Fórum témák
» Több friss téma |
Fórum » Kapcsolóüzemű (PWM) végfok építése
Sziasztok!
Lorylaci grat, jó lett a cikk! Építettem már több fetes végfokot, és a következő egy 2x500 watt körüli lenne. Viszont, mivel régóta foglalkoztatnak a PWM végfokok, gondoltam (nem kell 1200W toroidot cipelnem ) miért ne lehetne egy kapcsolóüzemű... ? Szóval hagytam a feteket a fenébe, ileltve nem teljesen Mert ugye ide is kell... A hangfalaim 8 ohmosak mind, és a teljesítményben határ a csillagos ég De 500 watt az olyan minimum közeli érték. Ebben kérném a segítségeteket, hogy hogyan álljak neki, vagy magamfajta falusi ember, inkább maradjon a TDA-nál Üdv, előre is köszönöm!
A cikkben lévő kapcsolással, 250V-os fetekkel (mint IRFB4229) 8 Ohmba az 500W nagyon határon van.
Ilyen nagy teljesítményre ilyen nagy impedancián teljes híd ajánlott. Amennyiben megépítesz kettőt a cikkben lévő kapcsolásból (250W @ 4 ohmra tervezve) és hidalod, megvan a kívánt eredeményed. FDP2532 az nagyon tuti fet egy ilyenhez (LOMEX), és mondjuk 2x60V táppal. Teljes hidas végfokon Cimopata dolgozik.
Értem.
Szóval elkészítek kettő ilyen véget, amit a spint layoutos fájlban letöltöttem. Tulajdonképpen az a végfok. Ebből kell kettő, illetve 4 Ezenkívül kell még egy táp, ami 2x60 voltot ad neki. Ez is kapcs üzeműEzenkívül mire lesz még szükségem? Természetesen a dobozon és a csatlakozókon, meg ilyesmiken kívül kívül...
hmmmm akkor írom úgy hogy egy ilyen (könnyű) végfok ami 1000 meg 10.000W legalábbis lapjára írva annak mennyi lehet a gyártása?
Persze nekem az nem kéne csak 2db 1200-as végfokom (30Kg) helyett nekem is tetszene 2 ilyen könnyűcske ![]() mivel nem vagyok egy műszerész így nekem nem sokat mond ez hogy PWM vagy kapcsoló üzemű végfok
Ha elolvasod a cikket, akkor sok minden kiderül. Hsonló képen, mint a kapcsoló üzemű táp, magas frekvencián dolgozik, így minimalizálható a veszteség tulajdonképen ennyi. Javítsatok ki, ha tévedek. De, ha a 30 kilós végfokodba építesz kapcsoló üzemű tápot, már azzal is sokat könnyítesz a súlyán, mivel a trafó a "nehéz"
Nem vagyok nyelvész, pláne bölcsész, de még is rosszul esne ha Irmának szólítanának Laci helyett, amikor triviális, hogy én nem lehetek egyszerűen Irma. Ezért szerintem tanuljuk meg nevén nevezni a dolgokat
Mellékelem a cikkben lévő kapcsolás alkatrészlistáját, mit holkapnival. Ez djjwill-nek ad becslést ennek a költségeiről. Persze egy gyári cuccnál sokkal szigorúbb tervezési szempontok vannak. A doboz egyébként a legdrágább alkatrész, pláne a CNC megmunkálása. De egy jó kapcsolóüzemű tápnak is vannak költségei. Nekem Cimopata készítette a cikkben lévő képen látható kapcstáp, korábban volt hírdetése, hogy rendelésre csinál kapcstápot.
Javaslatom: Először készíts el egyet, azt tanulmányozd, és majd csak utána szép sorjában a dolgokat.
Amikor azt látod, hogy a műterhelésed merülőforraló, de a hűtőbordán nem érzel tapintható hőt, közel jársz a célhoz.
Jól hangzik, a merülőforraló. Van egy 400 wattos kapcs tápom, de ha úgy van, építek egyet, ha tudok. Egyébként, ha azt a panelt megépítem, és tápot adok neki, elvileg működnie kell? vagy kell még elé/után valami "elektronyíká" ?
