Fórum témák
» Több friss téma |
Fórum » Kapcsolóüzemű tápegység
Témaindító: Rendszer, idő: Feb 18, 2006
Témakörök:
Legalább az alapvető azonosításokat megcsináltad?
Melyik a GND? Hány párhuzamos láb van? Van bármilyen segédfesz kimenet (elvileg lenni kéne)? Kb úgy működhet, mint az ATX, PS_ON lábat GND -re kell kötni. Nem akarlak befolyásolni, ezért TE mérj először... A hozzászólás módosítva: Feb 28, 2026
Párhuzamos lábak vannak.
1-11-21 2-12-22 9-19-29 10-20-30 4-5 lábon mértem 5V-t GND nem tudtam mérésekkel nem tudtam meg állapítani. Gondolom jóbban szét kellene szedni nyákról vissza rajzolni.
Igen a szétszedés lenne a legbiztosabb mód.
Az AI írta, hogy a GND elvileg kontaktban van a fém burkolattal. 1. Mérd meg ehhez képest a pineket. De én a képből azt szűröm le, hogy jobb oldalt a tekercsnél a három kondenzátorból a középsőnek, aminek a negatív lába nagyon közel van a panel széléhez, ha ügyes vagy egy mérőcsúccsal még meg is érintheted... 2. Ehhez képest mérd végig a pineket, és magát a burkolatot is. Ha megvannak a hozzájuk tartozó lábak, ez jobbik esetben vagy GND lesz, vagy ha a táp ad ki negatív feszültséget is, akár lehet a negatív feszültség kimenet is. Ha ezen kondenzátor negatív lába azonos a fém burkolattal 99%, hogy megvan a valós GND, lévén, hogy negatív feszültséget nem szoktak burkolatra kapcsolni. 3. Mérd ki, hogy a 4 és 5 láb párhuzamosan csatlakozik e még más pinekhez is. Feltételezés, hogy ebből az egyik a segédtáp +5V, a másik a GND. Ha a GND közösítve van, megvan a terhelés GND is. 4. Ha megvan a terhelés GND, erre csatlakozva 1k ellenállással (biztos ami biztos), végigtesztelném azokat a pineket, amikre nem jött ki semmilyen párhuzamos kötés, feltételezve azt, hogy az indítóláb egymagában van. Ha megtalálod vele a PS_ON lábat, a ventilátornak el kell indulnia. Az AI a 4-es lábat jelöli meg PS_ON bemenetnek, de mivel ez nálad a mérésed alapján vagy +5V, vagy GND, nem kell biztosra venni. Az ellenállás azért kell, hogy ne csinálj zárlatot. De az is elképzelhető, hogy a PS_ON magas szintjét találtad meg, és valóban a 4-5 pin egyikét kell GND -re kötni. Ha végképp nem történik semmi, végigmehetsz az ellenállással minden olyan pinen, ami nem GND. Ha így sem kapcsol be, lehet, hogy ellenállás nélkül kell próbálkozni, de ezt már CSAK AKKOR tedd meg, ha szétszeded, és látszik a fólia, és nagyjából be lehet azonosítani a kivezetéseket, nem pedig CSAK találgatunk. Másik verzió, hogy keresel egy olyan embert, aki foglalkozik ilyen készülékekkel, és biztosan tud mondani neked. HelyettesítésHali!A képen átható alkatrész, egy 230/6V os kap.üz. tápegységben van. A második bekapcsolásnál teljes dróttá vált. Mivel lehet ezt helyettesíteni? Egy vérnyomás mérőt szettem volna vele működtetni, aminek az áramfelvétele 600mA. Ez a tápe. 3A. A hozzászólás módosítva: Márc 5, 2026
Még kép.
Szia! Keress egy 650V, 4A-es MOSFET-et. Bővebben: Link
Lessz még ott hibás alkatrész.
Q2, Q3, esetleg zéner dióda. De a válasz bármilyen 4-6 A FET és legalább 650V vagy feletti. Üdv. M. A hozzászólás módosítva: Márc 5, 2026
Valóban. Q2, Q3 is rót. Mitől adódhatott ez?
Ellenőrizd le a dugaszban a polaritást! Egyes gyártók hajlamosak trükközni (tükrözni?).
A szekunder oldalon gondolod?
