Fórum témák
» Több friss téma |
No nem kötekedésnek, de szerintem a keresztmadzagokat meglehetett volna spórolni. Bár tulajdonképp, közöm hozzá?
Ez a deszkamodell próba hűtőbordája, ezen semmi sem olyan mint ami a végleges erősítőben lesz - szóval kéretik így kezelni a dolgokat
![]() TJ.
Egymással derékszöget bezáró keresztezések mit számítanak?
Mint korábban írtam ez egy deszkamodell - ezt majd szétbontom, és épìtek egy végleges elrendezésű erősítőt
![]() (A trifiláris fojtó saját kivezetései szándékosan 35-40cm hosszúak, hogy elérjenek a megfelelő poziciókba.) TJ.
Első mérés a működő Trip-FET trifilar unity coupled SE amplifier prototype modellről.
Fotó: 20kHz/5v/div (megkérem a HE szagértő csapattagokat, hogy deszkamodell vezetékezésének a mikéntjéről tovább ne értekezenek )TJ
Akkor átfogalmazom, mert valószínűleg félreérthető volt:
Egymással derékszöget bezáró keresztezések nem számítanak. Szerintem.
Az egy nap alatti "bűvészkedéssel" a következő műszaki paramétereket sikerült elérni a Trip-FET trifilar unity coupled SE deszkamodellnek nevezett drótkupacával:
- THD/1kHz/1W/15R: 0,03% - Frekvenciamenet 1W/15R: 10Hz - 400kHz -3dB - Teljesítmény frekvenciamenet: 6,5W/8R 15Hz - 300kHz -3dB - THD/1kHz/6,5W/8R: 0,25% - Munkaponti áram: 0,7A/15R vagy 1A/8R terhelésnél Fotó melléklet: 100Hz négyszögjel 5v/div TJ. A hozzászólás módosítva: Jan 10, 2026
A következő gondolatom támadt a driver fokozattal kapcsolatban:
A trifiláris fojtó meghajtási pontjai nagyjából szimmetrikusak lettek, de a driver drain és source köre továbbra sem az, mert a TO-3 tok/drain a testelt hűtőborda felé kapacítást mutat - nem is keveset (korábbi összehasonlító mérésről fotók mellékelve). Ezért a frissen berakott Siliconix VMP-1 V-MOSPOWER FET drivert alumina/ceramic szigetelő alátéttel láttam el. A mérések a driver csere és a kisebb parazita kapacitás hatására javuló paramétereket mutattak ![]() - THD/1kHz/1W/15R: 0,02% - THD/1kHz/3W/15R: 0,08% - THD/1kHz/6W/8R: 0,16% TJ.
Újabb deszkamodell mérésekről teszek fel fotókat, miután a TO-3 tokozású VMP1 driver drain köri parazita kapacítását megszüntettem a testelt hűtőborda felé
![]() Az első fotó a hagyományosnak mondható 20kHz-es négyszögjelet mutatja 5v/div állásban. A második fotó szerintem egyedülálló a High End single ended erősítők világában, ez 100kHz-es négyszögjellel készült - 1usec/2v/div állásban. ![]() (Aki műszaki beállítottságú, mérésekkel is foglalkozó érdeklődő, ez számukra régóta várt elemzésre ad lehetőséget.) TJ.
A trifilar unity coupled SE kimenet előtt van az Altec 15095 line transformer mint feszültségerősítő fokozat.
Ennek a line trafónak egy Natonal Semiconductor LH0033CJ buffer lesz a bemeneti meghajtója, a 10 kHz-es négyszögméréséről teszek fel fotót (input 0,2v/div, output 2v/div) TJ.
Elérkezett a napja a Trip-FET trifilar unity coupled SE összeszerelt deszkamodelljének (Altec 15095 transformator + Trip-FET output) az első bemérésének.
![]() A trifiláris fojtó egy, a kimenetnek használt tekercse 1kHz-en 8v eff. feszültséget adott le a 15 ohmos terhelésre, a négyszögjelek àtviteléről a fotók mellékelve ( 100Hz/1kHz/10kHz/10v/div. ). TJ.
Az erősítőben megvalósított " ideal MOSFET " ötletéről írnék néhány fontos információt.
