boldogult a hasonló kapcsolással, nála csak a gate gyújtó trafó segített.
Nálam 1 és 10 amper között. Ha túl alacsony a szekunder fesz az okozhat talán ilyet, vagy a tirisztor típusa (én egy orosz tirisztort használok, típusa: nagy zöld)
Kb. 17-18 V~ terheletlenül, ahogy mértem, saccra olyan 200 W-os lehet a mérete alapján. A következő meg már csak 24 V-os.
A hozzászólás módosítva: Nov 18, 2014
Én, ha szükségem van gate trafóra a lomex-ben kapható telefonos vonal trafót szoktam használni.
Jó lehet a 17-18 voltos is, de inkább a 24-esre tippelnék. A hozzászólás módosítva: Nov 18, 2014
Megmértem a trafóm szekunder feszültségét, terheletlenül: 23 V
Sziasztok.
12 voltos li-fe-po aksihoz szeretnék analóg balancert. Van esetleg aki építene ilyet akár több darabot? Motorba raknánk egy "ballistic" típusú aksit, de közvetlenül nem lehet tölteni a hagyományos feszszabályzóval. Köszi a válaszokat. Joe A hozzászólás módosítva: Nov 18, 2014
Most hogy szétszedtem a mérés miatt, látom van némi eltérés a rajz és a megépített közt. A nyákterv változatlan.
A műszer mérőellenállása a tirisztor körben van és bekerült egy D1 jelű védődióda (ennek bírnia kell a max áramot). A pontosabb rajz:
Helló!
Igen, az áramirányítót a rajz szerint gondoltam. Az egyenáramú oldalra teendő simító fojtó méretezése nem ördöngösség. Először a megengedhető áramhullámosságot kell meghatároznod. Elvileg tölthetsz csak áram "huplikkal", azaz nem lesz folyamatos az áram sose, vagy mondjuk a névleges töltőáram 10-30%-ánál húzod meg a szaggatott és folyamatos áramvezetés határát. Azt, hogy a te akkumulátorod esetében hogyan kell tölteni, azt nem tudom megmondani, de azt tudom, hogy a töltési folyamat végén kifejezetten jó szokott lenne a szaggatott töltés, úgy is mondják, hogy "csepptöltés". A fojtó méretezésről anyag például van ebben a a könyvben is: Bővebben: Link A 145-150 oldalon van kifejtve, igaz egyenáramú motorhoz, de ez most itt nem számít. Ha nem boldogulsz, akkor majd igyekszem segíteni. Azért jó lenne pontosabban utána nézni néhány adatnak: Mekkora lehet a maximális töltőáram? (Esetleg a kapacitás 10%-a, 6,6A?) Mekkora lehet a maximális feszültség, amire fel szabad tölteni? Vagy mekkora a csepptöltési feszültség szintje? A főáramkörön szükség lesz még néhány kiegészítésre, kb. úgy, mint a 133. oldalon láthatod. A váltakozó áramú oldalra háromfázisú kommutációs fojtót kell tenni, a tirisztorok és diódák túlfeszültségvédelmét is meg kell oldani, illetve biztosítókat is célszerű adott helyekre beépíteni. Továbbá a tirisztorok katódpotenciálján a töltőáramot sönttel lehetne mérni.
Sziasztok! 6-12-24V Akkumulátor töltőt szeretnék építeni. A trafó hozzá az egy 1500VA Apc smart upsből lett bontva. Tirisztoros töltőre gondoltam, sikerült is guberálnom hozzá 2db Semikron SKCH 28/14 félig vezérelhető hidat. A kérdésem az lenne, hogyan tudnám minél egyszerűbben vezérelni a hidat? Válaszokat előre is köszönöm.
Trafóval. Mivel a tirisztort egy időzített impulzussal begyújthatod, egy kisméretű toroid frerrit gyűrűre tekersz 2 × 10 menetet, és kész a trafó. 2 ilyen trafóval megoldhatod a tirisztorok vezérlését.
A panelján van trafó 14db, mellékelem. Gondolom nekem a 2 tirisztort egyszerre kéne vezérelnem. Tudnál esetleg erre valami kapcsolást mellékelni?
Sziasztok!
Van egy a csatolt képeken látható ukrán gyártmányú,de majd minden feliratában angol töltőm.Elvileg automata és kézi üzemmóddal.A hátulján valaki már kicserélt egy félvezetőt,amit én is próbáltam pótolni.Nem bírja a nagyobb áramerősségeket,2 A-nél kiakad,lekapcsol.Van valakinek információja erről a gépről? Mi lakozik benne? Sajnos láttam benne egy orosz hibrid cuccot is... Az oldalán egy 1992 ,egy ACU felirat és egy sorozatszám található.István
Sziasztok! Van esetleg valakinek "zsebben" egy autó akkumlátor töltő kapcsrajz? Van egy öreg transitom és a "legtutibb" Varta sem indítja most hogy bejött a hideg. Valószínű, hogy jól megcsinálták a generátoromat.... Vagyis marad a este töltöm verzió. Viszont amire volt hirtelen pénz az kinai és lassú mint a dög = 4A. Nekem 74 Ah akksim van. Ezt szeretném legalább 10-15A-rel tölteni. De ha állítható lenne az lenne a legjobb.
Köszi a segítséget előre is !
4 A-es töltő estétől reggelig bőven elég még a 74 Ah akkuhoz is. Ha nem, akkor "A hiba nem az Ön készülékében van." hanem az akkumulátorban.
![]() Rajzot meg találsz itt tucatjával. "Új hozzászólás" alatt nyilacska, legördülő menüben "Csak képek keresése". A hozzászólás módosítva: Nov 27, 2014
Hello!
Ha kicsit szétnézel itt a fórumon, biztos találsz magadnak valót (kereső). Ilyen áramok töltésére célszerű lehetne egy "alap" töltő. Trafó, dióda (vagy híd), izzó. Gyárilag egy, vagy két akkuval jött ki az autó? (a tűzfalon, mindkét oldalon helye van a két aksisnak) Ha kettő kell bele, és egyet használsz, ne csodálkozz. Nekem is öreg Transit-om van, és nekem is nehezen indult. Új akkumulátorokkal (nálam ez 2db 72Ah/ SAE 680Amper indítóárammal), és kitűnő töltéssel. A hiba mindaddig fenn állt, míg ki nem cseréltem az önindítóban a szénkeféket. Ezek sajnos - mint utólag kiderült - után gyártott típusok voltak, nem megfelelően vastag kivezetésekkel (szénkefénként két vastag sodrott rézfonat kell, hogy legyen). Az anyaga sem mindegy ezeknek. Csak a gyárit szabad megvenni, és nem is olyan drága.
Gyárilag 1 aksis a gépezet de erősen gondolkozom a második aksin. Csak akkor még egy 40 ezeres Varta aksit kell vennem. elvileg az önidító és a generátor fel van újjítva :-O vagy csak rámondták....
Az előző transitba nekem is 2 aksi volt és nem is volt vele gond
Hello! A Ni-Cd topik képei közül válassz számodra szimpatikusat.
|
Bejelentkezés
Hirdetés |




Szomszédot fogni nem tudok













