Fórum témák
» Több friss téma |
Fórum » Házi feladat elmélet - tételek
Szia!
A második sor nevezőjében lévő kifejezésből: (a-b) * ((a-b) / ((a+b))) hogy jött ki ez a harmadik sorban?: (a+b)
Azok a szörnyű zárojelek! Hát nem kimardt egy...
((a+b)*(a-b) + (a+b)^2)) / (a-b) * ((a+b)*(a-b) / ((a+b)*(a+b))) = ((a+b)*(a-b) + (a+b)^2)) / (a-b) * ((a-b) / ((a+b))) = ((a+b)*(a-b) + (a+b)^2)) / (a+b) = ((a+b)*(a-b) + (a+b)*(a+b)) / (a+b) = ((a-b) + (a+b)) = 2*a LISP => Lots Of Incompatible Stupid Parentheses
Az oké, a bal oldalról, a számlálónál lemaradt.
Én viszont a nevezőt írtam, a második sorból hogy következik a harmadik? Kiemeltem a két részt. ((a+b)*(a-b) + (a+b)^2)) / (a-b) * ((a+b)*(a-b) / ((a+b)*(a+b))) = ((a+b)*(a-b) + (a+b)^2)) / (a-b) * ((a-b) / ((a+b))) = ((a+b)*(a-b) + (a+b)^2)) / (a+b) = ((a+b)*(a-b) + (a+b)*(a+b)) / (a+b) = ((a-b) + (a+b)) = 2*a Az (a-b)*(a-b)/(a+b) -ből hogy lett (a+b) ? A hozzászólás módosítva: Nov 14, 2015
Idézet: „Az (a-b)*(a-b)/(a+b) -ből hogy lett (a+b)” Az 1/(a-b)*(a-b)/(a+b) -ből így lett 1/(a+b) (1/ (a-b)) * ((a-b) / (a+b)) = ((a-b)/(a-b)) / (a+b) = 1 / (a+b) A hozzászólás módosítva: Nov 14, 2015
OK, benéztem. Én még oda is zárójelet képzeltem, ahol nincs. Most vettem észre, hogy nem a komplett jobb oldali rész a nevező, hanem csak az (a+b)
Sziasztok!
Lenne egy pár kérdésem amit ki kellene dolgozni ,de mivel én nem annyira értek hozzá ez sok ideig tartana valaki aki szakértő lenne szíves kidolgozni nekem? Előre is köszönöm! Mellékeltem word fájlban a kérdéseket...
Ez most vicc? Ha nem értesz hozzá és tudni akarod miről van szó, kezdj neki a kidolgozásnak, azzal rengeteget lehet tanulni. Egyébként a piros betűvel írt részek az érdekesek vagy az egész?
A téma célja, úgy gondolom, egy-két kezdőrúgás adása annak aki elakadt, nem fél éves tananyag kidolgozása...
Sziasztok!
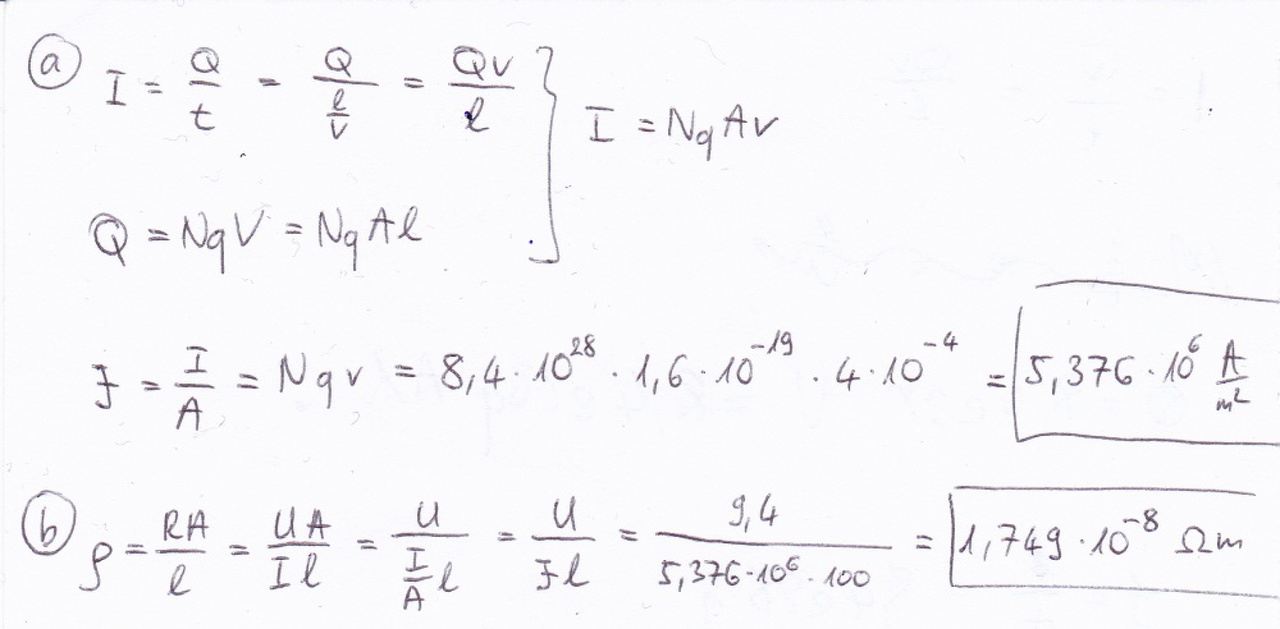
Szeretnék segítséget kérni tőletek ezen feladat levezetésében. A megoldást megadták de a levezetésre nem sikerült rájönnöm
I - áram
Q - töltés t - idő v - töltéshordozók sebessége l - hossz A - keresztmetszet N - szabad töltéshordozoók száma köbméterenként q - elemi töltés J - áramsűrűség ró - fajlagos ellenállás R - ellenállás U - feszültség
Úh köszi szépen. Életet mentettél
Nincs mit. Egy betűt kihagytam: nagy V-vel a térfogatot jelöltem.
