Fórum témák
» Több friss téma |
Fórum » RIAA korrektor
Témaindító: Ghost Rider, idő: Aug 25, 2006
Ne add fel! Tervezd meg részegységenként és úgy pakold egy nyákra. Vagy a Tina8-ban rajzold meg az egészet egyben, teszteld le és akkor tedd át a panelra! Arra vigyázz hogy az egy egységhez tartozó alkatrészek egy helyen legyenek, jól elkülöníthető egységben. Ha gondolod küld el a rajzokat és csak tervezünk valamit.
Szia! Már rég nem jártam erre....
Nem tudom melyik kapcsolásról van szó, de ha a visszacsatolásba kondit cserész akkor még jó lehet. csak az a gond hogy el kell találni a megfelelő hálózatot. Ezt könnyen megteheted egy szimulátor programmal, aztán már csak halással kell tesztelni. A CD-t ne hasonlítsd a bakelithez, az MP3 meg felejtős dolog, az csak arra jó hogy zörögjön valami. A bakelitet még hangmérnökök csinálták. Hidd el nem a lemezeid rosszak!
Szia!
Pár oldallal ez elött tette fel a kérdést,talán az 56.-oldalon. Oda feltette a kapcsolást is. Az erősítőm egyébként teljesen készen van,csak be kéne dobozolni. Arra gondoltam,venni kéne a dobozt nem farigcsálni,hogy valahogy azért ki is nézzen De akkor mi a munka benne? Kireszelgetem és kész? Azért ne menjen olyan könnyen! Itt van a videó fedele,az jó lesz fedőnek,az alja fából lesz,a többihez meg még kell anyag. A,úgy hifi erősítőt akarok építeni,mert itt áll az Uher és az AKAI magnó,na meg a Videoton rádió,hasznát kell venni... :yes:
Hi !
Értem, amit mondasz, de... A korrektor, csak egy korrektor... meghatározott frekvenci menettel. Az 1%-os tűrésű alkatrészekkel elkészítve is csak pár tized dB, amit nyerhetsz (ha ugyan nem vesztesz) a mostanihoz képest. Ha eltérsz az eredeti frekvenci menettől, az gyakorlatilag olyan, mintha feltekerted volna a hangszín szabályzót. Jó úton jársz, amikor a lemezek erősen eltérő minőségét, illetve a hangszedők különbségét firtatod. Már jó rég óta egy MC10 + STM-72 kombinációt használok. De visszasírom a régi PL200-ban lévő MM pickup-ot. Sokkal jobbak voltak a mélyei, szebben szólt. Kizártnak tartom, hogy ezt a problémát egy korrektor csere-bere megoldaná. Persze tudom: az én rendszerem is csak egy low-end kategória A lemezek sem szólnak egyformán. A technikai különbségeken kívül, azért azt is vegyük figyelembe, hogy más együttesek, teljesen más zenéje szól róla. (most itt természetesen nem a Te ugyanazon CD/LP próbádra gondolok...)
Most hasított belém a gyanú, te nem egy AKAI PL 100 lemezjátszót hallgatsz?
Lehet, hogy én várok túl sokat a korrektortól?
Lehetne egy olyan megoldás is, hogy a korrektor az legyen korrekt,pont. És az én igényem szerint egy külön áramkőr ami a mélyet emeli ki kapcsolóval 3,6,esetleg 9 dB-el?Így bármikor visszaállítható az alapbeállítás. Létezik erre valamilyen jó kapcsolás? Vagy egy sima hangszínszabályzót kellene megoldani kapcsolósra? Köszönöm az okítást!
Nem.
Miért? Olyan is volt? ...Vagy az AKAI különös kölcsönhatásba került a korrektorokkal?
Idézet: „Lehetne egy olyan megoldás is, hogy a korrektor az legyen korrekt,pont.” Legalábbis nekem ez az álláspontom. A hangszínszabályzót (legyen az kapcsolós, potméteres, Baxadall, lepke, bármi) azért találták ki, hogy úgy hallgathasd a műsort, hogy NEKED tetszen. Persze az is lehet cél, hogy csak "eredeti" műsort hallgass, ahogy azt egy ügyes, okos, hozzáértő, jó fülű hangmérnök megállmodta... de szerintem ehhez milliós nagyságrendbe eső cuccodnak kellene lenni (és itt most ne a sznobságot vedd észre, csak valahogy utalni akartam a különösen jó minőségű rendszerre). Másrészt nem akartalak "okítani", csupán a véleményemet bátorkodtam leírni. Még két gondolat: - Egészen másképp hallom ugyan azt a lemezt vasárnap reggel pihent füllel, mint egy munkanap után, este. - A 3 dB-s lépések szerintem nagyon erős túlzás. Az 1dB-s lépés elfogadható. De... a fokozatmentes szabályzás sokkal komfortosabb, értelmesebb. Mi van, ha pont 2,7 dB-nél éreznéd, hogy "most az igazi" ?
Átgondolom! Köszi!
