Fórum témák

» Több friss téma
Fórum » Audiofil, High End Audio
 
Témaindító: konyak6, idő: Márc 25, 2018
A téma átmenetileg fagyasztva lett, hozzászólni nem tudsz!
Lapozás: OK   44 / 97
(#) szamóca válasza segítő hozzászólására (») Feb 10, 2025
Valószínűleg esélyesebbek megvásárolni ilyen szerkezeteket.
Nem sok ember tud pl. 223millát kiperkálni egy ilyen lemezjátszóra.
A hozzászólás módosítva: Feb 10, 2025
(#) shany válasza Pali79 hozzászólására (») Feb 10, 2025
Idézet:
„Rezéscsillapítás”
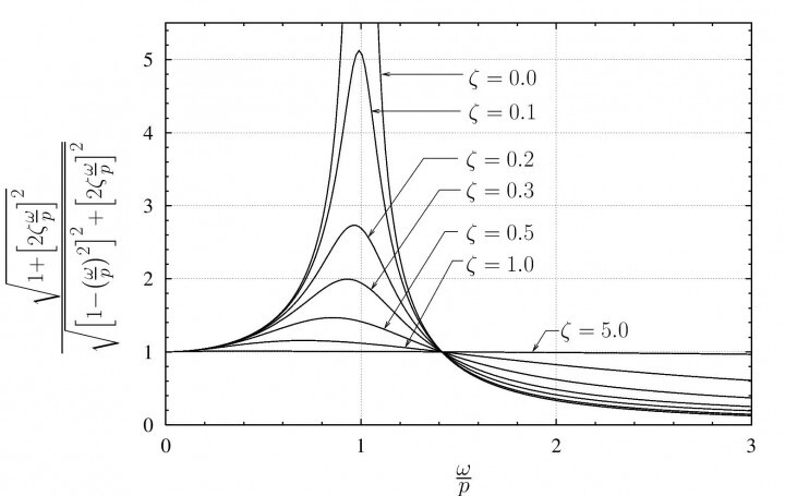
Kicsit félrevezető a kifejezés, mivel az a rugós - mondjuk - izolátor nem tartalmaz csillapító tagot.

A hifi ( high-end ) terén alapvetően kétféle működésű eszközt használnak "rezgéscsillapító" néven.
- csatoló elem: ezek minél szorosabb mechanikai kontaktust létesítenek a készülék és alátámasztás között. Pl. a hangdobozok alá helyezett tüskékel - jó eseben - a betonpadló hatalmas tömegének a hozzácsatolása a relatíve kis tömegű hangsugárzóhoz.

- elcsatoló ( izolátor ) elem: mint képen is látható, itt pont ellentétes a cél, elszigetelni a két oldal mozgását. Itt akkor valósul meg rezgéscsillapítás, ha az elszigetelő mechanizmus rendelkezik saját csillapítással.
Lényeges, hogy pl. a rugós alátámasztás/felfüggesztés mindig csak a hozzá kapcsolódó tömeggel együtt értelmezhető, egy adott paraméter-együttessel leírható rezgő rendszert alkotnak.
( Pl. jelen esetben, a fenti rugó 0 csillapítású rendszer tagja és akkor a légszélesebb sávú az izoláció, akkor indul a legalacsonyabb frekvenciától, ha a ráhelyezett készülék - a tömege miatt - jelentősen össze tudja nyomni a rugót. Tehát szó nincs teljes univerzalitásról. )