úúr isten :O
Na de ez most melyik része az egésznek? Tényleg és ha a végfokoknak kapcsolóüzemű tápja lenne az mekkora befektetés lenne 2db 1200W-os végfoknak? szóval akkor ezek a könnyű kis végfokok sokszor ugyanolyan rendszerűek mint a hagyományos nagy nehéz végfokok csak a tápjuk egy kapcsolóüzemű??? És ha igen akkor gondolom ezek az olcsók és a drágák a digitálisak? Jól tippelem? Azt is hallottam már pár helyen hogy pl. a Digitális végfokoknak sokkal szebb hangja van stb.
Hányszor mondjam el, amiről azt mondják, hogy DIGITÁLIS, annak 99%-ban KÖZE NINCS A DIGITÁLISHOZ.
Az, hogy dárga vagy olcsó sem dönt el semmit. Egy cucc árát pedig nem a villamosságtan, hanem a közgazdaságtan összefüggéseivel lehet leírni. A sz*r is lehet drága A végfok/táp egymástól függetlenül lehet kapcsolóüzemű vagy lineráis. Léteznek B-osztályú végfokok kapcsolóüzemű táppal (pl új Ágoták), de akkor is a B-osztályhoz nagy bordák kellenek, ami még mindig súly. Ami tényleg digitális erősítő, azok pl a PKNC végfokok, ott ugyanis mikrokontroller vezérlésű az egész, az állítja elő a PWM jelet is. (működésük elve megtekinthető oldalukon) Mennyivel kerülne többet a kapcsolóüzemű táp a toroid+puffernél? Anyagköltségre, nagy tételben olcsóbb. Munkaköltséggel sokkal drágább. Automatizálva nagy tételben, kb hasonló. Tervezésben nagyságrendekkel több. Amúgy légy szíves, tanulj már meg rendesen fogalmazni (NEVÉN NEVEZVE A DOLGOKAT), vesszőket használni, és ne három kérdőjelet írni. Ezért a moderátorok is ugranak. Én meg olyanokat hallottam, hogy a szomszéd fia a dalai láma reinkarnációja, és szerinte én előző életemben tankkerék voltam. A vaktesztek szerint nem lehet különbséget tenni hasonlóan jól tervezett B-osztályú, analóg D-osztályú, vagy digitális D-osztályú között, az statisztikailag igazolt.
bocs a rossz megfogalmazásokért
Az árakban meg ugye sokszor csak a kis ráírt márkanév és megduplázhatja az árát és semmiben nem külömbözik egy ismeretlen márkához képest és sokszor még az egész belszerve is ugyan az a kettőnek. Ilyet már láttam is párat. Na a márkára meg annyit hogy igen a felsőbb árkategóriának meg én is a PKNC-ket akartam említeni. De hát ezek már gondolom nagyon komoly teknikályuak belül, és nem egy házilag elkészíthető ![]() még1x bocs nektek és neked az érthetetlen fogalmazásokért
Nyugalom!
Ennyire nem kell komolyan venni a dolgokat. Komolyan na
Nekem lenne még 1 javaslatom, már úgy a D-osztály szinonímájára: Impulzus üzemú, vagy impulzus-modulált.
Sokak nevében köszönöm a cikked, és munkád eredményeinek közzétételét! Amit kérdezni szeretnék; hogy a kerámia kondenzátoroknak milyennek kell lennie (dielektrikum jellemzőiket tekintve van-e kritikus paraméter)? És ha 4ohmos hangfalat szeretnék meghajtani, akkor mekkorára kell méretezni a kimeneti LC szűrőt?
A kapcstápokat gyakran hívják impulzustápoknak, így találó az elnevezés.
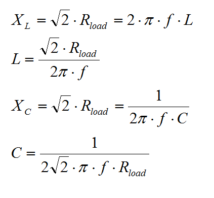
A legtöbb helyen a kerámia kondenzátorok szűrést produkálnak, így olyan típust kell használni, amely nagyfrekvenciákon is hatékony. Sajnos ennél többet nem tudok mondani. Mellékelek egy képet képletekkel butterworth szűrő kiszámításáról, Rload terhelő impedanciára, f küszöbfrekvenciára. Elsősorban privátban várok észrevételeket a cikkel kapcsolatban, hogy mi nem érthető teljesen, min érdemes javítani, vagy átfogalmazni. (cél lenne, hogy középiskolás fizikával bárki tudjon ez alapján egy D-osztályú erősítőt alkotni) Hétfőn szigorlatozom, de utána hamarosan kipróbálom a túláramvédelmemet is, és kiegészítem azzal a cikket. Ekkor szándékozom az észrevételek alapján javítani a cikket.