Azt már alapból meg kellett fordítanom. A közepe kell nekem negatív, a külseje pzitív. De köszönöm! A hozzászólás módosítva: Márc 5, 2026
YouTube csatorna indítása - ötletek, tanácsokNemrég említettem, hogy szeretnék egy YouTube csatornát indítani kifejezetten a kapcsolóüzemű tápegységek vizsgálatára és tervezésére fókuszálva.Viszont első körben szeretnélek titeket megkérdezni, hogy milyen nehézségekbe, vagy problémákba szoktatok ütközni a kapcsolóüzemű tápegység tervezésekor? Illetve, milyen elvárásaitok lennének egy ilyen csatornával szemben? Mikre lennétek kiváncsiak? Én valahogy úgy gondoltam a dolgot, hogy egy-egy topológiát (pl Buck konverter) kielemeznénk, hogyan működik pl. CCM és DCM üzemmódban (egyáltalán mi az a CCM és DCM). Itt felmerül az a kérdésem, hogy a matek részére mennyire lennétek kíváncsiak? Érdekel, hogy melyik képlet miből származik? Sajnos elég sok a matek itt. Vagy a matekot hanyagolva inkább csak az eredményt nézzük meg? Bemutatásra kerülne a feszültségmódú és árammódú vezérlés, de hangsúly inkább az árammódú vezérlésen lenne, itt a slope kompenzáció is bemutatásra kerülne. Megmutatnám azt is, hogyan kell kiszámolni az RMS és átlag áramokat. (ezek nélkülönözhetetlenek a transzformátor, tekercs és kondenzátor méretezéséhez, kiválasztásához) Egy topológia kielemzése után egy konkrét áramkör méretezést mutatnék be, majd utána áramkör tervezést, építést, mérést. Igen sajnos így elég sok videó lesz, egy-egy topológiából, de nem szeretném, csak felületesen, egy-egy témát érintve bemutatni a dolgokat.
Ja majd elfelejtettem a legfontosabbat!
A tápegységek stabilizálását (kompenzálását) is kiveséznénk, hogyan kell beállítani a keresztezési frekvenciát, fázistartalékot stb. Ezek rendkívül fontos dolgok.
Készíttess egy tervet valamelyik LLM-mel. Kérdezgesd egy kicsit, mert ötletadónak jó szokott lenni, aztán a rendszerezésben és adagolásban is tud segíteni. Javítgatni könnyebb. A döntéseket persze nem tőlük kell várni.
Azt is át kell gondolni, hogy kinek szánod a tartalmat.
Én körül-belül annyit értek a kapcsi tápokhoz, mint a harang öntéshez. Ez miatt olyan tartalmat néznék a tápokról, ahol megtudhatom azt, hogy egy MOSFET-et miként és miért kell korrekten úgy be és kikapcsolni, ahogyan kell. Tehát, a mély alapoktól kellene kezdenem. Azért, mert nem értek hozzá és kell a háttér infó is. De érdekes módon, van olyan tevékenység a kapcsitápok és a harangöntésen kívül, amihez nagyjából értek. Csak annyira, hogy ebből meg is élek. Őszintén szólva, erről a témáról aztán nem néznék tartalmat sehol, mert heti 50 órában csinálom, és sok lenne még a szabad időmben is erről ábrándozni. Inkább örülök, ha a szabad időmben inkább kapcsitápot javítok, vagy harangot öntök.
A kapcsolóüzemű tápoknak a lelke az energiatároló elem. Induktív, vagy kapacitív.
Ezek egyszerű méretezése, olyan ökölszabály szerűen hasznos lehet. Valamint a transzformátoroknak ezeken a frekvenciákon történő viselkedése, vaskeresztmetszet, telítés, flyback, forward üzemmód, stb. Tekercselési módok, fajták. És nem utolsó sorban magának a kapcsoló elemnek a lényeges paraméterei. Nem tudom mennyire akarod hizlalni, de érdekes lehet a több kimenetű tápokban lényeges alkatrész, a kiegyenlítő toroid tekercsek szerepe, amik már a transzformálás után a kimeneteket induktívan csatolják. Ezek méretezése, kialakítása.
Először mindenképpen az izolálatlan tápokat szeretném bemutatni, elsősorban a Buck-átalakítót.