https://engcourses-uofa.ca/books/vibrations-and-sound/forced-vibrations-of-damped-single-degree-of-freedom-systems/damped-spring-mass-system/
A hozzászólás módosítva: Feb 10, 2025
(#) Suba53 válasza segítő hozzászólására (») Feb 10, 2025
Sajnos ilyen sanyarú a milliárdosok élete. Szegények kénytelenek megvenni minden túlhájpolt, túlárazott vackot, hogy a szomszéd sejk ne tudja lesajnálni.
És ebből a spirálból nincs kiszállás, ezért gyártanak számukra szinte megfizethetetlen cuccokat, amiknek a minőségét vén fejjel már nem is tudják érzékelni.
(#) veroka válasza Pali79 hozzászólására (») Feb 10, 2025
Én ezt semmiképpen nem használnám lemezjátszó alá, de talán semmi hifi alá sem, max a mosógépet lehetne rátenni.
Először is, ez az elrendezés maximum vízszintes irányú elmozdulásokat képes csillapítani, de azokat sem túl jó hatásfokkal. A függőleges irányú rezgések kis késleltetéssel de át fognak jutni a felső pontra. Sőt, amennyiben sikerül eltalálni a rugó rezonanciafrekvenciáját, még ki is fogja emelni azt a zajt.
Ha a rezgéscsillapítás a cél, akkog valami puha, rezgéselnyelő anyag kell neked. Ilyen szempontból sokkal jobb megoldás a fenn bemutatott gumis láb, de a legjobb lenne valamilyen porózus alátét.
Homokzsák, vastag puha szivacs, de akár egy vastagra összehajtogatott takaró is megteszi.
(#) mek-elek válasza veroka hozzászólására (») Feb 10, 2025
Már rég volt, amikor a lemezjátszó életem része lett. Akkor nem voltak a tájékozódásra ilyen lehetőségek, mint manapság. A keresetem nem volt valami fényes, és a rádiótechnikának is volt ára, szóval ritkán vettem. De az világos volt akkor is valahonnan, hogy egy lemezjátszó átlagosan ideális helye nem a padlózaton, bútorokon van, hanem egy falra rögzített polcon. És nem a fal középtáján, hanem a sarok felé. Így lényegesen kevesebb volt az épületzaj, rumpli.
(#) veroka válasza mek-elek hozzászólására (») Feb 10, 2025
" De az világos volt akkor is valahonnan, hogy egy lemezjátszó átlagosan ideális helye nem a padlózaton, bútorokon van, hanem egy falra rögzített polcon. És nem a fal középtáján, hanem a sarok felé. "

Maradjunk annyiban, hogy NEKED OTT jobban tetszett a LEMEZJÁTSZÓD hangja. Ebből általános érvényű szabályt levonni elég nagyképűség.

Általános szabályként azt mondhatjuk, hogy mindenki találja meg magának az ideális elhelyezést a saját szobája, bútorzata és izlése alapján.
(#) Massawa válasza veroka hozzászólására (») Feb 10, 2025
Söt ha belegondolsz egy szivacsszerü 2-3 cm vastag anyag rugalmas is meg csillapit is ( amit spirál rugo nem tesz, a lapos rugo ebböl a szempontbol valamivel jobb a korlátozott mozgásai miatt).
(#) Massawa válasza szamóca hozzászólására (») Feb 10, 2025
Azért meghallgatnám annak a légcsapágynak a müködését meg a hozzávalo kompresszort. Amugy volt szerencsém 5 évig ilyen szerkezetekkel foglalkozni ( igaz ott 15000 RPM-et kellett csapágyozni akárcsak a fogorvosnál. Csak sokkal nagyobb valamit, mint a furo), ami ugye más mint 33 vagy 45 RPM.
A hozzászólás módosítva: Feb 10, 2025
(#) szamóca válasza Massawa hozzászólására (») Feb 10, 2025
Látványnak se utolsó. A tangenciális hangkarok is légcsapágyazottak.