Hali!
Remélem jó helyen járok... Ha jól halottam a Behringer EP2500 az PWM. Ennek kellene nekem a nyákrajza ha valaki megadná az jó lenne.
Nem jól hallottad, teljesen analóg…
Bővebben: Link
Felejtős bárkinek nagy végfokkal kezdenie az ismerkedést D-osztály terén.
Ahogy mondták elöttem is, a Philipses UcD-t érdemes a leginkább utánépíteni (van neki egy orosz változata a classd.fromru.com-on), ha elég precíz az ember, akkor kb. 99% az esélye egy jó végfok összerakására (még szkóp se kell hozzá feltétlen) Pl. így néz ki egy 2x170W szinuszosra, és kb. 2x220W zeneire képes kommersz, tönkretehetetlen (rövidzár védett, eddig 10x zártam rövidre) UcD (pár furat, csavar, vezeték, ill. a fojtók hijján)
Ez minden osztályra igaz szerintem.
nikolatesla:innen le tudod tölteni a kapcsirajzot,ha nincs meg.Tervezz hozzá nyákot de ez már nem gyerekjáték!2x110VDC igen maradandó akár végleges hatást is tud gyakorolni az emberi szervezetre. Minek teneked ekkora amp?Vegyél inkább az olcsóbb lesz meg talán bajod sem lesz
Próbáltam megtervezni próbáltam nyákról másolni,de nem sikerült.
nem nekem kel egyik barátom kérte volna a rajzott,bár engem is érdekelne...
Meg amúgyis most építettél
Idézet: „Próbáltam megtervezni próbáltam nyákról másolni” Nos, akkor én azt feltételezem,hogy ott volt előtted egy darab és arról akartad másolni?Szerintem hagyd a csudába mert még azt sem tudtad,hogy totál analóg-e vagy PWM.Ebből baj lesz nem?Tényleg kísérletezz inkább kisebb darabokkal aztán majd idővel jöhet a többi.Ezt csak jó tanácsként mondtam semmi sértő szándék nincs bennem.
De ez attól jobb...
A hangja is szebb.
Ne akarjatok digitális végfokot, mert azokat a működési elvből fakadóan nem lehet visszacsatolni ezért nagyságrenddel roszabbak a paramétereik, mint egy jól tervezett analóg PWM végfoknak. Ezenkívül borzalmasan nehéz házilag valódi digitális végfokot készíteni, nem is beszélve, arról, hogy a 6dB-es tápzaj elnyomási tényező miatt rendkívül stabil tápfeszültséget is igényelnek. Az ilyen táp sem piskóta dolog.
A sima analóg PWM sokal jobb minőségű lehet a legjobb full digitális végfoknnál. A tervezése, megépítése sem nagyobb feladat, mint egy AB osztályban üzemelő erősítőnek (csak valamiért félnek tőle még a hazai építgetők). Árban, meg főleg nagyobb teljesítményen bizony olcsóbb egy AB osztályúnál a D osztályú végfok. Jóval nyeszlettebb táppal is beéri ezért a tápegysége is olcsóbb. Nem kell neki nagy hűtőborda. Ezért megint csak olcsóbb, valamint ebből kifolyólag könnyebb beépíteni, mint egy AB osztályút, ezért kisebb dobozzal is beéri. A hatásfok szintén jobb főleg kis teljesítményeken és a súly is kisebb lehet a kisebb hálózati trafó és a hiányzó hűtőbordák miatt. Szerintem egyértelműen érdemes belevágni D osztályú végfok építésébe. Ha valaki nem akar saját maga tervezni, annak is ott van egy csomó konyhakész rajz, mint pl ez a Laci által favorizált egyszerű végfok is. Ja az áramváltó nem lesz jó a rövidzárvédelembe, mert az áram hangfrekvenciás komponense a legnagyobb és pont azt nem viszi át egy ilyen kis porvas tarafó. A sönt mellé dobok egy szavazatot.
Volt előttem. annyira nem ismerem a PWM-et meg ezeket... Akkor ezt napolom.
Szerintetek lehetséges volna az UCD-t hidalással szimpla táposra csinálni az alább felvázolt (átrajzolt), vagy egyéb módon? (végül is ez is majdnem olyan mint egy full hidas tápegység)
Az IR 2110-ek táplálása lemaradt a rajzról, csak az elvi megvalósíthatóság érdekelne.
