Fórum témák

» Több friss téma
Fórum » RIAA korrektor
 
Témaindító: Ghost Rider, idő: Aug 25, 2006
Témakörök:
Lapozás: OK   55 / 149
(#) scooby_ válasza Pioneer hozzászólására (») Jún 29, 2010 /
 
Szia!
Az egyik 510Ohmos ellenállást levitted a testre,aminek nem ott a helye. Néztem nagyokat mikor 18,3V megjelent a kimeneten és nem is ment sehová a trimmer állításával sem.
(#) Pioneer válasza scooby_ hozzászólására (») Jún 29, 2010 /
 
Basszus! Valóban azt elrontottam. Köszönöm, hogy szóltál.
(#) scooby_ válasza Pioneer hozzászólására (») Jún 29, 2010 /
 
Nagyon szívesen! Nem volt nagy probléma,összeforrasztottam a kettőt és betettem a helyére egyel arrébb.
(#) lpcollector hozzászólása Júl 7, 2010 /
 
Mostanra készültem csak el az eredeti Hiraga RIAA átdobozolásával. Külön dobozba került a táprész és külön maga a korrektor. Mivel nem csöves a táp, így kisebb dobozokba is belefértem mint Moszkvai kolléga

Néhány képet mellékelek, a többi itt megtekinthető...
(#) CHZ válasza lpcollector hozzászólására (») Júl 8, 2010 /
 
Szép lett , illeszkedik a végfokodhoz !
Hangban is történt változás ?
Az MC maradt a régi ?
(#) lpcollector válasza CHZ hozzászólására (») Júl 8, 2010 /
 
Köszönöm az elismerést! Sajnos a feliratozásban sem tudok Hozzád felmőni, így maradt csupaszon.
Hangban nem jelentős a változás. A trafók eddig is külön dobozban voltak, csak jóval messzebb kellett elhelyeznem őket. A kimenő DC viszont stabilabb lett ezzel a megoldással és jobban is kezelhető így az erősítő. Sajnos ha nagyobb mértékben "kilógatom" a csöveket a dobozból sikerül fognom valamilyen (vélhetően osztrák) komolyzenei adót is
Az MC maradt egyenlőre, be akartam végre érni a tettekkel a vágyaimat. Korábban csak egy kis sarkot kaptam a nappaliban (állítólag a zeneszoba már így is teljesen az enyém), de látnád most... Nincs olyan polc amin valamilyen alkatrész, cső vagy szétbontott trafó ne volna...
(#) bored hozzászólása Júl 11, 2010 /
 
Sziasztok!

Egyik kollégám most jutott egy régi Tesla lemezjátszóhoz, de a Marantz erősítőjén nincs hozzá bemenet, ezért kölcsönadtam neki a régen épített HFM korrektoromat. Annyit beszéltünk a témáról, hogy én is előszedtem a lemezjátszómat, de ugye a korrektor már nincs itthon. Összedobtam hát egy új HFM-et. Egyelőre mérésre előkészítve, még nincs lemosva a forrasztási oldal. Kicsit félek a trafó elhelyezésétől, de az előzőnél sem volt baj a közelséggel, igaz az nem egy panelen volt a korrektorral.
(#) bored válasza bored hozzászólására (») Júl 11, 2010 /
 
A rossz hír, hogy szkópon nézve van 5-6mV 50Hz a kimeneten, rövidrezárt bemenetnél. A jó, hogy akkor is ott van, ha kihúzom a hálózatból. Biztos az össze-vissza tekergő drótok az asztalon...
Egyébként egyforma lett a két oldal, 14-15V kimenőig kihajtva egy tized volt van köztük alul és felül, 1kHz-en ugyanolyanok. A szinusz szép, a négyszögek pocsékok mindenhol. Na majd meghallgatva kiderül milyen is lett, de már csak holnap.
(#) Moszkvai válasza lpcollector hozzászólására (») Júl 11, 2010 /
 
Húúú!... Ez szép lett ám! Kimenő kondi neked mekkora értékű? Azok az ELKO-k a tápba vannak?
(#) lpcollector válasza Moszkvai hozzászólására (») Júl 12, 2010 /
 
Köszönöm! Már régóta készültem rá, de a Te remek dobozolásod adta meg az utolsó lökést...
Azok az elkók (220µF/450V Rubicon) és alatta az olajpapapír kondi (2,2 µF/500V Remix) a 400V-os rész tápszűrésére szolgálnak.
A kicsatoló kondi 1µF/400V MKP. Akad fémezett papír v. olajpapír is, azzal még megpróbálom...
(#) magery hozzászólása Júl 25, 2010 /
 
Sziasztok!