A transzformátor méretezés egy külön történet. Sajnos a neten rengeteg "ökölszabály" fut, ami ugyan ad egyfajta egyszerüséget, de az vagy túltervezéshez (ami többlet méret és költség), vagy alultervezettséghez vezet. Itt megemlíteném, hogy nagyon sokan a kapcsolóüzemű tápok trafóit hasonló formulákkal méretezik mint a hálózati trafóét, csak a 4,44 tényező helyet 4-et használnak. Ami csak bizonyos feltételek között állja meg meg a helyét, ezért én pl egyáltalán nem javaslom. De ugyan ide sorolnám az üzemi Bmax meghatározását is ferrit magoknál. Ezért ökölszabályok helyett pontos formulákat és összefüggéseket szeretnék bemutatni. A hozzászólás módosítva: Márc 18, 2026
A kapcsolóüzemű tápegységekhez ( sem ) értek túlzottan.
- Kinek készül? Kezdőnek, haladónak, mindkettőnek? Ha mindkettőnek, akkor egy alapozó rész és precíz. Illetve a precíz egyszerűsítve is. - Mindenképpen képletek! Kiegészítő honlap, ahol lehet számolni. ( Oprendszer független. ) Idézet: „Sajnos elég sok a matek itt. Vagy a matekot hanyagolva inkább csak az eredményt nézzük meg?” Én több mint 40 évet voltam tervező, inverterek, kapcsitápok, stb. Nem emlékszem, hogy a négy alapműveleten kívűl mást is kellett használnom. Ja, a négyzetgyökvonás az ötödik. Miért kell ehhez a You Tube? Itt miért nem jó? A hozzászólás módosítva: Márc 18, 2026
Nézz meg egy sereg ilyen youtube csatornát - van rengeted. És figyeld meg a kameravezetést, müsor dramaturgiát ( forgatokönyvet) stb. Sajnos sok ilyen csatornán csapnivalo a kameravezetés. Ha profibb akarsz lenni, akkor probáld ki az OBS video studiot ( ingyenes ) ahol több kamerával, forrással dolgozhatsz ( pl elöre felvett videoszegmensekkel stb akár egy profi studioban.
Ott tudsz képet szerkeszteni söt a müsorodat elöre el tudod késziteni fél automatikus modusba, ahol élöben csak azt kell elmondanod ami is láthato a képen. Ha már minden megy akkor még egy külsö néhány gombos programozhato kapcsolopult is jol tud jönni amivel gombnyomásra vältani tudsz a képek között.
40 évvel ezelőtt a kimeneti kondenzátor RMS áramát hogyan számoltad ki?
![]() Ha már megvannak a formulák, akkor természetesen az alap műveleteken túl nincs szükség matekra. Én is egy excelbe készítem el a formuláim alapján a számításokat. De aki szeretné megérteni, hogy mi van az képletek mögött, sajnos oda kell a matek.
Köszönöm szépen a tanácsokat!
Én úgy gondoltam, hogy a fejem kb 0,1%-ban fog látszani egy beköszönés erejéig, utána egy Wacom-al szépen felrajzolom és elmagyarázom amit szeretnék. Mondhatjuk hogy közel 100%-ban képernyő felvétel lesz.
Hát úgy, hogy pl: egy Buck konverterben a kimeneten van egy fojtó, aztán egy kondi, vele párhuzamosan a terhelés. A fojtó áramából kivonjuk a terhelés áramát és máris megkapjuk a kondi áramát. Ez nem csak 40 évvel ezelőtt volt így, hanem ma is.
Igen de a folytó árama időfüggvény, amit integrálni kell ha RMS-t számolsz, csak erre akartam célozni. És tök más az RMS CCM és DCM üzemben.
A hozzászólás módosítva: Márc 18, 2026
Valóban. De ugye vannak mindenféle szorzók, ha valaki nem tud integrálni, akkor meghatározhatja az effektív, közép, csúcsértéket, stb. A HE egy amatőr színvonalú oldal. Azzal, hogy lát egy kezdő néhány képletet, az biztos nagyon jó, de inkább azt kellene elmagyarázni, hogy azok miből jönnek ki.