Tetszik a cikked, bár hiányolok belőle néhány mérési adatot, mondjuk THD, THD+N, IMD a modulációs mélység függvényében.
Ha már differenciálerősítő-félét használsz szinteltolásra, akkor meg lehetne spórolni az IR meghajtó ic-ket, meg azok késleltetését, stb. A szinteltolókat lehetne csinálni az opampokban használt áramtükrös megoldással is, ezek jóval gyorsabbak lennének, a gate-ek felé a nagy áramot meg egyszerű emmitterkövetők biztosíthatnák. Én tennék bele egy gyors opampot az elejére, így nem túl nagy az egész nyílthurkú erősítése, emiatt nem is lehet igazán kis torzítási értékeket elérni. Talán ismered, talán nem, de nézd meg Bruno Putzey cikkét. A mellékletben megtalálod. 5. oldal, 2.3-tól. Igen komoly célt tűztél ki... már ami a középiskolás fizikatudás felhasználását illeti...
Nézd meg az UcD készítőjének honlapját. Természetesen megodlható a szimplatápos UcD, cimopata is ezen dolgozik, de teljes hidas UcD esetén nem elég az egiyk oldalról visszacsatolni!
UcD leírás
Elolvastam a cikket, tényleg hasznos írás, még az alapvető működési elvet sem értettem eddig. Most már nem fogom digitálisnak nevezni
![]() Mindenképpen figyelemmel fogom kísérni ezt a témát, a jövőt ezekben az erősítőkben látom, leginkább a nagy hatásfok miatt, amiből minden más pozitívum is adódik. Sajnos most nincs időm mélyebben elmerülni benne, de már tudom, hogy ilyen erősítőm lesz, "kapcsi" táppal Most így hirtelen csak egyetlen kérdés érdekelne: Mennyire lehetséges a nagyon alacsony frekvenciák átvitele ezzel az erősítővel? (Mert a TDA7293-nak az 5 Hz meg se kottyan). Köszi, zoka
Köszi, akkor ez felejtős.
Sajnos nincs torzításmérőm, de meg fogom oldani:
a kimenetet leosztva visszavezetem a hangkártyámba (96kHz 16bit AD konverter), így ott majd audacityben FFT-zem, és abból tudok becslést adni ezekre. A diszkrét bemeneti komparátor és egyben szinteltoló valóban egy jobb megoldás lehet, de még az elején célom volt, hogy a diszkrét részt minimálisra csökkentsem (ez csupán csak tervezési konvenció, persze vitatható). Propdelay csökkentéssére így is van tervem. Későbbi cél a telejs híd, ahol szimpla táp esetén a szinteltoló rész ki fog esni. Lényegében nekem is középsikolás elektronika tudásom van. Sosem tanultam villanytant, meg satöbbi, a legtöbb tudásomat egy 1971-es szakmunkás műszerész tankönyvből szereztem (valamint az internetről). Ethosz2: amúgy miért nem lehet digitális végfokban visszacsatolni? Én símán el tudom képzelni, hogy az LC utáni kimenet bemegy egy AD konverterbe, amivel szoftveresen korrigál. De amúgy én is analóg D-osztályúra szavazok. Ha valaki elkezd kis végfokkal kísérletezni, mindent méricskélve, elgondolkodva, rendesen tanulmányozva, az gyorsan beltanulhat a D-osztályba. Amikor én kedztem rögtön egy 20W-os sikerül után méretnöveltem 2x-szoroásra, úgy hgoy nem értettem még egyáltalán a dolgokat (visszanézve). Ez a kapcsolás az alaktrészlista alapján kiderül, hogy nagyon olcsó, szval ideális kísérletező alany. Korábban IRS2092-vel kísérleteztem (akkor még bénáztam), és ott csak az IC darbaja volt annyi, mint ennél az összes alkatrész. |
Bejelentkezés
Hirdetés |




) miért ne lehetne egy kapcsolóüzemű... ? Szóval hagytam a feteket a fenébe, ileltve nem teljesen Mert ugye ide is kell...
De 500 watt az olyan minimum közeli érték. Ebben kérném a segítségeteket, hogy hogyan álljak neki, vagy magamfajta falusi ember, inkább maradjon a TDA-nál