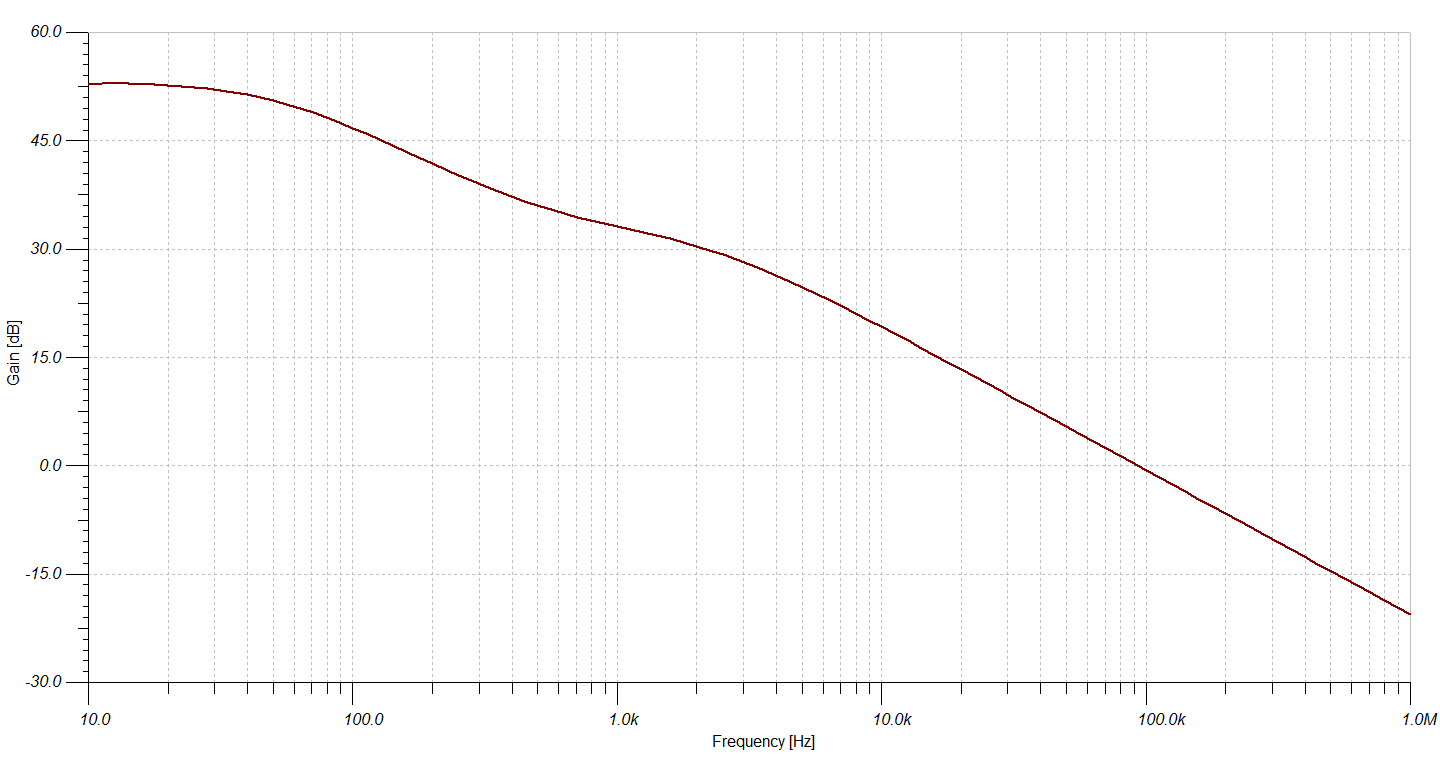
A H&T 3. számában találtam e remek kapcsolást ami HT RIAA korrektor névre hallgat. A kapcsolás alapján terveztem hozzá egy nyákot ami már 95%-ban be is van ültetve. Ha kész lesz akkor teszek fel átviteli görbét is.
(#) Moszkvai válasza magery hozzászólására (») Júl 25, 2010 /
 
Szép lesz! Gratula! Várjuk a fejleményeket!
(#) scooby_ válasza Moszkvai hozzászólására (») Júl 26, 2010 /
 
Hűű! Ez nagyon szép lesz! Majd hangmintát is kérhetünk?
(#) scooby_ válasza magery hozzászólására (») Júl 26, 2010 /
 
Egy görbét tudok mutatni,mindez csak szimuláció.

görbe.png
    
(#) Moszkvai válasza scooby_ hozzászólására (») Júl 26, 2010 /
 
Gondolom nem nekem írtad?
(#) scooby_ válasza Moszkvai hozzászólására (») Júl 26, 2010 /
 