Ezt a házit egy 10-es egészségügyi iskolába járó tanulónak adták fel és én is csak lestem rajta
Sziasztok, fizika kérdésem lenne. A feladat:
Sík jégen 3m/s sebességgel ellökött korong 4s múlva áll meg. Mekkora a csúszási súrlódási együttható? Köszönöm.
v = a * t és m * a = mu * m * g azaz a = mu * g. Ebből a = 3/4, és mu = a / g = 3 / (g * 4)
Üdv. A mellékelt képen a házi feladat, csak ennyi adat van. Szerintem ez kevés, adott magasságban lehet stabil pályán nagyobb tömeg kisebb sebességgel, vagy fordítva, mindkét (ill. végtelen számú) esetben a centripetális erő egyenló lehet a tömegvonzással.
Jól gondolom, vagy valamit nem tudok. Köszönöm.
F = G * m * M / (r * r) ahol G: gravitációs együttható 6.674 * 10^-11 N · (m/kg)^2, m: az Apollo 11 tömege, r a keringési surara.
r = Dhold / 2 + 100 km. A körpályán tartó erő: F = m * v^2 / r ahol v az apolló 11 (érintőleges) sebessége. Szóval: G * M * m / (r * r) = m * v^2 / r ---- * r G * M * m / r = m * v^2 ---- / m G * M / r = v^2 --- Ebből v kiszámítható. Egy kör megtétele alatt az Apollo 11 L = (Dhold + 200) * Pi utat tesz meg, a keringési idő T = L / v már meg is van a keringési idő...
A km -> m átváltást kihagytam...
L = (Dhold + 200 km) * Pi => 3600 * 10^3 * Pi A hozzászólás módosítva: Feb 14, 2016
Köszönöm immár sokadik segítségedet.
Nem igazán értem, a képlet levezetés rendben, de ugyanazon a keringési pályán marad a könnyebb de gyorsabb, illetve nehezebb, de lassabb Apolló. A centripetális erő (m*v^2/r) más sebességekhez tartozó más megfelelő tömegekkel is azonos lesz. Szerintem kevés az adat, vagy még én nem értem.
Sziasztok! Olyan kérdést kaptam hogy: Mi indokolja az áramforrások vegyes kapcsolását? A neten sok mindent nem találtam ezért most egy kicsit kétségbe estem. (fél oldalt kéne írnom róla)
Sorosan: egynek kevés a feszültsége vagy kettős tápegységre van szükség. Párhuzamos: egy nem tud elég áramot szolgáltatni.
Üdvözletem!
Olyan kérdésem lenne, hogy valakinek vannak-e kidolgozott szóbeli elektronika érettségi tételei, és hogy el tudná esetleg küldeni valamilyen formában? Előre is köszönöm!
Párhuzamosan: biztonságnövelő. Pl. alapvetően egy is elbírja a rendszert, de meghibásodás esetén mindenféle kimaradás nélkül átveszi a szerepet a maradék kettő, három stb. Most jutott eszembe, pedig minden nap ilyenek között mozgok.
Helló! Sokkal jobban jársz, ha magadnak dolgozod ki a tételeket. Biztos, hogy meg kellett kapnod a tétellistát, ami alapján te magad is ki tudod őket dolgozni a tankönyv, órai jegyzet, internet segítségével. Jobb, ha a saját szókincseddel, te magad írod le őket, sokkal több minden fog megmaradni a vizsga napjára a tanult anyagból.
Mi ezekből tanultunk Bővebben: Link
Üdv mindenki!
Mit jelent egy elektronikai számolós feladat megoldóképletében ez a jelzés: (R1 || R2)? Először replusz-ra tippeltem, de annak X a jele elvileg. Ötletem sincs, rákeresni se tudok a speciális karakterek miatt. Próbáltam különböző matek, elektronika, fizika kulcsszavakkal de semmit nem találtam ami hasonlít erre. Előre is köszi a segítséget.
Szia! Ezzel a jelöléssel találkoztam már, párhuzamos kapcsolást jelentett.
Köszi. Mindjárt megkérem az ismerősöm, hogy küldje el a feladatot, most már kíváncsi vagyok hogyan szerepel benne. Én azt hittem, valami képlet része.
Párhuzamos kapcsolást jelent egyértelműen. Mondhatod replusz -nak is, bár azt az × jellel jelölik. (nem X, ha egymás mellé írod a két szimbólumot nagy X, kis x, és a × látszik a különbség, az utóbbit AltGr - Ú billentyű kombinációval állítod elő)
|
Bejelentkezés
Hirdetés |