A kompresszor szerintem másik helyiségben van. 4bar nyomást írnak a tányércsapányhoz.
(#) Massawa válasza szamóca hozzászólására (») Feb 10, 2025
Tudod az a baj , hogy a légcsapágybol a levegönek ki is kell jönnie, ami mindig sipolással/hanggal jár. Tul nagy nem lehet a lyuk, mert akkor soha az életben nem áll össze 4 bar nyomás. És az a sipolás ott keletkezik ahol a csapágy van azaz kompresszor ha csendes is meg a másik épületben van azt nem kell okvetlenül hallani, de a levegö a gramofon kürnyékén távozik el ami mindig hanggal jár. Szoval eléggé szkeptikus vagyok ezzel a megoldással akár milyen szép is.
(#) mek-elek válasza veroka hozzászólására (») Feb 10, 2025
Először is én sosem voltam nagyképű! Az meg, hogy Te mennyire értesz ezekhez a dolgokhoz az meg egy másik ügy. A legrosszabb amikor a felvetett dolgokhoz valaki félig ért, és zseninek igyekszik mutatkozni. Tudod, amit írtam egyszerű fizikai háttérre utal. Énnekem nem volt gond kipróbálni, és hasznosnak bizonyult! Te meg rakhatsz alá akármit egy bútoron, mert a helység adottságai lesznek a döntőek a különböző rezonanciák tekintetében.
(#) segítő válasza szamóca hozzászólására (») Feb 10, 2025
Pontosan. Konzumidiótáknak árazták. Nem MO
(#) segítő válasza Massawa hozzászólására (») Feb 10, 2025
Én hallgattam anno Vass-Andrási Gy-nél. TE? Teljesen zajtalan volt. Igen kis nyomású és kis mennyiségű levegőt kell kell biztosítani. Nem kell benzinkúti kompresszorokra gondolni
(#) Massawa válasza segítő hozzászólására (») Feb 10, 2025
Mit gondolsz mennyi levegö kell a fogorvosi pár grammos furohoz? Nyilván ha nagy helységben hallgatod messze gramofontol akkor talán nem veszed észre ( valoszinü nem is gondoltál rá: de otthon a 4 fal között már másnap az idegeidre menne. Szamoca kolléga irta, hogy 4 bar kell hozzá. Az auto belsöben meg 2 bar sincs. Szurj egy kis tüvel lyukat bele és hallgasd…
Én nem kétlem, hogy bizonyos helyeken jol zenélhet a nekem is tetszö szerkezet, de hogy otthonra ez jo lenne abban nem vagyok biztos. A kompresszor helyett lehetne akár egy gázpalacknyi süritett levegöt használni , az biztos, hogy hangtalan legalább addig amig meg nem nyitod a csapot.
A hozzászólás módosítva: Feb 10, 2025
(#) szamóca válasza segítő hozzászólására (») Feb 10, 2025
Ezt nézve elég sokan vásárolhatják.
(#) segítő válasza Massawa hozzászólására (») Feb 11, 2025
Nem tudom. De csak megy az okoskodás urak.
Fogorvosi fúrókról nem írtam..
4 bar??
(#) segítő válasza szamóca hozzászólására (») Feb 11, 2025
Halgattad? A KUZMA régen jó márka volt. Manapság?
(#) Massawa válasza segítő hozzászólására (») Feb 11, 2025
Nézd van némi tapasztalatom a légcsapágyos forgo eszközökkel.
A másik meg az a dög nehéz tányér. A 4 bar azt jelenti, hogy 4kg/cm2. Számold ki milyen átméröjü tengely kell ahhoz, hogy a levegö nyomäsa egy kicsit megelemelje és a tengely körül is nagyobb nyomásnak kell lennie, hogy ne érjen a csapágyfalához. És ezt nem lehet ugy eltömiteni mint a bicaj pumpáját, azaz a levegönek ott folyton nem kis nyomással kell áramolnia ki a környezetbe. Ha ezt meg lehet csinálni hang/zaj nélkül, akkor le a kalappal Kuzma elött.

