Fórum témák
» Több friss téma |
Fórum » Sztereó DAC
Témaindító: meszattila, idő: Ápr 10, 2007
Témakörök:
Készítettem néhány mérést, csak a kimeneti fokozat átviteléről amiben a trafó is benne van..
Bocsánat, hogy belevau, de ha már söntstabilizátor kell, akkor miért nem lehet pl. egy TL431-et megfejelni valamivel, ha egy kicsit több áramra van szükség (egy DAC referenciánál tényleg kell 100mA?), megtartva annak minden jó tulajdonságát (pl. feszültség- és hőingadozással szembeni stabilitás)? Egy ilyen áramkör, ahol LED-ek meg JFET-ek szolgáltatnak referenciát, szerintem csak nagy jóindulattal nevezhető stabilizátornak.
Engedd meg, hogy egy kicsit magyarázkodjak. Egy stabilizátor paraméterei felhasználásfüggőek. Méréstechnikában egyértelműen a hosszú idejű stabilitás, meg a kimeneti feszültség pontossága a fontos. Audiótechnikában inkább a kimeneti fesz minél kisebb zaja, valamint a hangfrekvenciás tartományon belüli minél kisebb ingadozás a fontos. Ha nyáron 5 százalékkal magabb lesz a kinenő feszültség, akkor ennyivel nagyobb lesz a DAC kimenő jele is. De ezt senki sem fogja kihallani. Viszont egy integrált stabilizátor kimeneti zaja oly mértékben modulálhatja a kimenő hangfrekis jelet, hogy erre érzékenyebb fülü embert idegbajba lehet vele kergetni.
Nyugodtan, azért van a fórum...
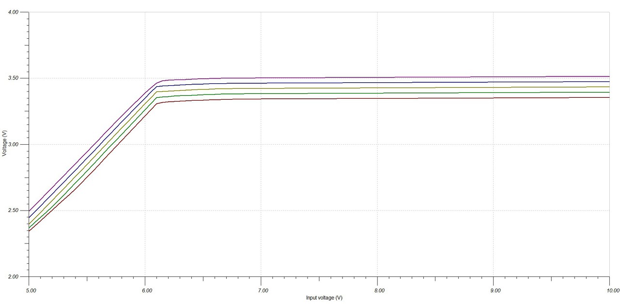
![]() Nem, valóban nem kell 100mA. A sönt-stabilizátort ES91016 IC-hez szánom az analóg rész ellátására, ez a dokumentáció szerint kb. 25mA-t igényel, 3,3V +/- 5%-os fesz. türéssel. Mellékelve egy hömérséklet analízis 20-60 fok között, a kimenö fesz. látható a bemenet függvényében. Tényleg van jelentös emelkedés, de ez jól kalkulálható szerintem (söt kell), és ahogy tothbela írta, inkább csupán technikai mint hangminöség béli jelentösége van. A hozzászólás módosítva: Okt 4, 2016
Egyébként meg van több féle lehetöség, ez pl. LM329-et (is) használ...
A hozzászólás módosítva: Okt 4, 2016
A DAC kimenőjele nem valószínű, hogy megemelkedne a magasabb referenciafesztől, legfeljebb eltolódna valamivel magasabbra. Ennek a ledes söntös megoldásnak szerintem semmi köze a mérétechnikához, pláne, hogy olyan az IC tápzaj elnyomása, hogy a stabilizálatlan feszről sem lenne mérhető zaj a kimeneten.
Bővebben: Link
"TL431 has very poor noise and limited bandwidth, plus the well known stability issues. I was unable to keep the output impedance low, over 150KHz"
Ezt muszály még megosszam...
Bővebben: Link
Kedves Fórumtársak, feltennék egy kérdést:
érdekelne-e valakit a fenti SHUNT szabályozó panel, kétoldalas profi formában legyártatva ahogy fentebb látható?? (kisebb módosításokat kell még persze eszközölni) Csak mert ha összeraknék egy 100x160mm-es vagy nagyobb panelt úgy hogy a legtöbb darabszám kijöjjön belöle, lenne böven maradékom. Természetesen költségmegosztás céljából kérdezem... (Felmerült bennem esetleg hogy TPS7A4700-al vegyesen készíteném...) A hozzászólás módosítva: Okt 5, 2016
Tothbela-nak küldöm az aktuális állapotot.
Amint látszik beterveztem egy jókora trimmerpotit a kimeneti feszültség finomhangolásához. Elég otromba, de inkább lehessen beépíteni mint nem mert késöbb meg fogom bánni. A lehetöség viszont továbbra is fenn áll hogy smd elemet tegyek helyette, a padjait ezért választottam szögletesre... ![]() A munkaáram referencia diódát is nagyobbra cseréltem, mivel ez a méret a leginkább hozzáférhetö. Továbba 2 alkatrészt még 1206-osra terhelhetöségi és praktikus okok miatt. A hozzászólás módosítva: Okt 7, 2016
Még valaki? Nemsokára adom le a rendelést...!!
Érdekes, de marha kevés az infó. Inkább próbálkozásnak néz ki mint komoly audio eszköznek...