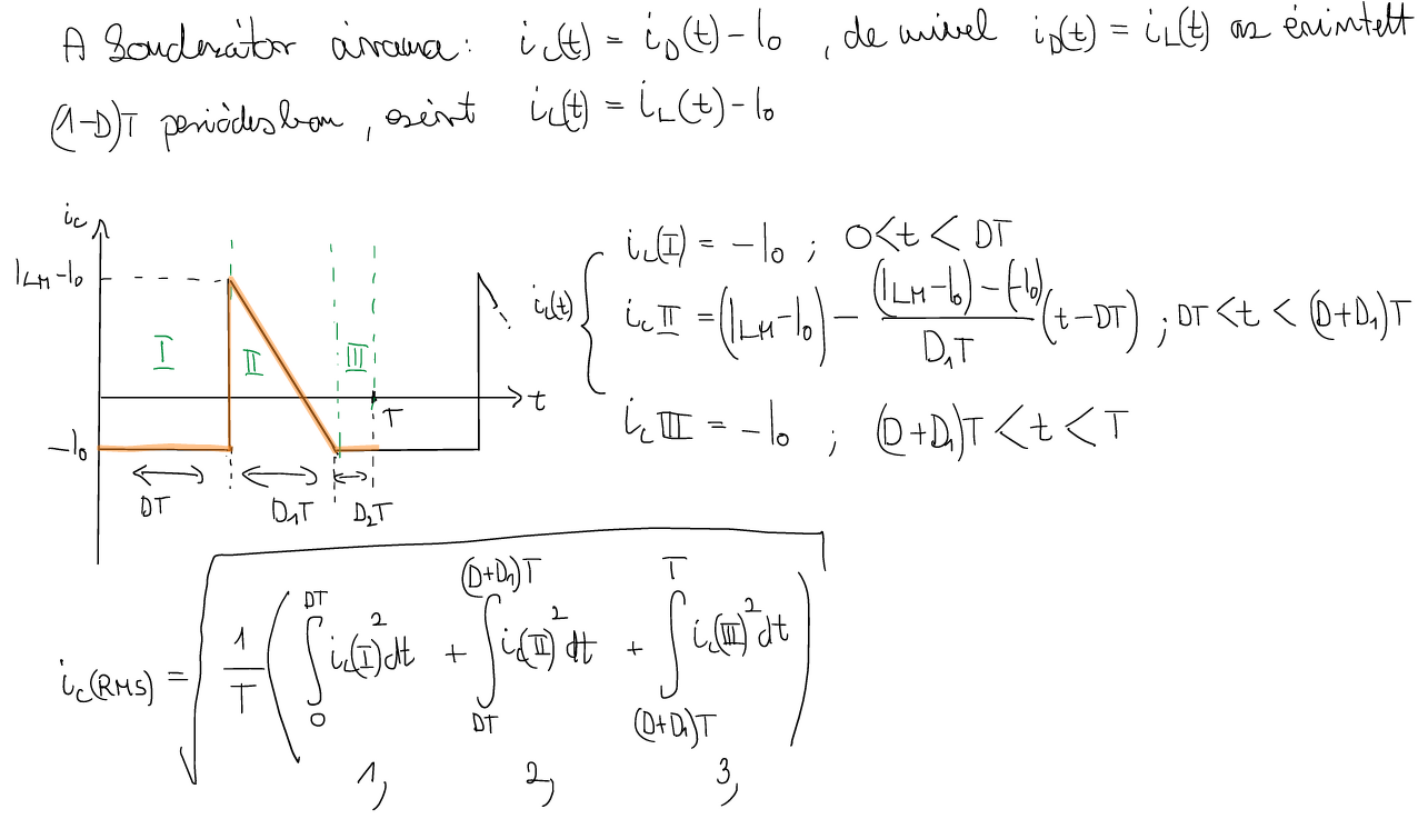
Egyébként a fojtót, nem ly-nal írják. Idézet: „Azzal, hogy lát egy kezdő néhány képletet, az biztos nagyon jó, de inkább azt kellene elmagyarázni, hogy azok miből jönnek ki.” Ez lenne a cél! A legtöbb csatornánál ez hiányzik, viszont azt sem akarom, hogy matek feladat legyen az egész.Nem tudom milyen szorzókra gondolsz, de pl. nálam a boost konverter kimeneti kondenzátorának RMS árama DCM üzemmódban így néz ki. Idézet: „Egyébként a fojtót, nem ly-nal írják.” Tényleg! Köszi! Lehet inkább YT helyett a nyelvtannal fogok foglalkozni. ![]()
Amúgy tökéletesen igazad van, ez ugyan boost konverter, de itt is ugyan ez a szitu.
Ebből lesz az előző hozzászólásban szereplő végeredmény.
Ezért írok én általában nyomtatott betűkkel.
|
Bejelentkezés
Hirdetés |


















