Fórum témák
» Több friss téma |
Fórum » Házi feladat elmélet - tételek
Mi a teljesítményt úgy tanultuk, hogy P=U*I. Akkor ebből hogy derül ki az R2 és R4 teljesítmény? Bocsi, ha értetlenkedek, de ezt még nem vettük.
Akkor ha U, R és I-ből kettő megvan, akkor a harmadik is. Utána P=U*I.
Sziasztok. Lenne valakinek valami doksi féle a Laplace transzformációhoz? Legjobb olyan lenne ami nem csak elmélet, tételek, hanem a tételek gyakorlati alkalmazása feladatokon. (Amolyan tutoriál szerűség)
Nagyon hálás lennék, ha valaki tudna adni. Előre is köszönöm.
Ha beírod a gogliba, lesz találat több is. Ezek közül az első:
Bővebben: Link Igaz, kell hozzá némi matematikai ismeret.
Két feladatban szeretném a segítségeteket kérni, tudom hogy hosszú a megoldásuk, de nagyon nagy segítség lenne.
Előre is köszönöm! Kondenzátor áramának időbeli változása http://s24.postimg.org/papwxlf8l/IMG_20130607_124920.jpg Ellenállás áramának időbeli változása http://s24.postimg.org/bibi1yoh1/IMG_20130607_125023.jpg Tranziens és stacionárius felírásával.
Segítséget kérnék egy villamosságtan feladatban.
Adott a hsz-hez mellékelt kapcsolás. Mindkét ellenállás 10 ohm. U(t) = 50(gyök2)sin(omega)t V C = 10 uF omega = 10^4 rad/s. A feladat a meddő teljesítmény meghatározása. Elvileg van hozzá képletem, de abban a fent megadott adatokból semmilyen összefüggést nem lehet kiszámítani. A képlet: P = S*cos fi1 Qk = P*(tg fi1 - tg fi2) C = Qk / omega*U^2 Ez a gondom. A megadott feladatban nincs megadva egyik "fi" sem, sem pedig az U. Ráadásul a Qk szerintem nem a meddő teljesítmény jele, hanem a már kompenzált teljesítményé...
Meg van adva a feszültség (50V csúcs, szinuszosan változó), a frekvencia és minden, ami szükséges. Ezekből ki lehet számítani a fázisszöget, egyebeket.
Hiába van megadva szerinted minden, ami kell, szerintem nincs. Láthatod az általam ismert képleteket, azokkal nem tudok mit kezdeni. Ha te esetleg tudsz más képletet, akkor talán oszd meg velünk, és ne csak azt írd le, hogy megoldható, hanem azt is, hogy hogyan...
A hozzászólás módosítva: Jún 9, 2013
Ohm és Kirchoff törvényeket érdemes átnézni.
Köszönöm. Legközelebb, ha nem akarsz valakinek segíteni, akkor inkább ne írj semmit. Bb.
Sziasztok!
Aki irányitástechnikában jó vagy tud olyat aki érti azt kérem jelezze ne tartsa magában! Csatolva küldtem a feladatokat amiben elakadtam!
Úgy tűnt, nem azt várod, hogy valaki megcsinálja helyetted a feladatot.
Aki megteszi, nem sokat segít Rajtad.
Egy soros R, párhuzamos RC-t váltakozó feszültségre kapcsolsz. Adott az impedancia, a frekvencia, a feszültség.
Ne csak a száraz képleteket lásd magad előtt.
Azt is elárulhatnád például, hogy melyik része nem megy? Miket értesz a feladatból és miket nem? Miket tanultatok hozzá és miket nem? Például a fázisszög simán meghatározható az ábrából, a kapcsolási elrendezésből kiolvasva. Nem kell hozzá se képlet, se számolás. Ha az eredő impedancia megvan, onnantól lehet és érdemes behelyettesíteni a szükséges képletekbe.
Az ellenállások K ohmba vannak, megadva mekkora áram folyik a különböző hurkokban?
Bővebben: Link A hozzászólás módosítva: Jún 10, 2013
Idézet: „Az ellenállások K Ωba vannak, megadva mekkora áram folyik a különböző hurkokban?” Ez ugye most egy találós kérdés volt, ugye? Mert ha nem akkor számold ki ![]() Én a szuperpozíció tételét használnám: 1.) Kikapcsolom az egyik ideális feszültség generátort és rövidzárral helyettesítem, majd így meghatározom hogy mekkora áram folyik a kérdéses helyen. 2.) Ugyanezt megcsinálom a másik generátorral is. 3.) Ezután a kettőt előjel helyesen összeadom. Másként is lehet persze, például összevonhatod a két feszültség generátort a Thévenin -> Norton helyettesítéssel. Akkor utána már csak egy generátorod lesz... De akár a hurokáramok módszerével egyben is megoldhatod... Szép kerek számok vannak a feladatban, látszik hogy nem gonosz az elektró tanárod és így a válasz is eléggé egyszerű A hozzászólás módosítva: Jún 10, 2013
Még egy jótanács. Mindíg alap mértékegységekben számolj, (V: A? ohm, sec, Hz, stb) ha szükséges, a mennyiségeket a szám normál alakjában írd. (pl. 5* 10 6 Hz = 5 MHz)
Kevesebb problémád lesz.