- a Trip-FET elnevezés valójában 3 párhuzamosan működő MOSFET - et jelent - ebben a két laterális MOSFET anti parallel SE (APSE) kapcsolásban van - a driver V-MOSPOWER FET vezérli a két laterális MOSFET -et - mivel ez a Trip-FET az unity coupled elve szerint az L1/L3 tekercsek között van, rajta működés közben feszültség esik - ez a vezérlési "ablak" a Q1 DS és a Q2/Q3 GS feszültsége (kb. 7-8v) - a prototípusban használt aktív eszközök esetén ez az " ablak " A és B pontok között van, és ez csökkenti a hasznos kivezérlési tartományt. Oszcilloszkóp fotó mellékelve a felső "A" és az alsó "B" ponton látható jelalakról. TJ.
Nem akarod inkább TripleFET-nek nevezni? Trip-et elektronikában például arra használják, amikor a biztosíték kiolvad vagy más túláram védelem megszólal, nem túl szerencsés névválasztás.
Mielőtt véglegesnek elneveztem volna ezt a 3 párhuzamosan kötőtt MOSFET elgondolásomat - én is végigböngésztem az internetet
![]() Nagyon sok, egymástól különböző kapcsolási megoldásokra használják a triple FET elnevezést, ezért azt névválasztást elvetettem. Lerövidítve viszont egyedinek tűnik az elnevezése, és talán nem tévesztik össze a más témájú kapcsolásokkal. TJ.
Elérkezett az idő, hogy a Trip-FET unity coupled SE amplifier első működő deszkamodelljének a teljes kapcsolási rajzát feltegyem :smile53:
Ebbe a trifilar verzióba beleintegráltam a már korábban használt " Münchhausen drive " megoldásomat, amely teljesen kitörli a D1 diódán jelentkező nemkívánatos jeleket. https://www.hobbielektronika.hu/forum/v-fet-es-sit-erosito-kapcsolasok?pg=8 A jelenlegi kapcsolásban azt a két darab 8K2 ellenállást ezért a lehető legkisebb eltérésre kell kiválogatni, mert akkor a D1 diódán nem mérhető értékelhető zavarjel. Ezzel a feszültségerősítést végző Altec 15095 Line transformer " virtual ground " üzeme bíztosìtva van, azzal együtt, hogy a Q1 V-MOSPOWER FET előfeszültségét is átvezeti. TJ.
Ja...a legfontosabb adatot elmullasztottam beírni, a trifiláris deszkamodell verziójának a bemérését:
A THD+N 1kHz/0,5W/15R terhelésnél 0,005% ![]() TJ.
A Fejhallgató erősítő topikban válaszolok.
TJ. V-Fet beszerzésSziasztok!Az lenne a kérdésem, hogy tudtok-e ajánlani olyan eladót, aki megbízható, és nem hamisítvány V-Fet-ket árul? Nyilván nem lesz olcsó, erre számítok, de a lényeg, hogy eredetiek legyenek.
Ezen a betett linken 2SJ50/2SK135 laterális MOSFET-ek vannak fenn eladáson - azok nem V-FET -ek.
TJ.
Érthető a keveredés, mert a topikban többféle FET is szerepel, és a címben ott van a V-FET megjelölés, ezért a képeken látott eszközök sokaknál automatikusan V-FET-re asszociálnak. Ettől függetlenül Tunerman válasza teljesen korrekt: a 2SK135 / 2SJ50 páros laterális MOSFET, nem V-FET (SIT). Ezek az eszközök hangkarakterben és bizonyos viselkedési jellemzőkben valóban közelebb állhatnak a V-FET-ekhez, mint a hagyományos power MOSFET-ek, ezért gyakran megjelennek olyan topológiákban, amelyek V-FET-filozófiára épülnek vagy ahhoz hasonló működést céloznak. Ugyanakkor fontos látni, hogy felépítésükben és működési elvükben alapvetően más technológiát képviselnek: a laterális MOSFET MOS-kapus, enhancement módú eszköz, míg a V-FET egy PN-átmenetes kapus, depléciós jellegű félvezető, amely sokkal közelebb áll a triódás karakterisztikához.