Jól van na, rosszul emlékeztem. Az a lemezjátszó, ami a legolcsóbb stroboszkópos AKAI volt itthon vehető, amiben ez a pick -up volt, híres volt a mélyhiányáról.
Nem lehetett megfejteni miért.
Az AKAI PC-100 as tényleg mélyhiányosabb mint a másik kettő./Shure, Pioneer/
Ezekszerint semmi baja a korrektornak?
A többi tűvel is keveslem a mélyet.De a PC100-as a leggyengébb.
Értem.
Közben nekem is megjöttek az LT1028-asok. Akkor viszont én is evvel építem meg majd a korrektort,csak találjunk megoldást a mély hangra Majd tudsz küldeni vele ÍGY zenét? Kíváncsi vagyok,lehet nekem ennyi meg is felel,mert nekem előerősítő is lesz előtte. Szerintem a Belcanto-s RIAA-d is azért jobb,mert ott az előfok korrekciója emeli ki neked a mélyet valamennyivel... "Tape Head Amplifier"-ként építek valamelyikből,jobb hangot csalhatok ki az AKAI CS-F12-s magnómból?
A magnófej erősítőknek ugyanúgy megvan a maguk equalizációs görbéje, mint a RIAA. Annyi a különbség, hogy az ajánlott mellett ezeket még jobban kiegyenlítik. hangszínszabályozzák.
A magnófej erősítőnek még sokkal csendesebbnek kell lennie, mint a RIAA-nak, ezért nem valószínű, hogy IC-vel ezt célszerű megoldani, azaz vannak erre tenyésztett IC-k.
Én 3 IC-t látok a magnómban,egy TC4049,egy TC4011,és egy LM1111
Sziasztok!
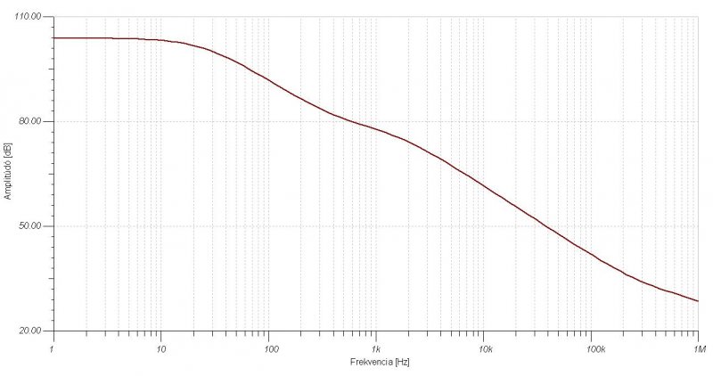
Moszkvai rájött a megoldásra! Berakta a korrektorba a Hiraga visszacsatolását,és elképesztő görbét nyomott nekem. És állítólag már van rendes mély is,és szebben is szól mint a Belcanto. A korrektor üti a 80Db-t! Csatolva a görbe és a kapcsolás.
Bocsánat!
A 240Ohmos ellenállást nem vettem figyelembe. Viszont így is jó görbét hoz! Nem is csodálom hogy jól szól neki!
Nem csodálkozom rajta, hogy elképesztő mélyek vannak.
A görbe több mint 5dB-lel tér el a szabványtól.
Nekem kisebb hiba jön ki, de lehet, hogy Moszkvainak van igaza, és lehet, hogy az LP nem RIAA-val van vágva, hanem NAB-al és ahhoz viszont jó.
Ez igaz!
Ezek a szimulációk sem mindig mutatnak igazat! Az eredeti kapcsolással 60dB,és nincs mély. Ez eltér 5dB-el,és van mély,tudunk mást csinálni?
Először csak 100 ohm volt a 240 helyén de úgy meg nem tudom rákötni a számítógépre mert túlvezérli.
Amúgy meg nem csak a mélyei szebbek, hanem a hangja is részletesebb lett. Majd csinálok hangmintát.
Valószínűleg egy NAB lemez lesz az. Szerintem hagyd így és élvezd a hangját. Közben utána néztem, az a 1028-as, az nagyon jó kis IC.
ITTa hangminta a két módról.
highand-nak:Szinte egy lemez se volt olyan amire azt mondtam volna, hogy így jól szól.Most így már elfogadható.
JA!! a felvétel mono-ban készült, mert csak az egyik oldal van még módosítva az összehasonlítás végett.A felvétel a lemez ugyanazon csatornájáról készült
Highand kolléga!
Hajrá! Ingyen megkaphatod a Linear Tech cégtől! Amolyan termékminta.
Szerintem megvan a kellő mély az eredetiben is! :yes:
De szerintem is jobb a második felvétel! Hiraga visszacsatolásában több a mély,és nagyobbat is erősít. Ezért hallod részletesebbnek. Mert az LT1028 visszacsatolásával max. 60dB-t erősít,a Hiraga visszacsatolásával-amit mutat a görbe is-pedig 70dB felett van a görbe,tehát az a jobb. |
Bejelentkezés
Hirdetés |




De akkor mi a munka benne? Kireszelgetem és kész? Azért ne menjen olyan könnyen!