A feladat írója:
Idézet: „Szia! Én írtam a gitár hangszedő tekercselésről a Kezdő kérdések topicba. Írtad a képletet, de sehogy sem tudom kiszámolni. Tudnál ebben segíteni? A huzal átmérője, ami jelenleg van itthon, 0,05mm2, és az ellenállásnak kb 8 Ωnak kellene lennie. Arra lennék kíváncsi, hogy kb hány menetszámnak kellene lennie. A pickup magja 55*5*12mm. Előre köszönöm a segítséget és ne haragudj a tudatlanságom miatt!” Amit én számoltam: Idézet: „Ne aggódj emiatt. R= ρ*l/A R=8Ω ρ=1,75*10-8Ωm l=? A=0,05mm2 8Ω= 1,75*10-8Ωm*l/0,00000005m2 l=22,857m A mag kerülete= 2*(55+5mm) 22857mm/120mm Ha helyesek a számításaim, akkor 190, 476 menetet kell felvigyél.” Akinek van kedve kicsit utána számolna?
Szia! A számítás jó lehet, de lenne néhány észrevételem;
A szövegben ellenmondásos: átmérője...0,05mm2 Átmérő vagy felület? A legnagyobb gond, hogy a pickup-ok nem kb. 200 menet hanem inkább 20000 menettel készülnek, az impedanciájuk nem néhány ohm, hanem kiló-ohmos nagyságrendű.
Sziasztok!
Én írtam jani1987 feladatát. Igazából nem is pickup az, amire nekem szükségem van, hanem egy pickup formájú driver, ami majd rezegtetni fogja a húrt az adott frekvencián. Ez az a kapcsolás, amit majd elkészítek és a hangszóró helyére kell bekötni a "pickup"-ot, ezért is kellene a 8 Ohm. Vastagabb huzalból fogom készíteni mindenképp, mert ez a menetszám rengeteg. Olvastam, hogy 0,2 körüli vastagsággal szokták az ilyet készíteni, de azért írtam a 0,05-öst, emrt jelenleg ez van itthon nekem. Nagyon elszúrok valamit, mert ezzel a 0,02-vel nem tudom kiszámolni a menetek számát jani1987 leírása alapján sem...
Szia! A huzalhosszúságot és az ellenállást ezzel össze tudod hozni.
Ha vékony a vezetéked több szállal is tekerhetsz egyszerre. Magasabb frekvencián még előnyösebb is lehet.
Szia! Ha több szálat szeretnék egyszerre, akkor azokat össze kell sodorni vagy elég, ha egymás mellett mennek?
Elégnek elég, csak neked könnyebb tekerni, ha össze vannak sodorva.
Mivel elég vékony drótról van szó, sodorva könnyebben kezelhetőnek vélem.
A sodratkészítés nem bonyolult. A kiszámított hosszúságra ráhagyva 1-2cm-t helyezz el két tüskét, ami lehet csavar, szög, stb. Hajts rájuk az ágak számának megfelelő menetet, majd az egyik végét fúrógépbe fogva enyhén sodord meg. A sodrat végeiről távolítsd el a zománcot, futtasd be ónnal. Ellenállás méréssel meggyőződhetsz arról, valamennyi ág érintkezik-e.
Sziasztok!
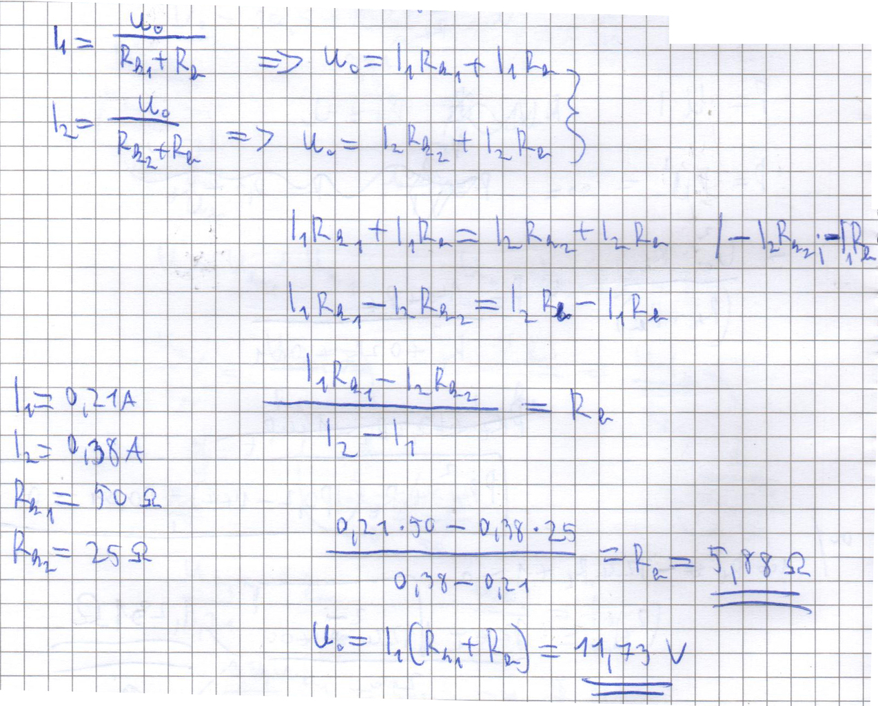
Van egy alap feladat(csatolva), amit meg is oldottam, de a javítókulcs szerint nem jó. Ott az üresjárati fesz 21,1V, a belső ellenállás 50,6 ohm. Elég idegesítő, hogy egy ilyen alap feladatot sem tudok megcsinálni, valaki tudna segíteni, mit rontottam el? Bocsánat a csúnya kézírásért ![]() Előre is köszönöm! |
Bejelentkezés
Hirdetés |







Elég idegesítő, hogy egy ilyen alap feladatot sem tudok megcsinálni, valaki tudna segíteni, mit rontottam el?
Bocsánat a csúnya kézírásért 