Éppen ezért Tunerman sem azért használja ezeket az eszközöket ilyen topológiákban, mert V-FET-helyettesítőnek tekintené őket, hanem azért, mert jól viselik az alacsony globális visszacsatolást, nem igényelnek agresszív stabilizációt vagy kompenzációt, és alkalmasak olyan, V-FET-gondolkodású topológiák kipróbálására, ahol a működés és a hangzás finom részletei kerülnek előtérbe. Emellett ezek az eszközök elérhetők, stabilak és hosszú távon kiszámíthatóan viselkednek, ami kísérletezésnél és fejlesztésnél nem elhanyagolható szempont. A hasonlóság tehát nem az eszközök azonosságában, hanem abban áll, hogy topológiai értelemben jól együttműködnek egy V-FET-szemléletű erősítőben, miközben technológiailag továbbra is külön kategóriát képviselnek.
Kicsit keveredik a Vfet, a SIT, de még a lateráris mosfet dolog. Az, hogy egzotikusnak tűnő félvezetőkkel riogatjuk a népet, az feltételezi, hogy tudjuk miről van szó.
A "V" fet és a SIT között ha megmutatod a különbséget, annak örülni fogok. Bízom benne, hogy ez nem okoz gondot. A hozzászólás módosítva: Feb 9, 2026
Nem gondolom, hogy itt riogatásról lenne szó, inkább arról, hogy érdemes pontosan elválasztani a fogalmakat, mert valóban könnyen összecsúsznak. A V-FET és a SIT esetében a keveredés ráadásul történelmileg is benne van a szakirodalomban. A „V-FET” elnevezést a Sony használta marketing- és típuskategória-megjelölésként az általuk gyártott Static Induction Transistorokra, míg a SIT maga a technológiai megnevezés. Működési elvben és félvezető-fizikában nincs érdemi különbség a kettő között: mindkettő PN-átmenetes kapuval rendelkező, depléciós jellegű, vertikális csatornás eszköz, triódához hasonló karakterisztikával. A különbség elsősorban terminológiai és gyártói megnevezés, nem technológiai.
A laterális MOSFET-ek ettől egyértelműen elkülönülnek, ezért is volt fontos ezt pontosítani. Az, hogy bizonyos topológiákban együtt kerülnek említésre, nem azt jelenti, hogy azonos eszközök lennének, hanem azt, hogy viselkedésük és hangkarakterük bizonyos szempontból kompatibilis lehet egy V-FET-szemléletű erősítőben. Ettől még a felépítésük, működési módjuk és fizikai alapjuk teljesen más, és ezt szerintem eddig is világosan igyekeztünk elválasztani.
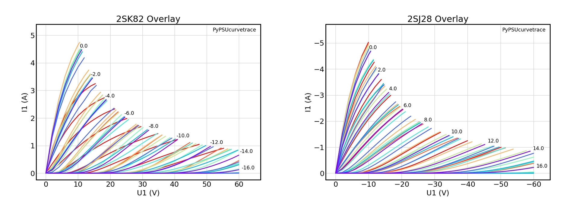
Nincs semmilyen keveredés a laterális MOSFET (Hitachi 2SJ50/2SK135) és a V-FET (Sony 2SJ28/2SK82) között, mivel két teljesen különböző FET-ről beszélhetünk:
1. A laterális MOSFET "enhancement mode" (növekményes módú), normál esetben nem vezet, és a source-hoz képest a gate kivezetésre (N chanel) pozitív írányú nyitófeszültség szükséges 2. A V-FET "depletion mode" (kiürítéses módú), normál esetben vezet(!), és a source- hoz képest a gate kivezetésre (N chanel) negatív ìrányú lezárófeszültség szükséges. TJ.
Nézegettem régebben karakterisztikákat, szerintem egy triódáéhoz nem ezek állnak közelebb hanem inkább egy jfet-é, és ezt általában meg is hallani a jfet bemenetű végfokokon.
Egyébként itt egy 2SK82-vel szerelt kvázi komplementer végű végfok rajza.
Szépen gyülekeznek az alakotó elemek a Trip-FET quadrifil unity coupled SE erősítőhőz.
![]() A 0,9mm-es ezüstözött tekercselő rézhuzalt sikerült kétféle színben beszerezni, így mindenképpen láthatóvá válik a quadrifil tekercselés elképesztő színkavalkádja ![]() A CACC100 amorphous C magból kettő is bekerül a csévetestbe, remélhetőleg a mélyhangok értékelik ezt a nem kicsi magkeresztmetszetet. Már csak tekercselés van hátra, remélem kitesz magáért a mester... TJ.