Nem éppen! Ez magery-nek szólt.
(#) kettler hozzászólása Aug 28, 2010 /
 
Küldtem képeket, a bekötése pedig a bemenetről egyből Riaa korrektorba megy innét a bemenet választóba és az előérősítőbe. +- 12v Táp kel neki és nem tudok rájönni miért gerjed. Ha csak rádugok egy szimpla kábelt már a kivezérlés jelző műszerek kiakadnak!
Segítsetek valami ötlettel.
Előre is köszönöm.
(#) CHZ válasza kettler hozzászólására (») Aug 28, 2010 /
 
Honnan kapja a +/- 12 V feszültséget ?
Csinálhatnál egy vázlatot a bekötéséről , hogy látható legyen földelés kialakítása is . Testpontok kivitelezései is okozhatnak problémát , ha a fém háza össze van kötve a nyák GND-vel közvetlenül . Próbáld kivenni és vezetékkekel kivülröl csatlakoztatni . Lemezjátszó vázát össze kell kötni az erősítő dobozával , ez nem azonos a jelvezeték GND pontjával .
(#) kettler hozzászólása Aug 28, 2010 /
 
Küldtem képet kicsit kesze kusza előre is bocsi!

Riaa.LAY
    
(#) CIROKL válasza kettler hozzászólására (») Aug 28, 2010 /
 
Az LM és a RIAA között duplán van a GND az egyiket szüntesd meg .
(#) kettler hozzászólása Aug 28, 2010 /
 
A tápegység teljesen külön álló táp a végfoktól 230Ac +-12v Dc
(#) kettler hozzászólása Aug 28, 2010 /
 
Hogyhogy duplán van nem tudom melyikre gondolsz ?
(#) CIROKL válasza kettler hozzászólására (») Aug 28, 2010 /
 
Az rendben is van de a két elő fok a RIAA meg az LM es az egy tápról megy nem ? És ott ha jól látom a jelvezeték GND.je is megy meg a táp GND -is ami ugye ugyan az a potenciál csak duplázva ,ezáltal földhurok van .
(#) kettler válasza CIROKL hozzászólására (») Aug 28, 2010 /
 
A RIAA meg az LM egy tápról megy a GND amit rajzoltam az a Pufferkondik GND je a végfok stabil tápjárol megy!
(#) CIROKL válasza kettler hozzászólására (») Aug 28, 2010 /
 
Akkor sem jó ! Duplán van a GND
(#) kettler válasza CIROKL hozzászólására (») Aug 28, 2010 /
 
Ok leforrasztottam de így sem jó brummos ha kivezérlem!
(#) DuMatyi válasza kettler hozzászólására (») Aug 28, 2010 /
 
Akkor itt már csak valami olyan hiba lehet, ami olyan egyszerű, hogy eddig nem figyeltünk fel rá. Szűrt és stabil tápról járatod? Árnyékolt fémdobozban van, betartod az egypont földelés szabályait, hogy ne lehessen földhurok? Ajánlott szakirodalom: Ataljev-Bolotnyikov: Hi-Fi kapcsolások amatőröknek. Bp.: Müszaki kvk. Nekem egész véletlenül megvan.
(#) scooby_ válasza kettler hozzászólására (») Aug 29, 2010 /
 
Jól látom hogy a Védőföldelés is rajta van a testen? A testet nem szokás védőföldelésre kötni. A lemezjátszódnak van egy különálló vezetéke a végén egy villás csatlakozóval? Azt a dobozra kell rákötni. Az földeli a lemezjátszó dobozát. Ilyen fordult már elő velem is.
(#) elektrorudi válasza scooby_ hozzászólására (») Aug 29, 2010 /
 
Nem biztos, hogy a RIAA-val van a baj.
Pont ezen a héten futottam bele ebbe a problémába:
Kipróbáltam régi lemezjátszókat:
- Pioneer PL200
- Tesla nc440
- Tesla nzc420
- Hitachi HT-324
Erősítő: Technics SA180.
Ezek közül csak a PL200 nem volt brummos, az összes többi nagyon-nagyon. Megpróbáltam minden lehetséges variációt:
- hangszedőket cserélgettem (keresztbe)
- a földelő vezetéket kötöttem minden hova (már amelyiknél volt ilyen... PL200 és HT-324).
- szétszedtem a lemezjátszókat, megnézve, hogy hogyan van összekötve a hangkar vezeték az árnyékolt kivezetéssel.
De semmi... Nem sikerült a problémát megoldani.
Egyelőre ihletet gyűjtök a további kísérletekhez.
(#) CHZ válasza kettler hozzászólására (») Aug 29, 2010 /
 
Megopróbálhatod így átkötni .

GND.JPG
    
Következő: »»   55 / 149
Bejelentkezés

Belépés

Hirdetés
XDT.hu
Az oldalon sütiket használunk a helyes működéshez. Bővebb információt az adatvédelmi szabályzatban olvashatsz. Megértettem