A fogorvosi furokat én irtam, mert ott találkozhat mindenki a légcsapágyakkal és ott is igyekeznek mindent megtenni, hogy ne legyen hangos és ne rémitse el a pacienst. Régebben golyos csapágyak voltak még a rendelötöl 20-30 méterre is hallani lehetett a sivitást.
(#) nagym6 válasza szamóca hozzászólására (») Feb 11, 2025
Megéri azért a hajszálnyi előnyért. Ha van.
Nem értek hozzá, szerintem a lemezt is "veri" a levegő hangrezgése .
(#) Massawa válasza nagym6 hozzászólására (») Feb 11, 2025
Tegnap egy uj online “Restposten” katalogust hozott a posta. Érdekes modon tele van LENCO lemezjátszokkal, mindenféle kivitelben. A Lenco valamikor nem volt rossz konstrukcio. Ami most meglepett, hogy ezekben a gramofonokban kivétel nélkül keramikus pickupok voltak. Vajon melyik piacrol kerültek vissza ezek a lemezjátszók a német katalogusba?

IMG_7725.jpeg
    
(#) Alkotó válasza Massawa hozzászólására (») Feb 11, 2025
A fogorvosi fúróból két fő irány van, a nagy és a kis fordulatú. Utóbbiban általában bovdenszál adja a hajtást. Viszont előbbiben a csapágy nem levegős, hanem siklócsapágy folyadék-kenéssel (és van mikromotoros-golyóscsapággyal is). A levegő azért kell, mert egy kis légturbina van benne, amivel elérhető a magas fordulat, viszont ezért cserébe terhelésre érzékeny. A folyadékcsapágy szinte kézenfekvő, mert mindenképpen kell a víz a fog hűtéséhez, így a "csapágyvízet" nem kell visszavezetni, hanem kifolyik a szerszámra (a páciens szájába).
(#) uniman válasza Massawa hozzászólására (») Feb 11, 2025
Ez nem a topikcímhez méltó termék! LS-10...a magyar piacon is rengeteg van. A beépített hangszórója (erősítő kimenettel) nem lepett meg? Az mindent megmagyaráz...vagy nem?
A többiben meg BT, USB, 78 rpm...
A hozzászólás módosítva: Feb 11, 2025
(#) Ódenka válasza uniman hozzászólására (») Feb 11, 2025
Ez egy ipari hulladék. Egy tésztagyúró deszkán, amiről oldalt kilóg a nagylemez, azért nincs egy darabon plexi a tetőből. Szégyenteljes, inkább gyártanának tormareszelőt. Bár, az is lehet, arra jó igazán...
(#) Skori válasza szamóca hozzászólására (») Feb 11, 2025
Ilyen árak mellett akár vákuumban lebegtetett lemeztányéron is foroghatna a lemez.

Amúgy valamelyik cég készített lézeres lejátszót LP-hez, ami a lemez tűvel való érintése nélkül is le tudta játszani a felvételt. Ezek nem kerültek forgalomba? Vagy akihez esetleg eljutott az kincsként őrzi?
(#) Suba53 válasza Skori hozzászólására (») Feb 11, 2025
Szerintem a lézeres letapogatás maximum a tű súrlódási zaját tudja kikerülni, de az egyéb a sasszin keresztüli rezgések, a porszemek ugyanúgy benne lehetnek, nem is beszélve magának a műanyag lemeznek a meglehetősen szűkös hangtechnikai paramétereiről, amivel a lézer sem tud csodát tenni.
(#) Suba53 válasza Suba53 hozzászólására (») Feb 11, 2025
Erről jut eszembe: Azoknál a lemezjátszóknál, ahol nem a tű vezeti a lejátszó kart a barázdákban a mechanikus kényszerkapcsolaton keresztül, ott hogy oldják meg azt, hogy a tű mindig párhuzamosan fusson a barázdával?
Mivel a barázdák sűrűsége, száma nem egy szabvány érték, folyamatosan változhat egy lemez felületén is, így egy fix áttétellel ez nem igazán jó.

Például a Kuzma esetén, ahol egy menetes szár vonszolja a kart egy tengelyen, ott vajon mi szabályozza a menetes szár fordulatszámát?
Vagy a lézer esetén, ahol szintén nincs mechanikus kényszerkapcsolat?
(#) Gafly válasza Suba53 hozzászólására (») Feb 11, 2025
Emlékeim szerint volt annó egy izraeli srác, aki diplomamunkában egyszerűen beszkennelte a lemezt, a többi már szoftver...
(#) Suba53 válasza Gafly hozzászólására (») Feb 11, 2025
Amikor ezek a kütyük keletkeztek, akkor még sehol nem voltak a szkennerek.
Ma már teljesen hihető a szkenneléses móka.

Valami nagyon érzékeny erőmérő lehet a kar tövében, ami a minimális feszítésre is reagál, és azt próbálja minimalizálni az orsó fordulatának finom szabályozásával.
Vagy valamilyen optikai megoldás, ami egy rés fölött elmozduló finom rajzolatot érzékel.
Optikai egérnél ez már mindennapos, ezt kell visszacsatolni az orsó motorhoz.

A lézeresnél meg lehet hogy a későbbi CD, DVD lejátszóknál már általános sávkövetési módszerekkel kísérleteztek.
A hozzászólás módosítva: Feb 11, 2025
(#) nagym6 válasza Suba53 hozzászólására (») Feb 11, 2025
Idézet:
„hogy oldják meg azt, hogy a tű mindig párhuzamosan fusson a barázdával?”
Nem tudom, de egyszerűen megoldható követő szabályozással. A karnak van kis szabad mozgása, ezt figyeli valamilyen érzékelés, eszerint viszi utána a "menetes szár" gyorsít, lassít.
A hozzászólás módosítva: Feb 11, 2025
(#) nagym6 válasza Alkotó hozzászólására (») Feb 11, 2025
Idézet:
„(a páciens szájába)”
A fog hűtése miatt is.
Következő: »»   44 / 97
Bejelentkezés

Belépés

Hirdetés
XDT.hu
Az oldalon sütiket használunk a helyes működéshez. Bővebb információt az adatvédelmi szabályzatban olvashatsz. Megértettem