Amit írsz, abban technológiai értelemben van igazság, de a megfogalmazás így félreérthető. A SIT (Static Induction Transistor) és a JFET valójában nagyon közeli rokon eszközök: mindkettő statikus indukciós elven működő, depléciós, Vgs vezérelt félvezető, és az áram–feszültség kapcsolatuk első közelítésben az Id ≈ (Vgs − Vp)² törvényt követi. Ebben az értelemben a SIT természetesen közelebb áll a JFET-hez, mint bármilyen vákuumcsőhöz, és ezt én sem vitatom.
A „triódához hasonló” megfogalmazás azonban nem technológiai azonosságot jelent, hanem kimeneti karakterisztika- és viselkedésbeli hasonlóságot. Ha egymás mellé tesszük a SIT és egy hagyományos trióda anódkarakterisztikáit, akkor jól látható a nem párhuzamos görbefutás, a munkapont környezetében változó belső ellenállás és az a jelleg, amely torzítási spektrumban és dinamikai viselkedésben is közelebb áll a triódához, mint egy klasszikus MOSFET-hez vagy BJT-hez. Erre a hasonlóságra vonatkozik a „triódás” párhuzam, nem arra, hogy a SIT vákuumcső lenne. A JFET bemeneti fokozatok „hallható” karakterét ehhez közvetlenül hozzákapcsolni viszont szerintem nem szerencsés. A bemeneti JFET-ek millivoltos tartományban, erős visszacsatolásban dolgoznak, torzításuk jellemzően a zajszint alatt marad, így a végfok karakterét döntően nem ez, hanem a kimeneti fokozat határozza meg. A JFET–SIT rokonság tehát félvezető-fizikai tény, míg a triódához való hasonlóság működés- és karakterisztika-szintű analógia – a kettőt érdemes külön kezelni. Ha érdekel, a cikkemben pontosan ezt a különbségtételt járom körül részletesen, konkrét karakterisztikák összehasonlításával, mert ez a téma nagyon könnyen félrecsúszik fogalmilag.
Nem, engem ez a legkevésbé sem érdekel. Nekem egy erősítőnek egyetlen paramétere a lényeges, és az a hangja.
Idézet: Ugye, ez is egy óriási tévedés, ha ez így lenne, akkor a tranzisztoros erősítőnek tranzisztoros hangja lenne, a fetesnek fetes hangja, a csövesnek meg csöves hangja. A valóságban meg ez teljesen máshogy van... „így a végfok karakterét döntően nem ez, hanem a kimeneti fokozat határozza meg.” ![]() Hallgass meg pl. egy EAR859-et, ha benne van egy karton dobozban és nem látszik, komoly összeget is feltennél rá, hogy az egy félvezetős erősítő. Aztán mondhatnám a tranyós Sansui-mat is példának, arra meg azt mondanád ha nem látnád, hogy életedben nem hallottál még ilyen finom, tiszta, torzítatlan csövest. Rengeteg végfokot építettem az elmúlt kb. 35 évben, ez az első (és az utolsó) amiben jfet-es a bemeneti fokozat, és ez az első aminek olyan hangja van amit mindig is kerestem, és a félvezetős és a csöves jelleg erényeit ötvözi a hátrányaik nélkül. Biztosan nem a tripla darlington kimeneti fokozat miatt szól így, mert az megtalálható még kismillió másik kapcsolásban is, amik meg nem így szólnak. Na hirtelen csak ennyit arról, hogy mit határoz (vagy nem) meg egy kimeneti fokozat.
Mivel én az elvi dolgokhoz nem értek, csak a hangzástapasztalataimra támaszkodhatok. Nekem érthető a dolog, mármint az egyfajta hangzásrokonság. Gondoltam, hogy nem egészen csöves hangzásra lehet számítani, mivel két hasonló cső esetén sem azonos, amit érzékelni lehet.
Nagyon várom, hogy megtapasztalhassam az eredményét egy ilyen erősítőnek. Ja és részemről köszi a cikkedet! Igen hiánypótló volt. |
Bejelentkezés
Hirdetés |




