Vállalkozó kedvűeknek jó lehet, akik ráérnek mókolni, illetve tanulni.
Van most egy kicsi 3 utas aktív hangdobozos elgondolásom, amihez ez pont jó lenne (csak előbb kéne sok-sok szabadidő).
Nem lelombozásnak szánom, de egy rendes rendszerhez nem feltétlenül kell DSP. Egy javítandó rendszeren meg nem igazán segít. Cimborám örömmel mutatta új DSP-jét (nem épít, vásárol). Többe volt, mint az én teljes rendszerem. A szoba akusztikájához szépen hozzáhangolta magát, érezhető is volt a különbség. Viszont néhány hét múlva annyira megszokta az új hangképet a füle, hogy már nem érez különbséget a mostani, és a korábbi hangkép között. Persze ha bypass-olja a DSP-t, hallható a különbség, de elmúlt a varázs.
Tudom, hogy nem kell, nem utólagos javítgatáshoz szánom. Hangváltó feladatot szánnék neki, illetve kiemelni a mélyet. Kisméretű zárt dobozba tennék alacsony rezonancia frekvenciájú, nagy terhelhetőségű hangszórót. Ennek a 12 dB/oktávos esését kellene kompenzálni akár jelentős hatásfok romlás árán is (szobába ez nem szempont).
Hogyan oldanátok meg / hogyan szokták megoldani az aktív hangsugárzóhoz a jelátvitelt digitálisan?
Digitálisan optikai, vagy koax S/PDIF jelet szokás vezetni. Amúgy egyszerűbb és olcsóbb is lenne megfelelő átvitelű hangszórót használni.
A hozzászólás módosítva: Okt 13, 2016
Ez így igaz lehet, de vannak olyan (pl. nyitott dipól) rendszerek (mint az enyém pl.: Linkwitz LXmini), melyket egyszerüen nem, vagy csak nagy ráfordítás (tervezésbéli, anyagi, hatásfokbéli) révén lehetne passzív módon meghajtani. Hosszú távon se nem olcsóbb, se nem jobb a passzív megoldás, de még csak a korrábban általános müveleti erösítö "temetö" sem.
A teremakusztika az egy más kérdés, egy alapjaiban jól megépített hangfal részben el tudja fedni a lehallgató helység akusztikus anomáliáit, szóval szobát csak csínnyán EQ-zni...
Ha ki akarod próbálni és van egy elfogadható hangkártyád, ajánlom pl. az EqApo ingyenes Windows plugint Bővebben: Link. Bármit meg tudsz csinálni vele!! Ha kell segítség szólj!
A hozzászólás módosítva: Okt 13, 2016
Ezt már ajánlottad, próbálgattam. Csak PC mentesíteni akarom a rendszert.
Buvarruha: Az addig oké, hogy S/PDIF, most is az megy a DAC-ig. De ha az aktív hangsugárzóban lesz mondjuk a DAC is, akkor hogyan oldják fel a bal/jobb csatorna problémáját?
Ja, elképzelhetö...
![]() Alternatívák lehetnek a miniDSP xx, esetleg Hypex DLCP. Túl nagy kínálat még nincs belölük. Sajnos könnyü elszaladni az árral... A hozzászólás módosítva: Okt 13, 2016
A miniDSP-ben nincs meg az a kihívás, ami megvan a freeDSP-ben.
![]() A DLCP meg drága.
Értem. Nekem opatemetős szubom volt, de én analógos gyerek vagyok.
Régen én is csináltam ilyen és ehhez hasonló dolgokat.
Müködik persze, mélynek el is megy. De egy teljes 3/4 utas hangváltó azért elég bonyolult tud lenni, és ráadásul nem is igen lehet univerzálisra csinálni. A digitális technikának ebben hallatlan elönye van, és mára már szerintem minöségben is legalább olyan jó mint az analóg, söt... A hozzászólás módosítva: Okt 14, 2016
Sziasztok!
Ismerős valakinek az alábbi képen látható probléma? Hát nem jövök rá, hogy az adatlap a hibás-e és ha igen, akkor az Rf értékében vagy a képletben... A hozzászólás módosítva: Okt 24, 2016
A sqrt(2) ~= 1,4142135623730950488016887242097, de csak 1.41 van kiírva belőle...
Haha.
Szóval az a hiba hogy a kép alján lévő képletet adta meg az adatlap. Viszont behelyettesítve a 2vrms sehogy nem jön ki csak ha az Rf-et csökkentem. Viszont a 4.5Vrms pedig kiszámolható. Miért a kérdés. A hozzászólás módosítva: Okt 24, 2016
A bel oldalon: R3 = R4 = 360, R5 = R6 = 360. A obb oldalon a R3 = R4 = 560, R5 = R6 = 270.
Azaz a bal oldalon a differenciál erősítő erősítése -1 (360 / 360), a jobb oldalié 0,48214285714285714285714285714286 (270/560) Szóval a jobb oldali képletből a végén levő "x 2" törlendő |
Bejelentkezés
Hirdetés |



























